Go to main content

Distribution and abundance of Norwegian spring-spawning herring during the spawning season in 2026

Author(s): Are Salthaug and Erling Kåre Stenevik (IMR)
Cruise leader(s): Are Salthaug and Erling Kåre Stenevik (IMR)

Summary

During the period 12-25th of February 2026 the spawning grounds of Norwegian spring-spawning herring from Møre (62º13 ˊ N) to Tromsøflaket (71 º33 ˊ N) were covered acoustically by the commercial fishing vessels MS Eros and MS Kings Bay . The estimated biomass was about 33 % lower, and the estimated total number was about 24 % lower this year compared to last year’s survey. The uncertainty of the estimates in 2024 was a bit lower than last year. The surveyed population was dominated by the 2016 and 2021 year class. Most of the spawning stock was found west of Lofoten and Vesterålen this year, which is in line with the observations the most recent years on this survey. The proportion of the spawning stock classified as ripe or maturing was lower than normal in 2026 which indicates later spawning. The estimates of abundance by age group from the survey in 2026 are recommended to be used in this year’s ICES stock assessment of Norwegian spring-spawning herring.

1 - Introduction

Acoustic trawl surveys on Norwegian spring-spawning herring (NSSH) during the spawning season has been carried out since 1988, with some breaks (in 1992-1993, 1997, 2001-2004 and 2009-2014). In 2015, the survey time series was initiated again partly based on the feedback from fishermen and fishermen’s organizations that Institute of Marine Research (IMR) should conduct more surveys on this commercially important stock. From 2015, the NSSH spawning survey has been carried out using hired commercial fishing vessels. In the ICES benchmark assessment of NSS herring in 2016 (ICES 2016) it was decided to use the data from this survey time series as input to the stock assessment, together with the international ecosystem survey in the Norwegian Sea in May and catch data. Thus, the results from the NSSH spawning survey have significant influence on the ICES catch advice on NSSH.

The main objective of the NSSH spawning survey 2026 was to estimate the abundance by age group (both mean and sampling uncertainty), for use in the ICES WGWIDE stock assessment. Moreover, other biological information about the spawning stock of NSS herring is estimated: spatial distribution of biomass and acoustic densities, total biomass and stock numbers with sampling uncertainty, spatial patterns in maturity and variations in temperature.

2 - Material and methods

2.1 - Survey design

During the period 12-25th of February 2026 (same period as in 2017-2025) the continental shelf along the Norwegian coast from Møre (62º13ˊN) to Tromsøflaket (71º33ˊN) were covered by the commercial fishing vessels MS Eros and MS Vendla. The survey was planned based on information from the previous spawning cruises and the distribution of the herring fishery during the autumn 2025 up to the survey start February 12th 2026 (Figure 1). The Norwegian fishery in the winter season 2025/2026 took place in and around the wintering area in the Kvænangen and Alta fjord areas. Prior to the survey in the first half of February 2026 the fishery indicated that the herring were entering the spawning grounds from the wintering areas north of Tromsø, and no herring catches had been taken south of Røst (67º30ˊN, 12ºE) or in oceanic areas in the Norwegian Sea west of Røst when the survey started. A northerly distribution of the spawning stock like in the most recent years was therefore expected. The survey coverage was therefore planned to take account of a large flux of herring entering the survey area from the north. The survey design followed a standard stratified design (Jolly and Hampton 1990), where the survey area was stratified before the survey start according to the assumed density structures of herring during the spawning migration (based on previous surveys and fisheries). All strata were covered with a zigzag design (Strindberg and Buckland 2004) since this is the most efficient use of survey effort (Harbitz 2019). The transect design function in Stox 4.2.0 were used to generate the transects, and this function generates survey tracks with uniform coverage of strata and a random starting position in the start of each stratum. Each straight line in the zigzag track within a stratum was considered as a transect and a primary sampling unit (Simmonds and MacLennan 2005). Transit tracks between strata, i.e. from the end of the zigzag in one stratum to the start of the zigzag in the next stratum, were not used as primary sampling units. Based on the a priori assumed distribution of the spawning stock, the degree of coverage (distance of acoustic transects divided by the square root of the stratum area, see Aglen 1989) was planned to be low south of 67°N and high north of this.

