Go to main content

Risikorapport norsk fiskeoppdrett 2023

— Produksjonsdødelighet hos oppdrettsfisk og miljøeffekter av norsk fiskeoppdrett

Sammendrag

I årets risikorapport har vi tatt de første skrittene i retning av å sammenstille risikovurderingene for dyrevelferd og miljøpåvirkningene av fiskeoppdrett for hvert produksjonsområde. Dette gir en lett tilgjengelig oversikt over det overordnede risikobildet i produksjonsområdene, og leseren kan danne seg et bilde av hvordan dyrevelferd og miljøpåvirkningene i norsk havbruk varierer mellom de ulike geografiske områdene. En slik fremstilling ville ikke vært mulig uten at det lå solide og kunnskapsbaserte risikovurderinger til grunn. Resultatene i denne rapporten baserer seg på risikovurderingene og kunnskapsgrunnlaget publisert i «Risikorapport norsk fiskeoppdrett 2022» samt de nye revideringene «Rømt oppdrettslaks – risikovurdering og kunnskapsstatus 2023» og «Lakselus – risikovurdering og kunnskapsstatus 2023». Hele rapportserien kan leses her:

Året rapport inkluderer ikke miljøeffekter på non-target arter ved bruk av avlusningsmidler i fiskeoppdrett og heller ikke fjorårets vurdering på effekter av torskeoppdrett. Disse vil bli inkludert i kommende risikorapporter.

Dagens oppdrettslaks er i utgangspunktet godt tilpasset et liv i merd langs hele kysten, men sykdom, avlusningsoperasjoner og vannmiljø er med på å øke risikoen knyttet til dødelighet hos oppdrettslaks i sjø. De innrapporterte tallene til Fiskeridirektoratet viser at totalt 58 millioner oppdrettslaks døde eller var i så dårlig tilstand at de ble registrert som utkast i 2022. Dette er en liten oppgang fra 57 millioner i 2021. Dødelighet er en grov velferdsindikator, men det er rimelig å anta at fisk som dør har opplevd dårlig velferd før de døde, og at høy dødelighet er et tegn på dårlig velferd. Med utgangspunkt i produksjonsdødeligheten, tegnes det et tydelig bilde på at det er høy risiko knyttet til dårlig dyrevelferd for oppdrettslaks i sjø i produksjonsområde 1–5 (Svenskegrensen til Hustadvika). Her har produksjonsdødeligheten i hele perioden 2018–2020 ligget over landsgjennomsnittet på 15 % og i produksjonsområdene 2–4 (Ryfylke til Stadt) har dødeligheten vært oppe i 23–27 %. Den høye dødeligheten forklares blant annet av at fisken på Vestlandet har hatt mer lakselus- og sykdomsproblemer og tåler avlusing dårligere enn lenger nord. Totalt ble 2,9 millioner regnbueørret i norske oppdrettsmerder registrert som død eller som utkast i 2022. Produksjonsdødeligheten per generasjon ligger her typisk mellom 10 og 15 %, som er betydelig lavere enn for laks. Risiko knyttet til dødelighet hos regnbueørret i sjø vurderes å være lav til moderat i de tre produksjonsområdene 3–5 med ørretoppdrett (Karmøy til Hustadvika).

Risiko knyttet til miljøeffekter på vill laksefisk omfatter i årets rapport ytterligere genetiske endringer som følge av innkryssing fra rømt oppdrettslaks; effekter av lakselus på utvandrende postsmolt laks og beitende sjøørret og sjørøye; og endring i forekomst av infeksiøs lakseanemi (ILA) og pankreassykdom (PD) hos villfisk som følge av smitte fra oppdrettsfisk.

Hele seks av produksjonsområdene vurderes å ha høy risiko for ytterligere genetiske endringer hos villaksen. Dette baseres på det faktum at større rømningshendelser fra lakseoppdrett stadig inntreffer. Kombinert med laksens medfødte atferd vil det være sannsynlig at noe av denne rømte oppdrettslaksen finner veien opp i en eller flere av våre rundt 440 lakseelver og krysser seg inn med villaksen i elvene. Selv om det fortsatt er manglende kunnskap både om hvor mye oppdrettslaks som kommer seg til gyteplassene og hvor robuste villaksbestandene er for innkryssing, har vi etter hvert en god oversikt over graden av innkryssing av oppdrettslaks i villakslaksbestandene. Kunnskapen om hvorfor enkelte laksebestander ser ut til å være mer utsatt for innkryssing enn andre, er til dels manglende, men vi ser at elver i enkelte områder er mer sårbare selv når rømmingstallene i området har vært relativt lave over tid. Rømt oppdrettslaks kan spre seg over store områder, noe som gjør at det er usikkerhet knyttet til påvirkning fra andre produksjonsområder. Det er behov for mer kunnskap for å kunne identifisere opphavslokalitet for oppdrettslaks som registreres i overvåkingsprogrammet. Dette vil øke vår forståelse for spredningspotensialet til rømt oppdrettslaks basert på tidspunkt og livsstadium ved rømming, og vil kunne legge til rette for mer målrettet gjenfangst samt øke forståelsen for smittepotensial ved rømming av syk eller smittet oppdrettsfisk.

Ser vi på bildet for lakselussmitte på vill laksefisk, så peker produksjonsområde 3 og 4 (Karmøy til Stadt) seg ut. I begge produksjonsområdene vurderes det å være høy risiko knyttet til dødelighet på utvandrende postsmolt laks som følge av smitte av lakselus fra fiskeoppdrett. I produksjonsområde 2–5 og 7 (Ryfylke til Hustadvika og Nord-Trøndelag med Bindal) vurderes det å være høy risiko knyttet negative effekter på sjøørret og sjørøye som følge av lakselussmitte. At det er flere områder med høy risiko for negative effekter på sjøørreten enn det er for utvandrende laksesmolt, er ikke overraskende, da sjøørreten og sjørøya vandrer ut og oppholder seg i områder med lakselussmitte over lengre tid etter å ha forlatt elvene. Produksjonsområde 2–7 (Ryfylke til Bindal) og produksjonsområde 10 (Andøya til Senja) omfatter de mest produksjonsintensive områdene langs kysten (23,7–53,7 tonn/km2), og med gunstige temperatur- og salinitetsforhold for lakselusa gjør dette at utslippene av lakselus er moderat til høye og øker utover sommeren. For postsmolt laks vil sannsynligheten for høy lusesmitte og påfølgende økt dødelighet øke med sent utvandringstidspunkt og også med økende avstand fra utvandringspunkt til åpent hav. Ligger laksesmoltens vandringsruter nær kysten, vil også smittetrykket øke, da lakselusa ofte akkumuleres i forhøyede tettheter nært land. For sjøørret og sjørøye som oppholder seg langs kysten i en lengre periode for å beite, vil smittepresset være høyt i store deler av beitesesongen. Dette gjelder i mindre grad i de nordligste produksjonsområdene der temperaturene er lavere og beitesesongen så kort at lakselus i liten grad vil utvikles til voksne stadier før fisken vandrer tilbake til elven.

Situasjonen av infeksiøs lakseanemi (ILA) viser at for alle produksjonsområdene vurderes det å være lav risiko knyttet til endring i forekomst av ILA hos villfisk som følge av smitte fra oppdrettsfisk. Kompleksiteten og tilfeldigheten i forekomst av ILA i oppdrett gjør det vanskelig å si om områdene med flest utbrudd også vil få hyppigere utbrudd i tiden fremover og dermed øke sannsynligheten for smitte til villfisk. For pankreassykdom (PD) vurderes det at risikoen er lav i produksjonsområdene 1, 2, 5 og 7 og moderat i produksjonsområdene 3, 4 og 6. Produksjonsområdene 2–6 (Ryfylke–Nordmøre og Sør-Trøndelag) omtales som «endemisk sone» hvor utbrudd av PD historisk sett har forekommet hyppigst. Produksjonsområdene 1 og 7 (Svenskegrensen til Jæren og Nord-Trøndelag med Bindal) inkluderes likevel, da vi vet at smittet eller syk rømt oppdrettsfisk kan spre seg over store områder, vandre ut av endemisk sone og smitte villfisk i tilstøtende områder. Vurderingene for ILA og PD er basert på hyppigheten av rapporterte sykdomsutbrudd, rapporterte rømminger i gjeldende produksjonsområde og tilstøtende områder og kunnskap fra overvåking- og kartlegging av virus i vill og rømt oppdrettsfisk.

Kunnskapen som ligger til grunn for vurderingene av endringer i forekomst av ILA og PD hos villfisk er mangelfull, og kunnskapsstyrken vurderes som svak for alle produksjonsområdene. Det er begrenset kunnskap om hvor mye ILAV og SAV som slippes ut fra anleggene, virusenes robusthet, minste infeksiøse dose, og graden av spredning og fortynning av viruset i områdene. Det finnes en del erfaringskunnskap og data om konsekvenser fra oppdrett og fra laboratorieforsøk med oppdrettsfisk og noe på villaks, men ingen fra villaks i naturen. Havforskningsinstituttets overvåking dekker kun et begrenset område, og det er bare for utvandrende postsmolt overvåkingen kan sies å dekke større deler av kysten. Manglende kunnskap kan gi opphav til overraskende hendelser med kritisk store konsekvenser, noe vi har valgt å markere med en svart svane i risikokartene våre.

Vurderingene av de tre miljøpåvirkningene på villaksen som er inkludert i årets rapport, bør også ses i sammenheng med status for villaksbestandene i området. I områder der mange av vassdragene har lavt høstbart overskudd og/eller ikke oppnår gytebestandsmålet, kan villaksen være mer sårbare for ekstra belastning gjennom økt dødelighet og ytterligere genetisk innkryssing som følge av oppdrettsaktiviteten i området.

Produksjonen av oppdrettsfisk varierer mellom produksjonsområdene. Ser vi på hvor mange tonn fisk som produseres per areal, så ligger produksjonsområde 3 høyest med 53,7 tonn/km2 i 2021 og øker til 63,3 tonn/km2 basert på foreløpige tall fra Fiskeridirektoratet for 2022. I den andre enden av skalaen ligger produksjonsområde 13 med 1,4 tonn/km2. Gjennomsnittlig produksjon lå på 22,4 tonn/km2 i 2021 og 22,7 tonn/km2 i 2022. Det meste av produksjonen foregår i åpne sjøanlegg, og både næringssalter, fekalier og spillfôr slippes direkte ut i vannmassene og spres ut i miljøet. Risiko knyttet til miljøeffekter som følge av økt tilførsel av næringssalter fra fiskeoppdrett vurderes som lav for alle produksjonsområder, siden den beregnede økningen i planteproduksjon vurderes som lav, og varierer mellom 0,9 og 15 %. Det er heller ingen av områdene med overvåkingsstasjoner i oppdrettsintensive områder som rapporterer om dårlig miljøtilstand for næringssalter eller makroalger på hardbunn. Norske kyst- og fjordområder er i utgangspunktet næringsfattige, og de fleste oppdrettsanleggene ligger i områder med god vannutskiftning, noe som gjør at næringssaltene raskt spres og fortynnes.

Risiko knyttet til utslipp av partikulært organisk materiale på bløtbunn vurderes også som lavt for alle produksjonsområdene, da >90 % av miljøundersøkelsene i de aller fleste områder viser «meget/svært god» eller «god» tilstand. Lokal påvirkning av organiske utslipp under og nært oppdrettsanlegg er uunngåelig med dagens teknologi, og selv om miljøundersøkelsene stort sett er gode, så vet vi at enkelte fjordområder har fått redusert utskiftning av bunnvann grunnet klimaendringer. Disse områdene blir da mer sårbare for å få lave konsentrasjoner av oksygen på bunnen. En del anlegg ligger dessuten over hardbunn og disse kan ennå ikke overvåkes tilfredsstillende. En kan redusere den lokale påvirkningen ved å hindre at det organiske materialet bunnfeller rundt anleggene, eller ved å samle opp det organiske materialet før det forsvinner ut av merdene. Det er utviklet ulike systemer som samler inn organisk avfall fra oppdrettsanlegg, men disse systemene er foreløpig ikke tatt i bruk i større skala.

Det finnes en rekke fremmedstoffer som slippes ut i miljøet fra fiskeoppdrettsanlegg, der bruken av kobber som groehemmende middel på oppdrettsnøtene, står for det største. I 2021 var forbruket på 1097 tonn, en videre nedgang fra forbruket i 2020 som var på 1539 tonn. Data på forbruk i 2022 er ennå ikke publisert. Siden det ikke finnes data på forbruket i de enkelte produksjonsområdene er det først og fremst miljøundersøkelsene (C-undersøkelsene) ved oppdrettsanleggene som gir en oversikt over tilstanden i områdene. Produksjonsområdene 3 og 4 (Karmøy til Stadt) skiller seg ut med en høy andel lokaliteter med høye kobberverdier i bunnsedimentene. I disse områdene har det blitt drevet oppdrett lenge, og bruken av kobberimpregnering har vært utbredt. Det vurderes å være høy miljørisiko knyttet til bruken av kobber i disse to produksjonsområdene. Også i produksjonsområde 2 (Ryfylke) og produksjonsområdene 5–7 (Stadt til Nord-Trøndelag med Bindal) ser vi en forhøyet andel lokaliteter med høye kobberverdier. I disse områdene vurderes det å være moderat risiko knyttet til miljøeffekter av kobber fra fiskeoppdrett. Da kobber akkumulerer i sedimentene, bør man være oppmerksom på at disse områdene over tid kan få økende antall lokaliteter med høye kobberverdier i sedimentet hvis ikke kobberutslippene reduseres. I produksjonsområdene 8-13 (Helgeland til Øst-Finnmark) vurderes risikoen knyttet til utslipp av kobber fra fiskeoppdrett å være lav, da miljøundersøkelsene viser lave kobberverdier i sedimentene. Flere av disse områdene har mange relativt nye lokaliteter og de fleste lokalitetene ligger i områder med god vannutskiftning, der kobber i liten grad akkumulerer i sedimentene. Det høye forbruket av kobber i norsk oppdrettsnæring, kombinert med kunnskap om passiv utlekking og pulser med forhøyede verdier av kobberioner ved spyling av nøter, gjør at vi anbefaler en reduksjon i bruken av kobber i fiskeoppdrett generelt, og i høyt belastede områder spesielt. Det bør også bemerkes at forbruket av erstatningsstoffene tralopyril og sinkpyrithion har økt med respektive 34 % og 10 % fra 2020. Økningen i forbruk av disse to stoffene, gjør at det bør vurderes om også disse stoffene skal inkluderes i fremtidige risikovurderinger.

Det har vært knyttet bekymring til det høye uttaket av vill leppefisk til bruk i fiskeoppdrett, og i 2018 ble fisket i all hovedsak lukket og det ble innført kvoter. Det er ennå for tidlig å si om nivået på kvotene er bærekraftig over tid, siden de ulike leppefiskartene har svært ulik biologi, men det vurderes å være lite eller ubetydelig endring i leppefiskbestandene som følge av fangst av leppefisk. Det har de siste årene også skjedd en reduksjon i transporten av villfanget leppefisk inn i produksjonsområdene 6 og 7 (Nordmøre til Bindal). Mindre transport av leppefisk over store geografiske områder gir redusert sannsynlighet for genetisk innkryssing i de lokale leppefiskbestandene ved rømming. Denne problemstillingen har hittil vært lite undersøkt, men genetiske studier har vist at det har skjedd rømming og genetisk påvirkning fra Skagerrakbestanden hos grønngylt i produksjonsområde 6 og 7. Transport av fisk over store geografiske områder med manglende kontroll både på helsestatus av fisk og transportvann, vurderes derimot å være langt fra ønsket tilstand med tanke på biosikkerheten. Utsett av fisk fra ett område i et annet område er en velkjent utfordring i forhold til introduksjon av patogener. I tillegg er det liten eller ingen behandling av transportmiddel eller transportvannet før det tømmes ut i mottaksområdet. Til nå har vi ikke hatt større sykdomsutbrudd hos oppdrettsfisk eller villfisk som kan knyttes direkte til bruk av rensefisk, og sannsynligheten vurderes som lav for alle produksjonsområder. Kunnskapsstyrken disse sannsynlighetsbetraktningene hviler på vurderes som svak. Basert på erfaring fra andre arter vet vi at sannsynligheten for en slik hendelse ikke er neglisjerbar og ekspertgruppen vurderer dette som en mulig overraskelse, markert med en svart svane i risikokartene.  

Avslutningsvis poengteres det at manglende kunnskap i form av begrenset overvåkingsdata og forskning, gjør at vi kan si lite om mulige effekter av for eksempel næringssalter, partikulært organisk materiale, kobber eller avlusningsmidler fra fiskeoppdrett på sårbare naturtyper som ruglbunn, ålegressenger og tareskog. Bildet blir enda mer komplekst når effekten av klimaendringene er i ferd med å gjøre seg gjeldende i de marine økosystemene, og den nåværende kunnskapen er svak både om hvordan dette vil slå ut for de ulike marine artene og i hvilken grad miljøbelastningen fra akvakultur og andre menneskelige aktiviteter vil forsterke disse endringene. Inntil slik kunnskap foreligger og usikkerheten dermed reduseres, vil det være beslutningstakernes ansvar å vurdere avbøtende tiltak basert på best tilgjengelig kunnskap. 

1 - Innledning

1.1 - Status norsk fiskeoppdrett

Norge eksporterte i 2022 i underkant av 1,26 millioner tonn oppdrettslaks og 54 979 tonn regnbueørret til en verdi på henholdsvis 105,8 og 5,0 milliarder norske kroner, og utgjorde 70 % av den samlede eksportverdien av sjømat på totalt 151,4 milliarder kroner (tall fra Norges sjømatråd). Siden 2012 har den totale oppdrettsproduksjonen økt fra drøye 1,3 millioner tonn i året til over 1,65 millioner tonn i 2021 og foreløpige tall fra Fiskeridirektoratet viser en liten nedgang til 1,62 millioner tonn i 2022. Atlantisk laks utgjør 1,54 millioner tonn (95 %) av den totale produksjonen. Produksjon av regnbueørret var på rundt 76 600 tonn i 2022, en reduksjon på rundt 7400 tonn fra 2021 (Figur 1.1). Selv om det arbeides aktivt med andre arter og nye produksjonsformer, vil sannsynligvis laks fortsette å være den viktigste oppdrettsarten i mange år fremover.

Graf produksjon
Figur 1.1 Akvakulturproduksjon i Norge i perioden 1980–2022: total produksjon (mørkeblå linje), atlantisk laks (lyseblå linje), regnbueørret (gul linje) og andre fiskearter (tall til og med 2021) (rød linje). Kilde: Fiskeridirektoratet, foreløpige tall.

1.2 - Miljømessig bærekraft og dyrevelferd i norsk fiskeoppdrett

Bærekraftig utvikling er definert av FN som «en utvikling som tilfredsstiller dagens behov uten å ødelegge fremtidige generasjoners muligheter til å tilfredsstille sine behov» og i Stortingsmelding 16 (2014–2015) Forutsigbar og miljømessig bærekraftig vekst i norsk lakse- og ørretoppdrett ble det slått fast at «miljømessig bærekraft må benyttes som den viktigste forutsetningen for å regulere videre vekst i oppdrettsnæringen».

Med over 500 millioner oppdrettsfisk stående i åpne merder langs kysten til enhver tid utgjør fiskeoppdrett den største husdyrproduksjonen i Norge. Med en så høy biomasse er det bred enighet om at aktiviteten i større eller mindre grad påvirker miljøet både lokalt og regionalt, og det er knyttet til dels store utfordringer til dyrevelferd.

Ser vi tilbake på utviklingen av næringen så har det gjennom over 40 år med fiskeoppdrett vært mange og komplekse utfordringer. Noen av utfordringene har en funnet gode løsninger på, mens for andre, som genetisk innkryssing av oppdrettslaks i villaksbestandene, vil påvirkningen være vedvarende og akkumulere ytterligere med mindre man finner en permanent løsning for å unngå at rømt oppdrettslaks kommer seg til gyteplassene.