2.2 - Data sampling

The acoustic data was collected in CW (continuous wave) mode with 18, 38, 70, 120, 200 and 333 kHz Simrad EK80 echo sounders installed on a drop keel. Most of the time the vessel speed was 10 knots, and the sampling rate 1 Hz and pulse duration 1.024 ms.

The software LSSS version 3.1.0 was used for post-processing (Korneliussen et al. 2016). Echogram scrutinization was carried out by the cruise leader and the chief instrument officer, and based on the acoustic backscatter signal and trawl samples the backscatter was categorized into one of the following categories: “herring”, “other”, ”capelin” or “air bubbles” (upper 20 meters from the transducer near field). The remaining NASC with a threshold of -70dB in a layer or school box regarded to contain herring was in most cases categorized as herring (however a bit stronger threshold of around -60dB was used for the upper 50 meters). The acoustic density values were based on 38 kHz data stored by acoustic category in nautical area scattering coefficient (NASC) [m2 n.mi.-2] units (MacLennan et al. 2002) in a database with a horizontal resolution of 0.1 nmi and a vertical resolution of 10 m, referenced to the sea surface.

Trawl sampling was planned to be carried out on a regular basis during the survey to confirm the acoustic observations and to be able to give estimates of abundance for different size and age groups. The sampling trawls used were Multpelt 832 on Eros and a commercial herring trawl on Kings Bay, both with small meshed (24 mm) inner net in the codend and a slit (so called “splitt”) close to the codend to avoid too large catches. The following variables of individual herring were recorded from each station with herring catch: total weight in grams and total length in cm (rounded down to the nearest 0.5 cm) of up to 100 individuals per haul. In addition, age from scales, sex, maturity stage, stomach fullness and gonad weight in grams were measured in up to 50 individuals per haul. Genetic samples and otoliths were also collected from these individuals.

CTD casts (using Seabird 911 systems) were taken by both vessels, spread out haphazardly in the survey area.

2.3 - Abundance estimation

The survey estimates are calculated using Stox 4.2.0 (Johnsen et al. 2019), where the sampling means and sampling uncertainties are derived from 1000 bootstrap runs. More details and equations from the estimation process can be found in Salthaug et al. (2021). In StoX, all trawl stations with herring were used to derive a common length distribution for all transect within the respective strata and all stations had equal weight. The following acoustic target strength (TS)-to-fish length (L in cm) relationship was used for herring: TS = 20logL – 71.9 (Foote 1987).

3 - Results and discussion

3.1 - Survey coverage

The cruise tracks of the NSSH spawning survey in 2026, together with pelagic trawl stations and CTD stations are shown in Figure 2. As mentioned above, the coverage south of 67°N was low, with a survey coverage between 7 and 8 which still is high enough for abundance estimation (see Aglen 1989). The strata west of Lofoten and Vesterålen were covered densely, with a survey coverage of around 14. Weather conditions were very good when the area north of 67°N was covered.

Pelagic trawl hauls were carried out regularly (Fig. 2) in the areas where herring-like marks were observed on the echo sounder, to confirm the acoustic observations based on species composition in the catch and to obtain biological samples of individual length, weight, maturity stage and age of herring. A total of 25 pelagic trawl hauls and 28 CTD casts were carried out (Fig. 2). Only one of the trawl hauls did not result in catch of herring (the catch in this particular haul was small blue whiting on deep waters outside the shelf edge in the north, and the marks on the echo sounder indicated that there could be herring mixed in). Bad weather prevented some of the planned CTD casts south of 67°N.

Nautical area scattering coefficients (NASC) allocated to herring from acoustic transects by each nautical mile are shown in Figure 3. Significant amounts of herring schools first started to appear on the echosounders around 30 nautical miles west of Værøy. Herring was also caught in pelagic trawl hauls here (the two southernmost trawl hauls in Fig. 2). Herring was observed in the echograms and in trawl hauls in all strata north of this. The highest concentrations were observed in Stratum 6 (west and southwest of Lofoten), both around the shelf edge and on the shelf. Herring was also observed in the three northernmost strata. Some capelin schools were observed in the northernmost stratum.

3.2 - Survey estimates

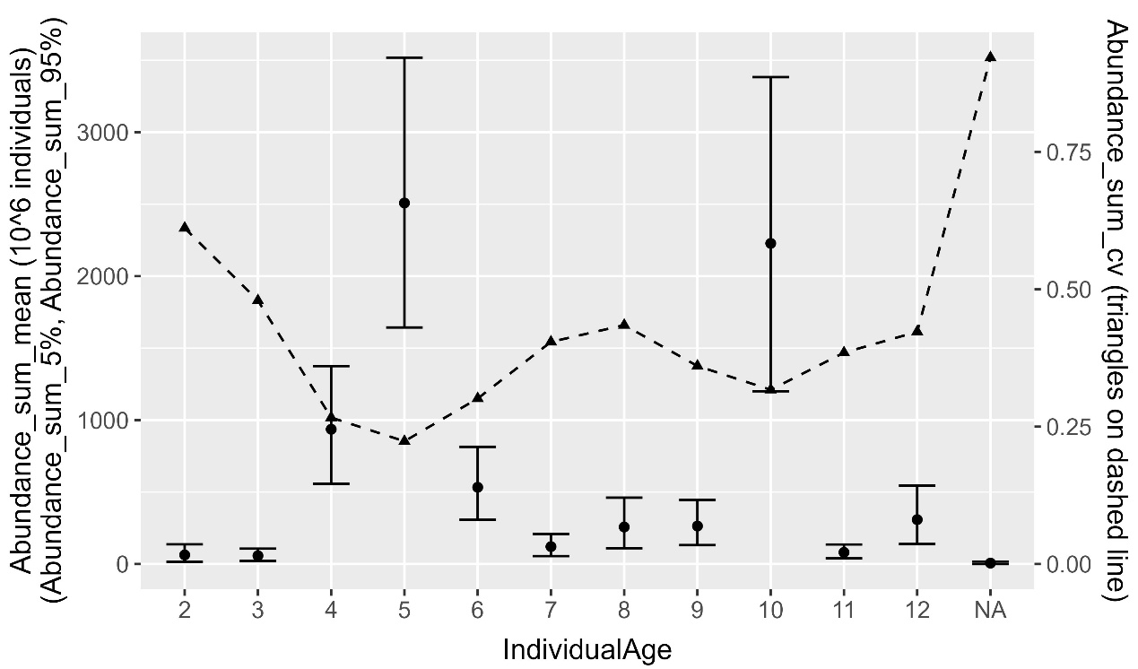
The abundance estimates from this survey are regarded as relative indices of abundance in the ICES stock assessment, since there are highly uncertain scaling parameters like acoustic target strength and compensation for herring migrating. The abundance estimates are shown in Table 1 and 2. Note that all ages from and including 12 years and older are grouped in the same age category (12+). The reason is to make the age categories in line with the ICES stock assessment where the plus group is 12. In terms of the mean estimates, the 2016 and 2021 year class (age 10 and 5) dominated both in numbers (64 %) and biomass (66 %). Of these two year classes, the five-year-olds dominated slightly in numbers but the ten-year-olds dominated in terms of biomass. Compared with the mean estimates from last year (see Salthaug and Stenevik 2025) the 2016 year class decreased by 49 % in numbers. The estimated number of five-year-olds in 2026 (2021 year class) is around 25 % of the estimate of age 5 in 2021 (2016 year class), which indicates that the 2021 year class is of moderate strength. The mean estimate of total stock biomass (TSB) in the survey area was 1.715 million tons which is a decrease of 33 % compared to last year. The time series of mean of total stock biomass from the survey is shown in Figure 4, and the 2026 estimate is one of the lowest in the time series. The mean estimate of total stock number (TSN) in the survey area was 7.36 billion, which is 24 % lower than last year’s estimate. The relative standard error (RSE) of TSB and TSN is 27 % and 24 %, respectively (Tab. 2 and 3), which is slightly lower than last year’s RSEs. The RSE per age group (Tab.1, Tab. 2 and Fig. 5) shows a high uncertainty for the very young and old ages and lower uncertainty for the most abundant age groups in the survey. The RSEs by age are on a similar level as last year. Figure 6 shows point estimates of abundance per year class in the five most recent surveys. These numbers are expected to decline between consecutive years due to mortality, for ages that are fully recruited to the survey (seems to be age 5 or 6). Such declining trend is observed for the strong 2016 year class. The estimates of some of the other year classes are probably too imprecise to “behave” as expected. Mean weight and length from the 2026 spawning survey are shown in Table 3. Most of the estimates are similar to those observed last year, however, the mean length and weight of five-year-olds are significantly lower than last year’s estimates for age 5. This lower size may be due to the moderate strength of the 2021 year class and therefore slower (density dependent) growth.