På 1980 og 1990-tallet var det mye fokus på bruk av antibiotika og lokale effekter av organiske utslipp på bunnen under oppdrettsanleggene. Antibiotikabruken er siden da redusert kraftig, takket være utvikling av effektive vaksiner og strengere restriksjoner for bruk av antibiotika. I 2000 kom den første standarden for miljøovervåking av bunnpåvirkning fra marine akvakulturanlegg, Norsk Standard NS9410, som påla oppdretter å overvåke miljøtilstanden på bunnen ved anleggene. Overvåkingen har i stor grad bidratt til at tilstanden under oppdrettsanlegg har blitt forbedret, og de aller fleste anleggene har nå «meget god» eller «god» miljøtilstand. Lokalisering av oppdrettsanlegg har endret seg over tid og dagens anlegg ligger i større grad i mer strømrike områder. På disse lokalitetene har vi mindre kunnskap om konsekvensene av utslipp på bunnmiljøet i nær- og fjernsonen, og det organiske avfallet spres i større grad og fortynnes ut over et så stort område at påvirkningen kan være vanskelig å måle med dagens overvåkingsmetodikk.

Helt siden volumet av oppdrettslaks begynte å øke har parasitten lakselus vært et problem, og smitte til vill laksefisk er i dag den miljøindikatoren som styrer veksten i norsk lakseoppdrett. Lakselusa påvirker både oppdrettslaksen og vill laksefisk. Etter at det ble slått fast at lakselus fra oppdrett er en av de største truslene for norske villaksbestander, ble fokuset for avlusning i større grad flyttet fra oppdrettsfisken til villfisken. For å redusere påvirkning på vill laksefisk er grensene lave for lakselus på oppdrettsfisken, spesielt under villaksens utvandring, og oppdrettsfisken må regelmessig avluses for å holde smittepresset nede. Avlusningsoperasjonene er en stor belastning både for oppdrettsfisken og rensefisken, og det er enighet om at det er lakselusbehandlinger som i størst grad påvirker fiskevelferden gjennom økt dødelighet i perioden etter behandling og skader som følge av behandlingen. For å bekjempe det økende problemet med lakselus gikk bruken av kjemiske avlusningsmidler dramatisk opp, men har siden 2016 gått ned. Vi vet at avlusningsmidler kan påvirke andre arter i det marine miljøet, men i hvor stor grad det skjer og konsekvensen av påvirkningen vet vi foreløpig lite om.

Med bakgrunn i ønsket om ytterligere vekst i oppdrettsnæringen og behovet for å løse miljøutfordringene knyttet til fiskeoppdrett igangsatte Regjeringen arbeidet med en stortingsmelding om vekst i havbruksnæringen i 2014 der ulike alternativer for vekst ble drøftet. Konklusjonen var at uansett hvilket alternativ man valgte måtte de underliggende utfordringene håndteres eller løses. En rekke miljøindikatorer ble vurdert i den videre prosessen, og basert på dagens produksjonsform med oppdrett i åpne merder i sjø og kunnskapsstatus på de ulike indikatorene, ble det enighet om at påvirkning fra lakselus på vill laksefisk var den mest relevante miljøindikatoren for å regulere regional vekst for oppdrett av laksefisk, siden det er antatt å være en sammenheng mellom biomasse (antall fisk) og utslipp av lakselus.

Nærings- og fiskeridepartementet vedtok på bakgrunn i dette i 2017 en forskrift (produksjonsområdeforskriften) som er en handlingsregel for kapasitetsjustering av lakse-, og ørretoppdrett basert på forhåndsdefinerte geografiske områder og miljøindikatorer (trafikklyssystemet). Siden lakselus var valgt som eneste miljøindikator ble kysten del inn i 13 produksjonsområder basert på strømmodeller for spredning av lakselusnauplier (Figur 1.2). Dagens trafikklyssystem innebærer en handlingsregel der miljøstatus, vurdert som lakselusindusert dødelighet hos vill laksefisk for hvert produksjonsområde, skal legges til grunn for om produksjonen får øke, skal være uendret eller må reduseres. Foreløpig er det kun dødelighet hos utvandrende postsmolt laks som inngår i vurderingene.

PO områder
Figur 1.2 Den geografiske avgrensingen av de 13 produksjonsområdene fra Svenskegrensen til Øst-Finnmark (PO 1-13).

Produksjonen varierer mellom produksjonsområdene og de mest oppdrettsintensive områdene basert på mengde fisk produsert per areal (tonn produsert fisk/km2) var produksjonsområdene 2-4 Karmøy til Stadt (Tabell 1.1). I andre enden av skalaen ligger produksjonsområde 1 Svenskegrensen-Jæren og produksjonsområde 13 Øst-Finnmark. Gjennomsnittlig produksjon per areal var på 22,4 tonn/km2 i 2021 og ligger an til å havne på omtrent samme nivå i 2022 med en produksjon per areal på 22,7 tonn/km2 (statistikk fra Fiskeridirektoratet, 25.1.2023).

Tabell 1.1. Areal (sjøareal innenfor grunnlinjen, km2), mengde produksjon (uttak slaktet fisk, tonn/år) og mengde produksjon per areal (tonn/km2) for hvert av de 13 produksjonsområdene. (Statistikk fra Fiskeridirektoratet, 25.1.2023).
    Produksjon 2021 Produksjon 2022
Produksjonsområde Areal (km2) Mengde (tonn/år) Mengde per areal (tonn/km2) Mengde (tonn/år) Mengde per areal (tonn/km2)
Område 1: Svenskegrensen til Jæren 3 521 22 217 6,3 14 076 4,0
Område 2: Ryfylke 1 846 78 320 42,4 85 648 46,4
Område 3: Karmøy til Sotra 3 274 175 741 53,7 207 114 63,3
Område 4: Nordhordland til Stadt 5 258 160 566 30,5 172 655 32,8
Område 5: Stadt til Hustadvika 3 694 87 489 23,7 73 694 19,9
Område 6: Nordmøre og Sør-Trøndelag 9 950 274 216 27,6 258 966 26,0
Område 7: Nord-Trøndelag med Bindal 4 948 121 671 24,6 116 015 23,4
Område 8: Helgeland til Bodø 12 414 176 956 14,3 183 222 14,8
Område 9: Vestfjorden og Vesterålen 15 454 160 543 10,4 150 240 9,7
Område 10: Andøya til Senja 4 386 126 933 28,9 130 299 29,7
Område 11: Kvaløy til Loppa 6 539 85 626 13,1 80 559 12,3
Område 12: Vest-Finnmark 10 073 139 593 13,9 116 481 11,6
Område 13: Øst-Finnmark 3 600 8 903 2,5 5 114 1,4

 

Med trafikklyssystem, overvåking av miljø og matvaretrygghet, luseforskrift og et omfattende lovverk både for akvakultur, mat og dyrevelferd ligger Norge i verdenstoppen for kunnskapsbasert forvaltning av havbruksnæringen. Likevel har det vært vanskelig å få et helhetlig bilde og felles forståelse av hvor store utfordringene knyttet til miljøeffekter har vært i norsk havbruksnæring, og hvordan dette påvirker bærekraften av norsk fiskeoppdrett.

Havforskningsinstituttet har siden 2010 gjennomført og publisert en årlig risikovurdering der vi har hatt som formål å sammenstille kunnskap og vurderinger knyttet til et bredt sett av påvirkningsfaktorer innen norsk fiskeoppdrett for å skape økt forståelse om hvordan norsk havbruk påvirker miljøet langs kysten. Gjennom de årene rapporten har eksistert har vi fokusert på effekter på vann- og bunnmiljøet, vill laksefisk og annen villfisk, rensefisk som brukes til avlusning og velferden til fisken som går i oppdrett. I 2021 kom også den første vurdering av risiko knyttet til torskeoppdrett i åpne merder i sjø, da interessen for torskeoppdrett har økt betraktelig i løpet av de siste årene.

Risikovurdering er et verktøy for å identifisere uønskede hendelser samt sannsynligheten for at hendelsen vil inntreffe og konsekvenser av en slik hendelse. For å kunne gjennomføre en god risikovurdering er det viktig å kartlegge risikobildet ved å identifisere de viktigste risikofaktorene og prøve å få en best mulig oversikt over all kunnskap knyttet til de ulike risikofaktorene. Akvakultur har imidlertid et svært komplekst risikobilde, og det er varierende kunnskapsnivå knyttet til de ulike faktorene. I tråd med forskningsfronten innen risikofaget ble ny metodikk for risikovurdering innført i 2019 der formålet med risikovurderingen ikke er å beregne risiko nøyaktig, men heller å skape forståelse hos brukerne og legge det beste grunnlaget for risikobaserte avgjørelser. Fagekspertene som gjør vurderingene benytter all tilgjengelig kunnskap i gjennomføringen av denne risikovurderingen, herunder relevant datamateriale, observasjoner, målinger og faglige vurderinger.

Å vurdere risiko er en kontinuerlig prosess og vurdering av påvirkningsfaktorer og risiko knyttet til disse vil endre seg i takt med økt kunnskap innen det enkelte risikolandskap. Havforskningsinstituttets risikovurdering med tilhørende kunnskapsstatus, er et viktig bidrag til å videreutvikle eksisterende regelverk, både mot nye indikatorer i trafikklyssytemet samt å holde fokus på de viktigste risikofaktorene innen miljøpåvirkning av fiskeoppdrett og områdene der vi mangler kunnskap. Dette vil videre være et viktig bidrag til å bygge opp rundt dagens kunnskaps- og risikobaserte forvaltning av en av våre viktigste marine næringer.