3.3 - Spatial distribution of the stock and maturity

The relative distribution of the estimated biomass per stratum is shown in Figure 7. Most of the biomass (64 %) was found in Stratum 6 (west of Lofoten), and a significant proportion was found in Stratum 7 (16 %) and 8 (19%). Figure 8 shows the proportion of the estimated population in different maturation stages from the spawning surveys during 2017-2026. As mentioned in the Introduction, the surveys in these years were carried out in approximately the same period, second part of February, which makes the distribution of maturation stages comparable. In 2026 the proportion of spawning and ripe herring was the lowest observed, around 12 % (Fig. 8) and the proportion of maturing herring one of the highest observed around 76 %. This indicates that spawning in 2026 occurred later than normal compared to the last nine years.

3.4 - Geographical variation in temperatures experienced by the herring

Temperatures experienced by herring from close to the surface and down to 250 m are shown in Figure 9 for the areas south and north of 67°N, for the years after 2016 when the survey has been carried out in the same period (latter half of February). The temperatures in 2026 varied from 8.86°C at 150 m depth south of 67°N to 6.35°C at 5 m depth north of 67°N. The temperatures between 100 and 250 m depth south of 67°N are the highest observed during the last ten years, and the variation in temperatures south of 67°N is one of the highest observed. At typical spawning depths of herring at 100-200 m depth, the temperature conditions north of 67°N were quite similar to those observed during the most recent NSSH spawning surveys.

3.5 - Quality of the survey

In 2026 both vessels were equipped with multifrequency echo sounders on a drop keel. The weather conditions were very good in the areas where herring was observed and acoustic data with good quality was recorded and trawling on registrations could be carried out adequately. To conclude, the acoustic and biological data recorded in 2026 on the NSSH spawning survey were of satisfactory quality and the estimates from the survey are recommended to be used in the stock assessment of Norwegian spring-spawning herring in 2026.

4 - References

Aglen, A. 1989. Empirical results on precision effort relationships for acoustic surveys. Int. Coun. Explor. Sea CM 1989 B:30, 28pp.

Foote, K. 1987. Fish target strengths for use in echo integrator surveys. J. Acoust. Soc. Am. 82: 981-987.

Harbitz, A. 2019.A zigzag survey design for continuous transect sampling with guaranteed equal coverage probability. Fisheries Research 213, 151-159.