I årets "Risikorapport norsk fiskeoppdrett" vurderer vi risiko knyttet til produksjonsdødelighet hos oppdrettsfisk, dødelighet hos og negative effekter på vill laksefisk som følge av smitte av lakselus fra fiskeoppdrett, ytterligere genetisk innkryssing av rømt oppdrettslaks, endring i forekomst av infeksiøs lakseanemi og pankressyke hos villfisk som følge av smitte fra oppdrettsfisk, miljøeffekter ved utslipp av løste næringssalter, partikulært organisk materiale og kobber fra fiskeoppdrett og bruk av villfanget leppefisk i fiskeoppdrett. Året rapport inkluderer ikke miljøeffekter på non-target arter ved bruk av avlusningsmidler i fiskeoppdrett og heller ikke fjorårets risikovurdering på torskeoppdrett. Disse vil bli inkludert i kommende risikorapporter.

Les hele risikovurderingen og kunnskapsgrunnlaget for disse to temaene i "Risikorapport norsk fiskeoppdrett 2022":

"Miljøeffekter på non-target-arter ved bruk av legemidler i fiskeoppdrett"

"Effekter av torskeoppdrett i åpne merder på ville torskebestander"

1.3 - Metodikk for risikovurdering

I denne risikovurderingen kartlegges og analyseres usikkerhet knyttet til fremtidige konsekvenser av fiskeoppdrett langs norskekysten. Metodikken som ligger til grunn for risikoresultatene presentert i denne samlerapporten er utviklet av Havforskningsinstituttet og publisert i Andersen mfl. (2022). Hensikten med dette kapittelet er å oppsummere hovedpunktene i metodikken med søkelys på å forstå de overordnede resultatene av risikovurderingen for hvert produksjonsområde. For flere detaljer rundt fundamentale forhold og hvordan risikovurderingen gjennomføres henviser vi til artikkelen.

I takt med forskningsfronten innen risikofaget finnes ingen objektive og korrekte risikotall som utgjør en form for fasit, det finnes kun usikkerhet knyttet til hva som ligger foran oss. Og det er nettopp denne usikkerheten fagekspertene sier noe om i denne rapporten. Målet med risikovurderingen er å skape risikoforståelse og risikoerkjennelse hos forvaltningen og andre interessenter som utgangspunkt for prioriteringer og beslutninger om veivalg og tiltak. Vi har valgt å visualisere resultatet av risikovurderingene for hvert produksjonsområde i form av et risikokart som viser bidraget til miljørisiko fra ulike kilder (Figur 1.3). Risikokartene består av spesifikke konsekvenser (kalt noder) og subjektive sannsynligheter som sier noe om hvorvidt konsekvensene inntreffer. I risikokartene benyttes fargekodene grønn, gul og rød farge på en node for å illustrere lav, moderat og høy sannsynlighet. Fargen på sirkelen rundt noden illustrere hvorvidt denne vurderingen bygger på sterk, moderat eller svak kunnskap, henholdsvis grønn, gul eller rød farge. Fargen på pilen (fra en spesifikk konsekvens inn mot noden for produksjonsområde) viser hvordan havforskerne vurderer det samlede risikonivået. Grønn, gul og rød pil illustrerer henholdsvis lav, moderat og høy risiko.

 

Metodikk PO
Figur 1.3. Eksempel på visualisering av risikobilde for et produksjonsområde.

 

Risikokartene er et nyttig redskap for å visualisere risikobildet, men det er argumentasjonen i teksten som skal skape tillit og eventuelt overbevise leseren om at resultatet av risikovurderingen gir mening.

Risiko defineres i tråd med SRA (2018) som konsekvenser av oppdrettsaktiviteten med tilhørende usikkerhet. Risikobegrepet introduserer dermed «konsekvenser» og «usikkerhet» - som to sentrale aspekter som henger sammen. Med «usikkerhet» menes her en kunnskapsbasert usikkerhet (epistemisk) som knyttes til det å ikke vite fremtidige konsekvenser. Risikovurderingene i denne rapporten måler og beskriver usikkerhet knyttet til mulige konsekvenser av oppdrettsnæringen ved hjelp av subjektive sannsynligheter og kunnskapsstyrke. Usikkerheten knyttes til hva som kan skje, hvor ofte, omfang og alvorlighetsgrad av konsekvensene, samt manglende kunnskap. Ved å inkludere en redegjørelse for kunnskapsstyrken i analysen, gis beslutningstakere mulighet til å ta stilling til hvorvidt kunnskapen på et område er tilstrekkelig som fundament for strategiske og operasjonelle veivalg. I motsatt fall vil det være naturlig å vurdere en føre-var strategi og diskutere tiltak som bidrar til å styrke kunnskapsgrunnlaget.

Effekten av å evaluere bakgrunnskunnskapen blir spesielt tydelig i forbindelse med analyser av potensialet for overraskelser (Aven 2014, Taleb 2007), som defineres som ekstremt alvorlige hendelser som inntreffer på tvers av vår kunnskap og forventning. I de tilfellen der potensialet for overraskelser er til stede er disse markert med et «sort svane» symbol i risikokartene.

Underlaget for arbeidet med denne samlerapporten inkluderer blant annet systematisering og strukturering av risikopåvirkende faktorer på et mer detaljert nivå. Disse detaljene finner du i «Risikorapport 2022» som også suppleres av et noe utvidet metodekapittel.

1.3.1 - Referanser

Andersen LB, Grefsrud ES, Svåsand T, Sandlund N. 2022. Risk understanding and risk acknowledgement: a new approach to environmental risk assessment in marine aquaculture. ICES Journal of Marine Science, 0: 1-10

Aven, T. 2014. Risk, Surprises and Black Swans: Fundamental Ideas and Concepts in Risk Assessment and risk management.Routledge, London. 276 s.

Taleb, NN. 2007. The Black Swan: The Impact of the Highly Improbable, Penguin Books, Limited. London 366 s.

2 - Introduksjon til produksjonsdødelighet og miljøeffekter i norsk fiskeoppdrett

2.1 - Dødelighet av oppdrettslaks og regnbueørret i sjø

Oppdrett av laksefisk er Norges suverent største husdyrhold og i norske oppdrettsanlegg svømmer det ved utgangen av 2022 omtrent 450 millioner laks og over 20 millioner regnbueørret. Det er imidlertid lite offentlig tilgjengelige data om hvordan det står til med denne fisken. Den eneste velferdsindikatoren som oppdretterne rapporterer regelmessig til Fiskeridirektoratet er antall fisk som dør i oppdrettsenhetene. Disse dataene rapporteres månedlig inn til Fiskeridirektoratet sin biomassedatabase, sammen med data som estimert snittvekt og estimert antall fisk i merdene. Databasen benyttes av Fiskeridirektoratet til å kontrollere at kravene til maksimalt tillat biomasse overholdes, og er egentlig ikke tenkt som et verktøy for å overvåke dyrevelferd. Dette gjør at den f.eks. ikke har et system for å følge spesifikke fiskegrupper gjennom en produksjon, eller system for å registrere årsak til dødelighet. Den har dermed begrenset nytte som verktøy til å overvåke fiskens velferd og helse. Samtidig gjør den store datamengden, at alle oppdrettsanlegg i Norge rapporterer inn, og at den inneholder data fra langt tilbake i tid, at dødelighetsdataene fra databasen er en god «temperaturmåler» for hvordan det står til med dyrevelferd i lakseoppdrett.

De innrapporterte tallene til Fiskeridirektoratet sin biomassedatabase for norske oppdrettsmerder viser at totalt 58 millioner oppdrettslaks døde eller var i så dårlig tilstand at de ble registrert som utkast i 2022. Dette er en liten oppgang fra 57 millioner i 2021. På landsbasis (produksjonsområde 1 til 13) har antallet laks satt ut per år økt de siste årene, fra ca. 335 millioner i 2018 til ca. 375 millioner i 2021, og nesten 390 millioner i 2022. Økningen i antall utsatte laks gjør også at en kunne forvente en økning i antall døde fisk i 2022 i forhold til i 2021. For å sammenligne utvikling i dødelighet og se om dyrevelferden viser tegn til endring, er det derfor mer relevant å sammenligne andelen fisk som dør enn det absolutte tallet, men hver fisk som dør er et individ med egenverdi etter dyrevelferdsloven, og det er dermed også viktig å oppgi det absolutte antallet.

Gjennom et år blir det fortløpende slaktet laks som har oppnådd ønsket vekt, og ny laks blir satt ut. En produksjon av laks, fra utsett til slakt, tar typisk fra 12-18 måneder. Til enhver tid vil det derfor være oppdrettsanlegg som har nyutsatt liten fisk, oppdrettsanlegg som har mellomstor fisk og oppdrettsanlegg som har stor laks som snart skal slaktes. Risikobildet for hva en laks dør av, sykdommer og fiskevelferd endres med størrelse. Det er derfor mer relevant å sammenligne overlevelse i hele perioden fra utsett til slakt, mellom ulike generasjoner av laks, for å få et riktig bilde av utvikling i produksjonsdødelighet.

For de siste generasjonene av laks har dødeligheten (rapportert døde + rapportert som utkast) på landsbasis ligget relativt stabilt rundt 15 % fra utsett til slakt. Utkast er fisk som er av så dårlig kvalitet at slakteriet ikke kan bruke dem. Vi antar at disse har opplevd svært dårlig velferd og inkluderer dem derfor i dødelighetstallene. Det overordnete mønsteret i dødelighet er det samme som tidligere. Dødeligheten er størst på Vestlandet (produksjonsområde 2-5) og minst i Nord-Trøndelag til Vesterålen (produksjonsområde 7-9) (Figur 2.1). En av forklaringene på dette er at fisken på Vestlandet har hatt mer lakselus- og sykdomsproblemer og tåler avlusing dårligere enn lenger nord, mens produksjonsområde 7–9 generelt har både en lavere dødelighet før avlusing og etter avlusing enn produksjonsområdene lenger sør. Dette tyder på en sunnere og mer robust fisk i disse områdene. Dødeligheten er relativt stabil fra generasjon til generasjon for de fleste produksjonsområdene, men med noen unntak. Det ene unntaket er produksjonsområde 2 som hadde uvanlig høy dødelighet for 2020-generasjonen, produksjonsområde 5 som kan se ut som å være i en trend med økende dødelighet og produksjonsområde 9 og 10 som hadde særlig høy dødelighet for 2018-generasjonen grunnet oppblomstring av giftige alger. I produksjonsområde 1 og 13 er det svært få anlegg, og enkelthendelser som f.eks. sykdomsutbrudd eller mislykkede avlusingsoperasjoner vil derfor ha stor innvirkning på disse produksjonsområdenes totaldødelighet fra generasjon til generasjon.

 

Dødelighet ørret
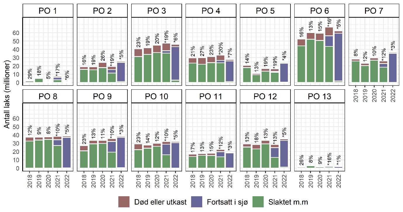
Figur 2.1. Totalt antall laks satt ut per år fra 2018 til 2022 i produksjonsområde 1 til 13 ifølge Fiskeridirektoratets biomassestatistikkdatabase. Rød er antall laks rapportert som død eller som utkast, grønn er antall laks rapportert som slaktet, rømt eller annet tap, blå er antall laks fortsatt i sjø per desember 2022. Prosenttallet angir hvor mange prosent av hver generasjon som er angitt som enten død eller utkast. En * foran prosenttallet for 2021 og 2022 angir at det fortsatt er fisk i sjø av denne generasjonen og at dette tallet dermed ikke er endelig. Utkast er fisk som er vurdert som uegnet for menneskemat eller var i svært dårlig forfatning ved slaktetidspunkt. Disse er inkludert siden vi vurderer også de som individer med dårlig velferd, og utgjør 0-3,3 prosentpoeng, med mest utkast på Vestlandet og i Finnmark. Dataene rapporteres månedlig fra oppdretterne via Altinn til databasen og benyttes av Fiskeridirektoratet til å kontrollere at kravene til maksimum tillat biomasse overholdes. Databasen kan inneholde unøyaktigheter.

 

Totalt ble 2,9 millioner regnbueørret i norske oppdrettsmerder registrert som død eller som utkast i 2022 til Fiskeridirektoratets sin biomassestatistikkdatabase. Dette er omtrent det samme som årene før. Årlig utsett av regnbueørret holder seg relativt stabilt rundt 20-24 millioner hvert år, og de aller fleste blir satt ut i produksjonsområde 3-5. Produksjonsområde 4 er det klart største regnbueørretområdet. Produksjonsdødeligheten per generasjon ligger her typisk mellom 10 og 15 % (Figur 2.2), som er betydelig lavere enn for laks produsert i disse produksjonsområdene.

Dødelighet er en grov velferdsindikator, men det er rimelig å anta at fisk som dør har opplevd dårlig velferd før de døde, og at høy dødelighet er et tegn på dårlig velferd. Lav dødelighet trenger imidlertid ikke bety at fisken har det bra. I «Risikorapport norsk fiskeoppdrett 2022» gjør vi en mer utvidet analyse. Her analyseres velferden ut fra 6 grunnbehov som oppdrettslaks må ha oppfylt for at de skal oppleve god velferd: (1) mulighet til å utøve naturlig atferd, (2) nødvendige fysiologiske og mentale forutsetninger for å tåle dagens oppdrettsmetoder, (3) ikke utsettes for skader og andre farer (stress), (4) beskyttelse mot sykdom og parasitter, (5) levemiljø (vannmiljø) som gir god velferd, og (6) godt fôr (god ernæring) og riktig fôring.

 

Dødelighet laks
Figur 2.2. Totalt antall regnbueørret satt ut per år fra 2018 til 2022 i produksjonsområde 1 til 13 ifølge Fiskeridirektoratets biomassedatabase. Rød er antall regnbueørret rapportert som død eller som utkast, grønn er antall regnbueørret rapportert som slaktet, rømt eller annet tap, blå er antall regnbueørret fortsatt i sjø per desember 2022. Prosenttallet angir hvor mange prosent av hver generasjon som er angitt som enten død eller utkast. En * foran prosenttallet angir at det fortsatt er fisk i sjø av denne generasjonen og at dette tallet dermed ikke er endelig. Utkast er fisk som er vurdert som uegnet for menneskemat eller var i svært dårlig forfatning ved slaktetidspunkt. Disse er inkludert siden vi vurderer også de som individer med dårlig velferd, og utgjør 0-2,3 prosentpoeng. Dataene rapporteres månedlig fra oppdretterne via Altinn til databasen og benyttes av Fiskeridirektoratet til å kontrollere at kravene til maksimum tillatt biomasse overholdes. Databasen kan inneholde unøyaktigheter. PS: Det ble satt ut en liten mengde regnbueørret i produksjonsområde 6 i 2022. Denne mengden er imidlertid så liten at den ikke vises i figuren.

 

Les hele risikovurderingen og kunnskapsgrunnlaget i «Dyrevelferd hos fisk i oppdrett» i Risikorapport norsk fiskeoppdrett 2022:

2.2 - Dødelighet hos utvandrende postsmolt laks og negative effekter på sjøørret og sjørøye som følge av utslipp av lakselus fra fiskeoppdrett

Lakselus er en naturlig forekommende parasitt som lever av og på laksefisk. I Norge er både oppdrettet laks og regnbueørret, samt vill laks, sjøørret og sjørøye, mulige verter for lakselus. Lakselus lever av slim, hud og blod og kan, om antall parasitter blir høyt nok, medføre dødelighet hos verten. Fysiologiske effekter av lakselus på laks, sjøørret og sjørøye har vært grundig studert, og inkluderer blant annet økte nivåer av stresshormonet kortisol, problemer med vann- og saltbalansen og nedsatt immunologisk kapasitet, spesielt når lusa utvikler seg fra fastsittende larver til bevegelige lus. I tillegg kan smitte av lakselus medføre redusert vekst, svømmeevne og reproduksjon hos den infiserte fisken.

Den store produksjonen av laks og regnbueørret i åpne merder langs den norske kysten gir lakselusa mange verter å utvikle seg på og dermed et godt fødegrunnlag, noe som fører til unaturlig høye populasjoner av parasitten i oppdrettsintensive områder. Selv om antall lakselus tillatt på oppdrettsfisk er strengt regulert, resulterer det store antallet oppdrettet laksefisk i at det likevel produseres store mengder lakseluslarver som spres ut i miljøet via vannstrømmene og kan infisere utvandrende postsmolt av laks, samt sjøørret og sjørøye som oppholder seg langs kysten. Med veksten i akvakulturnæringen har lakselus utviklet seg til å bli et betydelig problem for bestanden av vill laksefisk i Norge, og påvirkning av lakselus fra oppdrett har lenge vært regnet som en av de største miljøutfordringene knyttet til oppdrett av laksefisk.

For laks er det vist at påvirkningen av lakselus på bestandsnivå hovedsakelig er knyttet til dødelighet på utvandrende laksesmolt. Sjøørret og sjørøye, derimot, kan vandre tilbake til elven i perioder for å avluse seg. Selv om en slik adferd til en viss grad kan motvirke effekten av lakselus, medfører den også dårligere tilgang på mat og dermed redusert vekst, overlevelse og reproduksjon, noe som kan ha en indirekte effekt på bestandsnivå. Vi har per i dag ikke nok kunnskap til å vurdere om lakselussmitte på sjøørret og sjørøye vil føre til økt dødelighet eller prematur tilbakevandring, og disse direkte og indirekte effekter er derfor slått sammen og referert til som «negative effekter».

Sannsynlighet for at utvandrende postsmolt laks dør eller at sjøørret og sjørøye blir negativt påvirket som følge av lakselus, avhenger hovedsakelig av hvor mye lakselus den blir smittet med (smittepress) og postsmoltens toleranse for lakselus. Graden av smittepress avhenger av størrelsen på utslipp av lakseluslarver fra fiskeoppdrett, fordeling og tetthet av lakseluslarvene i området og overlappen i tilstedeværelse av fisk og lus i tid og rom. Kunnskapen om utslipp av lakselus er basert på ukentlige tellinger i alle aktive oppdrettsanlegg av voksne lakselus som er relativt enkle å telle. Beregningene av tetthet av lakselus er basert på godt utprøvde hydrodynamiske modeller som dekker hele landet, og hver uke publiseres tettheten av lakseluslarver langs hele kysten i Lakseluskartet (LENKE). I overvåkningen av lakselus benyttes en rekke observasjonsmetoder og modeller som videre brukes til å vurdere tilstanden i de ulike produksjonsområdene.

Utvandringstider for laks, sjøørret og sjørøye er relativt godt kartlagt, mens i mange områder har vi lite kunnskap om vandringsrutene til postsmolt laks. Valg av vandringsruter kan være avgjørende for om fisken svømmer inn i områder med høye tettheter av lakselus eller ikke. Generelt vil korte vandringsruter og ruter som ikke følger kysten redusere sannsynligheten for at postsmolten blir smittet av et høyt antall lakselus. Også oppdrettsfrie områder kan redusere påslaget for fisk som har lange vandringsruter. Sjøørreten og sjørøye blir gående i lengre perioder i kystnære strøk for å beite før de vandrer opp igjen i elvene på høsten og er dermed mer sårbar for smitte enn den utvandrende laksen.

Les hele risikovurderingen og kunnskapsgrunnlaget i «Lakselus – risikovurdering og kunnskapsstatus 2023».

2.3 - Endring i forekomst av infeksiøs lakseanemi og pankreassykdom hos villaks som følge av virussmitte fra fiskeoppdrett

Sykdommer forårsaket av virus regnes som et stort problem i oppdrett av fisk i Norge. De vanligst forekommende virusene forårsaker årlig 400 til 500 utbrudd av sykdom langs hele kysten. Sykdommene utgjør en høy kostnad for akvakulturnæringen, medfører redusert velferd for oppdrettsfisken og kan ha en negativ påvirkning på villaks gjennom smittespredning. Sammenlignet med lakselus er omfang og konsekvens av smittespredning fra oppdrett til villfisk mindre kjent for patogener som virus, bakterier og andre parasitter. Det er stort behov for en bedre og mer tilgjengelig oversikt over alle sykdommer i norsk oppdrett. Det er også et stort behov for mer kunnskap om de enkelte patogenene - hvor mye slippes ut fra oppdrett, hvor lenge overlever patogenene i miljøet, hvordan spres de med havstrømmene, hvor smittsomme er de under naturlige forhold og hva er konsekvensen av smitte for ulike mottakelige fiskearter? Det er også et tydelig behov for mer overvåking av villfisk og rømt oppdrettsfisk for å kunne vurdere risiko knyttet til endring i sykdom hos villfisk som følge av smitte fra oppdrett. Havforskningsinstituttets overvåking dekker kun et begrenset område, og det er bare for utvandrende postsmolt overvåkingen dekker større deler av kysten.