ICES. 2016. Report of the Benchmark Workshop on Pelagic Stocks (WKPELA), 29 February–4 March 2016, ICES Headquarters, Copenhagen, Denmark. ICES CM 2016/ACOM:34.

Johnsen, E., Totland, A., Skålevik, Å., Holmin, A.J., Dingsør, G.E., Fuglebakk, E., Handegard, N.O. 2019. StoX: An open source software for marine survey analyses. Methods in Ecology and Evolution 10:1523–1528.

Jolly, G.M., and Hampton, I. 1990. A stratified random transect design for acoustic surveys of fish stocks. Canadian Journal of Fisheries and Aquatic Sciences 47: 1282-1291.

Korneliussen, R. J., Heggelund, Y., Macaulay, G. J., Patel, D., Johnsen, E., and Eliassen, I. K. 2016. Acoustic identification of marine species using a feature library. Methods in Oceanography, 17: 187–205.

MacLennan, D.N., Fernandes, P., and Dalen, J. 2002. A consistent approach to definitions and symbols in fisheries acoustics. ICES J. Mar. Sci., 59: 365-369.

Simmonds, J, and David N. MacLennan. 2005. Fisheries acoustics: theory and practice. John Wiley & Sons, 2008.

Salthaug, A., Stenevik, E.K., Vatnehol, S., Anthonypillai, V., and Slotte, A. 2021. Distribution and abundance of Norwegian spring spawning herring during the spawning season in 2021. Survey report / Institute of Marine Research/ISSN 15036294/Nr. 1– 2021.

Salthaug, A. and Stenevik, E.K. 2025. Distribution and abundance of Norwegian spring spawning herring during the spawning season in 2025. Survey report / Institute of Marine Research/ISSN 1893-4536/No. 18– 2025.

Strindberg, S. and Buckland, S.T. 2004. Zigzag survey designs in line transect sampling. Journal of Agricultural, Biological, and Environmental Statistics, 9: 443-461.

5 - Tables

Age Mean 5th percentile 95th percentile RSE
2 63 15 137 0.61
3 58 21 106 0.48
4 936 557 1375 0.27
5 2508 1644 3518 0.22
6 533 308 814 0.30
7 121 55 209 0.40
8 257 110 461 0.43
9 264 132 445 0.36
10 2228 1200 3383 0.32
11 81 39 136 0.38
12+ 308 139 545 0.42
unknown 6 0 18 0.92
TSN 7364 4685 10528 0.24
Table 1. Abundance estimates (million individuals) of Norwegian spring-spawning herring during the spawning survey 12.-25. February 2026, based on 1000 bootstrap replicates in Stox.
Age Mean 5th percentile 95th percentile RSE
2 3 1 8 0.61
3 5 2 10 0.48
4 133 80 195 0.26
5 447 291 634 0.23
6 126 72 192 0.31
7 32 14 55 0.41
8 74 31 133 0.44
9 79 39 133 0.36
10 680 363 1042 0.32
11 27 13 45 0.39
12+ 107 48 192 0.43
unknown 0 0 1 1.01
TSB 1715 1022 2493 0.27
Table 2. Abundance estimates (thousand tons) of Norwegian spring-spawning herring during the spawning survey 12.-25. February 2026, based on 1000 bootstrap replicates in Stox.
Age mean weight (g) RSE(weight) mean length (cm) RSE(length)
2 55.1 0.026 20.9 0.009
3 88.7 0.080 23.9 0.019
4 133.3 0.030 26.8 0.007
5 169.9 0.019 28.6 0.005
6 232.0 0.018 31.5 0.005
7 258.3 0.021 32.5 0.005
8 288.6 0.016 33.6 0.004
9 299.2 0.013 33.9 0.005
10 303.2 0.004 34.2 0.002
11 325.3 0.021 35.2 0.006
12+ 344.2 0.014 36.3 0.006
Table 3. Estimated length and weight of individuals by age group of Norwegian spring-spawning herring during the spawning survey 12.-25. February 2026, based on 1000 bootstrap replicates in Stox.