Oppdrett av laksefisk langs Norskekysten foregår hovedsakelig i åpne merder i sjø, og det er sannsynlig at det spres betydelige mengder virale patogener til miljøet fra smittet og syk oppdrettsfisk. Villfisk i nærheten av anlegget kan derfor bli eksponert og smittet. Konsekvensene av en eventuell smitte vil variere. Arter og bestander kan være mer eller mindre mottakelige for de ulike patogenene. Smittede individer kan forbli friske, eller de kan bli syke og svekket. Syk fisk kan ha redusert overlevelse i naturen som følge av økt predasjon, eller de kan dø av sykdommen. Ytre miljøfaktorer som for eksempel temperatur, fødetilgang og vertstetthet vil kunne påvirke både verten og agenset. Smittespredning og effekter av dette er derfor produktet av et komplekst samspill mellom verter, patogener, predatorer og andre miljøfaktorer.

To av de alvorligste virusene i norsk fiskeoppdrett er salmonid alphavirus (SAV) som forårsaker pankreassyke (PD) og infeksiøst lakseanemivirus (ILAV) som forårsaker Infeksiøs lakseanemi (ILA). I 2021 var det totalt 25 bekreftede ILA-tilfeller og 82 bekreftede tilfeller av PD. Foreløpige tall fra 2022 viser 19 tilfeller av ILA og 100 rapporterte tilfeller av PD, der 71 var bekreftet. SAV finnes bare i deler av Norge, og regnes i dag som endemisk fra Rogaland til Trøndelag, tilsvarende produksjonsområde 2 til 6, også kalt «PD-sonen». Produksjonsområde 7 er «buffersone» og her kan det forekomme SAV. Helt i sør, produksjonsområde 1, og i nord, produksjonsområdene 8-13, er det bare unntaksvis påvist SAV i oppdrett.

ILAV-situasjonen er mer komplisert enn for SAV da ILAV forekommer i to hovedvarianter – en som ikke fremkaller sykdom (ikke-virulent HPR0), og en som gir alvorlig sykdom (virulent HPRdel). Ikke-virulent ILAV forekommer hyppig og langs hele kysten. Denne ILAV-varianten antas å kunne endres til virulent ILAV via mekanismer man ikke kjenner til i dag. Dette gir en komplisert smitte- og sykdomsdynamikk som kan gi raske endringer i smittesituasjon og risikobildet. Vi vurderer her bare tilstand i forhold til tilfeller med virulent ILAV (ILAV-HPRdel) i oppdrett.

Vurderingen som ligger til grunn i denne rapporten tar utgangspunkt i utbrudd av PD og ILA, eventuelle funn av virus i overvåking av villfisk og rømt oppdrettsfisk og rømningssituasjonen i det enkelte produksjonsområdet og omliggende områder. I tidligere risikovurderinger har endring i forekomst av PD blitt vurdert for hele endemisk sone (produksjonsområde 2-6 Karmøy-Sør-Trøndelag), i årets rapport vurderes PD for hvert enkelt produksjonsområde, og produksjonsområdene 2 og 5 vurderes å ha lav risiko og ikke moderat slik vi har vurdert i «Risikorapport norsk fiskeoppdrett 2022». Foreløpige data for sykdom og rømming for 2022 er hentet fra Veterinærinstituttet og karttjenestene BarentsWatch og Yggdrasil (Fiskeridirektoratet). Data for 2022 er ennå ikke kvalitetssikret og det er noe variasjon mellom kildene. Dataene inkluderer både påviste og mistenkte tilfeller. Offisielle tall vil publiseres i Fiskehelserapporten og av Fiskeridirektoratet i løpet av 2023.

Les hele risikovurderingen og kunnskapsgrunnlaget i «Endring i forekomst av sykdom hos villaks som følge av virussmitte fra fiskeoppdrett» i “Risikorapport norsk fiskeoppdrett 2022”:

2.4 - Ytterligere genetisk endring hos villaks som følge av innkryssing av rømt oppdrettslaks

Rømming av oppdrettslaks fra oppdrettsanlegg utgjør en trussel mot den genetiske integriteten til de ville laksebestandene. Undersøkelser viser at det er en sammenheng mellom andel rømt oppdrettslaks i et vassdrag og genetisk endring målt som inn­krys­sing med ge­ne­tis­ke mar­kø­rer. Det be­tyr at jo fle­re røm­te opp­dretts­laks det er på gy­te­plas­sen, des­to høy­ere er sann­syn­lig­he­ten for ge­ne­tisk end­ring. I til­legg til an­del rømt opp­dretts­laks på gy­te­plas­sen, kan villaks­be­stan­de­nes ro­bust­het på­vir­ke ni­vå­et av inn­krys­sing. Det­te for­di tall­ri­ke villaks­be­stan­der uten tid­li­ge­re ge­ne­tisk inn­krys­sing an­ta­ke­lig er mer ro­bus­te over­for rømt opp­dretts­laks, si­den den røm­te opp­dretts­lak­sen der mø­ter stør­re kon­kur­ran­se fra bedre til­pas­se­te, ville in­di­vi­der. Dis­se fak­to­re­ne dan­ner grunn­laget for ri­si­ko­vur­de­rin­gen for yt­ter­li­ge­re ge­ne­tisk end­ring hos vill­aks som føl­ge av innkryssing av rømt opp­dretts­laks.

Det er i hovedsak tre faktorer som bestemmer sannsynlighet for hvor mye rømt oppdrettslaks det er på gyteplassene i hvert enkelt produksjonsområde: rømming, andel rømt oppdrettslaks i elv og utfisking/fjerning av rømt oppdrettslaks fra elv. Av disse tre faktorene er det andel rømt oppdrettslaks i elv som vektes tyngst. Dette rapporteres årlig i gjennomsnittlig 200 elver gjennom det nasjonale overvåkningsprogrammet for rømt oppdrettslaks i vassdrag. An­de­len rømt opp­dretts­laks i el­ve­ne har end­ret seg mel­lom år, og det har vært en syn­ken­de ten­dens i re­gist­re­rin­ge­ne gjen­nom de siste åre­ne. Offisielle rømmingstall hentes direkte fra Fiskeridirektoratet, og er heftet med usikkerhet, mens effekten av utfisking vurderes basert på data fra OURO (oppdrettsnæringens sammenslutning for utfisking av rømt oppdrettslaks) og Overvåkningsprogrammet. I elver med høyt innslag av rømt oppdrettslaks skal det gjennomføres utfisking, men dette gjøres som oftest med ett års forsinkelse og kan føre til at vassdrag med mye rømt oppdrettslaks ikke dekkes av OURO.

Hvor robuste bestandene er for innkryssing av rømt oppdrettslaks, påvirkes av genetisk status hos de ville bestandene og villaksens bestandsstatus. Dersom bestandene når sine gytebestandsmål, har de mange nok ville gytelaks på gyteplassene til å kunne utnytte elvens produksjonspotensial. Konkurransen på gyteplassen blir enda sterkere dersom villaksbestanden er høyere enn gytebestandsmålet. Oppnåelse av gytebestandsmål og nivå av høstbart overskudd kartlegges årlig av Vitenskapelig råd for lakseforvaltning (VRL). Innkryssing av rømt oppdrettslaks har allerede ført til omfattende genetisk endring hos mange villaksbestander, noe som kan svekke bestandene og gjøre dem mer sårbar mot ny innkryssing. Beskrivelse av genetisk status publiseres i rapportserien «Genetisk påvirkning av rømt oppdrettslaks på ville laksebestander» og utgjør delnorm genetisk integritet til «Kvalitetsnorm for ville bestander av laks (Salmo salar)».

Denne risikovurderingen bygger i hovedsak på data fra 2017-2021. Genetisk status er basert på data publisert i «Genetisk påvirkning av rømt oppdrettslaks på ville bestander – oppdatert status 2020».

Les hele risikovurderingen og kunnskapsgrunnlaget i «Rømt oppdrettslaks – risikovurdering og kunnskapsstatus 2023».

2.5 - Miljøeffekter som følge av utslipp av løste næringssalter fra fiskeoppdrett

Løste næringssalter slippes ut i kystvann fra befolkning (kloakk), industri, jordbruk og akvakultur. Ekstra næringssalter til norske kystområder kan komme som langtransporterte tilførsler, hovedsakelig med kyststrømmen med opprinnelse i Østersjøen og Tyskebukta. Fra svenskegrensa til Jæren er det hovedsakelig andre kilder enn akvakultur som bidrar til utslippene til kystvann, mens fra Rogaland til Finnmark er akvakultur den største kilden. Produksjonen av laksefisk i 2021 vil gi estimerte utslipp på 62 160 tonn løst nitrogen og 8225 tonn løst fosfor (TEOTIL). Til sammenligning slippes det årlig ut om lag 48 000 tonn nitrogen og 2600 tonn fosfor til vann fra jordbruk, avløp og landbasert industri.

Det er godt dokumentert at økt konsentrasjon av løste næringssalter (løst nitrogen og fosfor) kan gi uønskede miljøeffekter i marine miljøer. Tilførsel av ekstra nitrogen kan endre økosystemer som er tilpasset lave nitrogenverdier. Fosfor slippes ut i form av fosfat, og er ikke en begrensende faktor i våre farvann. Ekstra tilførsler av fosfor gir derfor vanligvis ingen effekt i våre økosystemer.