6 - Figures

 

Distribution of commercial catches of Norwegian spring-spawning herring from October 2025 until February 2026, based on electronic logbooks. Each point represents one catch, only catches larger than 10 tons are shown
Figure 1. Distribution of commercial catches of Norwegian spring-spawning herring from October 2025 until February 2026, based on electronic logbooks. Each point represents one catch, only catches larger than 10 tons are shown.

 

Cruise tracks (mostly acoustic transects), pelagic trawl stations (triangles), and CTD stations (Z) covered by Eros and Kings Bay on the Norwegian spring-spawning herring spawning survey 12.-25. February 2026. The strata are shown as grey polygons with green numbers.

Figure 2. Cruise tracks (mostly acoustic transects), pelagic trawl stations (triangles), and CTD stations (Z) covered by Eros and Kings Bay on the Norwegian spring-spawning herring spawning survey 12.-25. February 2026. The strata are shown as grey polygons with green numbers.

 

Acoustic densities (NASC) of herring recorded during the Norwegian spring-spawning herring spawning survey 12.-25. February 2026. Points represent NASC values per nautical mile. Depth contours are shown for 50 m, 100 m, 150 m, 200 m, 500 m, 1000 m, 1500 m and 2000 m.
Figure 3. Acoustic densities (NASC) of herring recorded during the Norwegian spring-spawning herring spawning survey 12.-25. February 2026. Points represent NASC values per nautical mile. Depth contours are shown for 50 m, 100 m, 150 m, 200 m, 500 m, 1000 m, 1500 m and 2000 m.

 

 

Estimates of total biomass from the Norwegian spring-spawning herring spawning surveys during 1988-2026. The estimates are mean of 1000 bootstrap replicates in Stox and the error bars represent 90 % confidence intervals.
Figure 4. Estimates of total biomass from the Norwegian spring-spawning herring spawning surveys during 1988-2026. The estimates are mean of 1000 bootstrap replicates in Stox and the error bars represent 90 % confidence intervals.

 

 

Abundance estimates (left axis) and relative standard error (right axis) by age from the the Norwegian spring-spawning herring spawning survey 12.-25. February 2026. Black dots are mean of 1000 boostrap replicates in Stox, error bars represent 90 % confidence intervals and triangles relative standard error (RSE).
Figure 5. Abundance estimates (left axis) and relative standard error (right axis) by age from the the Norwegian spring-spawning herring spawning survey 12.-25. February 2026. Black dots are mean of 1000 boostrap replicates in Stox, error bars represent 90 % confidence intervals and triangles relative standard error (RSE).

 

 

Abundance by year class estimated during the Norwegian spring-spawning herring spawning surveys 2021-2026 (mean of 1000 bootstrap replicates). Legend: Separate color for each survey year.
Figure 6. Abundance by year class estimated during the Norwegian spring-spawning herring spawning surveys 2021-2026 (mean of 1000 bootstrap replicates). Legend: Separate color for each survey year.

 

 

Relative distribution by stratum of the biomass of herring from the Norwegian spring-spawning herring spawning survey 12.-25. February 2026.
Figure 7. Relative distribution by stratum of the biomass of herring from the Norwegian spring-spawning herring spawning survey 12.-25. February 2026.

 

 

Proportion of the different maturity stages among mature herring in samples from the Norwegian spring-spawning herring spawning surveys in 2017-2026.
Figure 8. Proportion of the different maturity stages among mature herring in samples from the Norwegian spring-spawning herring spawning surveys in 2017-2026.

 

 

Mean temperatures at 5, 20, 50, 100, 150, 250 m in the area covered during the Norwegian spring-spawning herring spawning surveys in 2017-2026.
Figure 9. Mean temperatures at 5, 20, 50, 100, 150, 250 m in the area covered during the Norwegian spring-spawning herring spawning surveys in 2017-2026.