Utslippsmengden av løste næringssalter vil være proporsjonal med fiskeproduksjonen, og vi har her brukt beregninger med TEOTIL-modellen som estimerer et utslipp på 38,4 kg løst nitrogen og 5,1 kg løst fosfor per tonn laks produsert. Utslippene er beregnet på grunnlag av data fra Fiskeridirektoratets biomassestatistikk (uttak til slakt, for 2021 fordelt på produksjonsområder. Sjøarealene i de ulike produksjonsområdene vil variere, derfor er utslippsmengden vurdert per sjøareal innenfor grunnlinjen. Dette er gjort fordi samme utslippsmengde vil kunne ha større effekt i et lite sjøareal enn den vil ha i et stort.

Betydelige utslipp av uorganisk nitrogen, som det normalt blir for lite av i sommerhalvåret, kan føre til økt planteplanktonproduksjon, økt nedbrytning av algebiomasse i dypet og oksygenmangel i bunnvannet. Denne tilstanden kaller vi eutrofi. Effekten av næringssaltutslippene på planteplanktonproduksjonen vil avhenge av sjøareal, oppholdstid og grad av innblanding av andre vannmasser (vannsirkulasjon). Vi har her gjort enkle beregninger av responsen i planteplanktonproduksjonen, basert på antagelsen om at 100 % av det løste nitrogenet som slippes ut fra matfiskanlegg omsettes til planktonproduksjon og en midlere naturlig planteplanktonproduksjon i norske kyst- og fjordområder på ca. 135 gram C/m2 /år. Beregningene er utført på det totale sjøarealet i hvert produksjonsområde og tar ikke hensyn til lokale forskjeller som områder med mindre vannutskifting og områder med spesielt høy fiskeproduksjon, som kan gi betydelig høyere prosentvis økning enn verdiene for hele produksjonsområdet.

Datakildene i denne rapporten er basert på miljødata etter veiledere i Vannforskriften der slike data finnes, samt beregninger av effekten av utslipp av løste næringssalter. Det mangler kunnskap for å kunne gjøre slike beregninger nøyaktig, og en bedre vurdering kan gjøres ved at man utvikler bedre modeller for spredning og effekt av næringssaltutslipp på en større skala. For fremtidige vurderinger av miljøkvalitet i kystvann vil det være en stor fordel å etablere flere overvåkningsstasjoner i områder med høy oppdrettsintensitet der dette mangler. Produksjonsområde 3 Karmøy til Sotra er det området i landet som har høyest utslipp av løste næringssalter per sjøareal, men har gode miljødata slik at tilstanden kan vurderes som god med god kunnskapsstyrke. Vår vurdering av de andre produksjonsområdene støtter seg også på kunnskap fra dette produksjonsområdet.

Les hele risikovurderingen og kunnskapsgrunnlaget i «Miljøeffekter som følge av utslipp av løste næringssalter fra fiskeoppdrett» i “Risikorapport norsk fiskeoppdrett 2022”:

2.6 - Miljøeffekter som følge av partikulære organiske utslipp fra fiskeoppdrett

Oppdrettsfisk i Norge produseres i all hovedsak i åpne merdanlegg og det slippes ut organiske partikler direkte til miljøet i form av fekalier fra fisken og fôr som ikke spises. Lokal påvirkning av organiske utslipp under og nært oppdrettsanlegg er derfor uunngåelig med dagens teknologi. En måte å redusere den lokale påvirkningen på er å hindre at det organiske materialet bunnfeller rundt anleggene. En annen måte å gjøre det på er å samle opp det organiske materialet innen det forsvinner ut av merdene. Det er utviklet ulike systemer som samler inn organisk avfall fra oppdrettsanlegg, men disse systemene er foreløpig ikke tatt i bruk i større skala.

Partikler fra et fiskeoppdrettsanlegg bunnfeller vanligvis innfor en kilometer fra anlegget, og de fleste innenfor en avstand av 500 meter. Påvirkningen er avhengig av hvordan strømforholdene er på lokaliteten og egenskapen til partiklene som slippes ut. Utslipp av organiske forbindelser beregnes etter et massebalansebudsjett basert på moderne fôrsammensetning. I tillegg kommer fôrspill i form av fôrstøv og hele pellets som vil variere mye fra anlegg til anlegg styrt av røktingsregimet, fôrets egenskaper og fiskens størrelse og kondisjon. Det totale fôrforbruket i 2021 ble beregnet til 2 009 186 tonn (tall fra Fiskeridirektoratet). Basert på massebalansebudsjett der estimert utslipp av fekalier er beregnet til 29,2 % og estimert fôrspill til 5-11 % av fôrmengden, beregnes de totale utslippene til å være mellom 667 142 og 807 693 tonn organisk materiale fra norske matfiskanlegg. Med totalt 873 lokaliteter som rapporterte inn fisk i løpet av 2021, gir det et gjennomsnittlig utslipp på 764-925 tonn organisk materiale per lokalitet.

Årlig gjennomføres en rekke overvåkingsundersøkelser, B- og C-undersøkelser, som skal sikre at den enkelte lokaliteten ikke overbelastes over tid. For å bestemme miljøpåvirkning på bløtbunn, undersøkes sedimentets kjemi og hvilke dyr som er til stede og det er satt grenseverdier for akseptabel påvirkning gjennom Norsk Standard NS9410. Påvirkningen deles inn i tilstandsklasser fra «meget god» eller «svært god» til «meget dårlig» eller «svært dårlig» tilstand. På bløtbunnslokaliteter overvåkes tilstanden i sedimentet med en frekvens i forhold til hvor god tilstanden var ved forrige undersøkelse. Tiltak settes i verk hvis tilstanden går mot uakseptable forhold. Ved uendret produksjon på en lokalitet vil man etter noen produksjonssykluser kunne justere produksjonen til lokalitetens bærekapasitet, for å redusere sannsynligheten for overbelastning ved videre produksjon.

B-undersøkelsene utføres minst en gang per produksjonssyklus hvis miljøtilstanden er «meget god» og oftere hvis tilstanden er «god» eller dårligere. Er miljøforholdene meget gode er det derfor ikke gjort B-undersøkelse ved alle anlegg i løpet av et år. C-undersøkelsen utføres ikke hvert år, og antall utførte undersøkelser kan derfor variere fra år til år. Undersøkelsesfrekvensen er avhengig av påvirkningen, jo dårligere forholdene blir, desto oftere gjøres en C-undersøkelse. Hvis miljøtilstanden er «svært god» eller «god» vil det bli gjort en C-undersøkelsen hver tredje produksjonssyklus. B- og C-undersøkelsene er utviklet for bløtbunn. En del anlegg ligger over enten blandet bunn eller hardbunn og det utvikles nye overvåkingsundersøkelser for å fult ut kunne overvåke slike lokaliteter.

Mengden av organiske utslipp fra fiskeoppdrett er høy, men hvor mye dette påvirker bunnsystemene, vil variere med de lokale forholdene. Produksjonen av oppdrettsfisk varierer betydelig både innen og mellom produksjonsområder, og påvirkningen av partikulære organiske utslipp varierer fra lokalitet til lokalitet. Lokalitetens bæreevne er en kombinasjon av de naturgitte forhold som strøm, topografi, bunntype og faunasamfunn og den mengde fisk som oppdrettes, det vil si forholdet mellom lokalitetens sensitivitet og produksjonspresset. God strøm i alle dyp er imidlertid ønskelig og lave synkehastigheter på utslippet, som vil kunne sikre god spredning av partiklene og føre til at der er begrenset sedimentering under oppdrettsanleggene. Fjordlokaliteter er mer utsatt for lokal påvirkning enn kystlokaliteter, selv om anleggene på kysten ofte er mye større. Større dyp er også ønskelig, men er ikke nok for å redusere påvirkningen, hvis der ikke samtidig er god strøm. Habitater som korallrev, korallskog, løstliggende kalkalger og svampområder kan påvirkes negativt av utslipp av organiske partikler fra matfiskanlegg fordi de enten tåler mindre påvirkning eller bruker svært lang tid på å reetablere seg. Det er fortsatt manglende kunnskap om hvor mye organisk belastning fra fiskeoppdrett disse habitatene tåler.

Les hele risikovurderingen og kunnskapsgrunnlaget i «Miljøeffekter som følge av organiske utslipp fra fiskeoppdrett» i «Risikorapport norsk fiskeoppdrett 2022»:

2.7 - Miljøeffekter som følge av utslipp av kobber fra fiskeoppdrett

Det finnes en rekke fremmedstoffer som kommer ut i miljøet fra fiskeoppdrettsanlegg. Fiskefôr kan inneholde forskjellige miljøgifter som kommer fra fôringrediensene og disse kan tilføres miljøet både gjennom fôrspill og gjennom fiskens avføring (fekalier). Omtrent 70 % av fôringrediensene er i dag plantebasert og 30 % er basert på marine råstoff. Råstoffene brukt til fôrproduksjon inneholder blant annet halogenerte organiske forbindelser som PCB, dioksiner, furaner, klorerte pesticider, bromerte flammehemmere og tungmetallforbindelser som kobber, sink, kvikksølv, arsen og kadmium. Andre stoffer tilsettes fôret i små mengder og er nødvendige for at fisken kan ha god tilvekst. Dette inkluderer også kobber og sink som derfor også kommer inn under kategorien mineraler når de blir tilsatt fôret. I de siste års risikovurderinger er kun kobber inkludert, men risikovurdering av sink og andre miljøgifter planlegges inkludert.

Kobber er et naturlig forekommende tungmetall både i jordskorpen, marine sediment og i sjøvann. Stoffet er en viktig faktor for enkelte enzymreaksjoner i organismer, men er giftig dersom konsentrasjonen av kobberforbindelser blir for høy. Kobber kan være giftig for ulike organismer i ulike utviklingsstadier. Det kan føre til redusert artsmangfold hvis konsentrasjonen i et gitt leveområde blir høyere enn artenes tålegrense, men kobber blir ikke biomagnifisert, dvs. at en får ikke økte nivå oppover i en næringskjede. Mengdene av kobber fra fôrspill og fekalier fra fiskeoppdrett er imidlertid langt mindre enn det som kommer fra kobber som impregneringsmiddel. For å unngå begroing, impregneres nøtene med antibegroingsmiddel som for eksempel kobber, i konsentrasjoner som er giftig for organismene. Over tid lekker det kobber ut i vannet og spres med vannstrømmen, og en del faller av og synker ned under eller i nærsonen til anlegget avhengig av partikkelstørrelse, sedimentasjonshastighet og strømmønster. Dette betyr at sjøbunnen under og rundt fiskeoppdrettsanlegg kan inneholde høye konsentrasjoner, da kobberet kan akkumulere over tid. Det største bidraget av kobber fra fiskeoppdrett er kobber(I)oksid (Cu2O) brukt som groehemmende middel på nøter i oppdrettsnæringen. I 2021, som er siste året vi har data på forbruk, ble det registrert 1097 tonn kobber til bruk som groehemmende middel i akvakultur. Dette er en nedgang på 35 % fra toppåret 2019 og forbruket i 2021 var omtrent tilsvarende forbruket i 2014. Samtidig økte forbruket av erstatningsstoffene tralopyril og sinkpyrithion med respektive 34 % og 10 % fra 2020. Økningen i forbruk av disse to stoffene, gjør at det bør vurderes om også disse stoffene skal inkluderes i fremtidige risikovurderinger.

Dersom kobberimpregnerte nøter blir spylt eller høytrykkspylt, fører dette til ekstra slitasje og økte utslipp av kobberpartikler til miljøet rundt anlegget. I EU blir det antatt at 80 % av kobber som brukes til antibegroingsmiddel blir sluppet ut i miljøet. For 2021 vil dette utgjøre 877 tonn. Bidraget til miljøet fra bruk av kobber som antibegroingsmiddel i forhold til bidrag fra fiskefôr er i størrelsesorden 30-60 ganger høyere. Utlekkingsforsøk gjort av næringen som del av dokumentasjon for godkjenning, har vist at ca. 28 % av kobberinnholdet kan forsvinne etter endt levetid i sjøen dersom noten ikke blir spylt. Dersom noten blir spylt kan 20 % av opprinnelig kobbermengde i tillegg forsvinne ved førstegangs spyling. Resultat fra sedimentfeller viser at en vesentlig andel av kobberimpregnering tapt ved spyling kan synke ned på sjøbunnen i anleggssonen, men vi mangler data på hvor stor andel kobber som faller ut som partikler og hvor mye som blør ut som kobberioner til vannsøylen.

Modellsimuleringer der vi har antatt at 28 % av kobberet lekker ut til vannsøylen, viser at passivt utlekket kobber kan gi et vesentlig bidrag til den totale kobberkonsentrasjonen i et fjordsystem, i størrelsesorden 0,2-0,4 μg/l. I trange fjorder med dårlig vannutveksling kan bidraget periodevis være opp til 1 μg/l. Spyling eller høytrykksspyling av kobberimpregnerte nøter vil kunne gi pulser med høyere konsentrasjoner. Miljøkvalitetsmål for kobber i kystvann er 2,6 μg/l. Vi har målt konsentrasjoner i fjorder i Vestland fra < 0,5 til 1,9 μg/l i 2021. Overvåking av kobbernivå i sediment fra fjernsonen (> 1 km fra nærmeste oppdrettslokalitet) i flere fjorder i Vestland viser en signifikant økning i nivå på 4 av 13 stasjoner i perioden 2018-2022.

Mer informasjon om hvilke antibegroingsmidler som er i bruk på den enkelte lokaliteten, og praksis i forhold til spyling på de enkelte anlegg, vil være avgjørende for å øke kunnskapsstyrken om utslippsmengde i de enkelte produksjonsområdene. Dersom slik informasjon blir registrert på lik linje med forskrivinger av lakselusbehandling, ville det vært svært nyttig for framtidig risikovurdering.

Les hele risikovurderingen og kunnskapsgrunnlaget i «Miljøeffekter som følge av utslipp kobber fra fiskeoppdrett» i Risikorapport norsk fiskeoppdrett 2022:

2.8 - Miljøeffekter ved bruk av villfanget leppefisk i fiskeoppdrett

Leppefisk og rognkjeks brukes som rensefisk for å bekjempe lakselus hos laksefisk i oppdrett og er regnet som et miljøvennlig alternativ til bruk av legemidler. Rensefisk påfører også oppdrettsfisken mindre stress enn avlusningsmetoder som krever håndtering. Bruk av rensefisk som avlusningsmetode i norsk havbruk økte jevnt fram til 2019, da totalt utsett av rensefisk passerte 60 millioner individer til en samlet verdi på over 1,3 milliarder NOK. Siden har bruken av antall rensefisk gått ned og i 2021 var tallet ca 45,6 millioner. Av disse utgjorde villfanget leppefisk ca 16,1 millioner. Siden fisket etter leppefisk ble kvoteregulert fra 2018, har uttaket av leppefisk vært stabilt.

Fisket etter leppefisk er et blandingsfiske hvor fangstene består av ulike arter salgbar leppefisk, samt en bifangst av undermåls leppefisk og andre arter. De mest brukte artene er grønngylt og bergnebb som sammen utgjør rundt 90 %. Berggylt er likevel den mest ettertraktete arten, men utgjør kun mellom 8-12 % av fangstene. Fisket etter leppefisk er regulert ved redskapsbegrensning, seleksjonsinnretninger i redskap som brukes, minste- og maksmål, båtkvoter og fangstperiode og håndtering av bifangst. I de fleste områder foregår fisket etter leppefisk relativt lokalt, men den transporteres også til dels over større geografiske avstander. Denne har reist nye problemstillinger rundt risiko for smittespredning og utilsiktede genetiske endringer i bestandene.

Helsestatus og sykdomshistorikken til villfanget leppefisk er ukjent, og den kan dermed være bærer av smittsomme agens som bakterier, virus eller parasitter. Det finnes ingen helhetlig oversikt over geografiske forskjeller på utbredelsen av sykdommer og parasitter hos vill leppefisk. I oppdrett står sykdom og sykdomsutbrudd for en betydelig andel av tapet av rensefisk og utgjør dermed et mulighet for smittespredning. Flere av de smittsomme agensene kan forårsake sykdom hos ulike arter av fisk, noe som understreker potensialet for smittespredning både mellom samme art og ulike arter i oppdrett samt til annen villfisk. Eksempler på slike kan være bakterier som Aeromonas salmonicida (forårsaker furunkulose) og Pasteurella spp. (forårsaker pasteurellose) og parasitter som Paramoeba perurans (forårsaker amøbe gjellesykdom, AGD). I tillegg til smitte mellom fisk, kan også selve transporten føre til smittespredning gjennom transportvannet og den farkosten som benyttes. Renhold og desinfisering spiller her en viktig rolle. Undermåls leppefisk og bifangstarter (som grasgylt, rødnebb, torskefisk, ulker og kutlinger) må slippes ut, men kan ofte ligge en periode i oppebevaringskaret før de sorteres og slippes ut. Det er dokumentert at dette kan skje i ulik avstand fra fangstsstedet, noe som derfor kan øke sannsynlighet for overføring av smitte mellom nærliggende, men demografisk isolerte bestander.

Flytting av leppefisk over større geografiske områder kan føre til genetiske endringer i den lokale bestanden. Denne problemstillingen har hittil vært lite undersøkt, men genetiske studier har vist at det har skjedd rømning og genetisk påvirkning fra Skagerrakbestanden hos grønngylt i Trøndelag. Det er gjort tilsvarende studier for bergnebb og berggylt, uten at man har kunnet konkludere med at det har skjedd en genetisk hybridisering mellom sørlige og nordlige bestander, men det finnes indikasjoner på hybridisering også av bergnebb.

Les hele risikovurderingen og kunnskapsgrunnlaget i «Miljøeffekter ved bruk av villfanget leppefisk i fiskeoppdrett» i «Risikorapport norsk fiskeoppdrett 2022»:

3 - Produksjonsområde 1, Svenskegrensen til Jæren

3.1 - Beskrivelse av produksjonsområdet

I produksjonsområde 1 var det i 2021 og 2022 henholdsvis 10 og 9 oppdrettslokaliteter som i løpet av året rapporterte inn laks. Produksjonsområdet hadde i 2021 en gjennomsnittlig månedlig stående biomasse på 6125 tonn laks med et uttak til slakt på 22 217 tonn laks. Produksjonstall for 2022 er på 12 740 tonn gjennomsnittlig månedlig stående biomasse med et uttak til slakt i samme periode på 14 076 tonn (Fiskeridirektoratets biomassestatistikk, 25.1.2023). Det var ingen produksjon av regnbueørret i området. Totalt areal av produksjonsområdet er 28 796 km2, sjøareal er 4419 km2 og sjøareal innenfor grunnlinjen er på 3521 km2.

 

Produksjon PO1
Figur 3.1. Godkjente akvakulturlokaliteter for laks, ørret og regnbueørret og produksjonsintensitet (gjennomsnittlig biomasse per måned i tonn per km2) i vannforekomstene i produksjonsområde 1 Svenskegrensen til Jæren i perioden 2020-2021. Kilde Fiskeridirektoratet.

 

I de øvre vannmassene i produksjonsområdet ligger middeltemperaturen på rundt 16-17 oC om sommeren og 3-4 oC om vinteren. Vinteren 2021 var kald, mai og juni var mer normale, mens juli og august måned var varme. Vinteren 2022 var noe varm, mens vår og sommer hadde relativt normale temperaturer. I 2021 var ferskvannsavrenningen til området stort sett innenfor normale verdier, mens brakkvannsstyrken var noe svakere enn normalt i mai og juni 2021. I 2022 var ferskvannsavrenningen til området relativt lav, mens brakkvannsstyrken var normal i mai og juni 2022.

Produksjonsområde 1 har påvirkning fra mange ulike kilder av menneskelig aktivitet øst for Lindesnes og store deler av kystvannforekomstene er lite egnet for akvakultur. Det meste av produksjonen av laksefisk finner derfor sted vest for Lindesnes, i Hidrasundet og Stolsfjorden ved Flekkefjord, mens noen mindre anlegg ligger mellom Lindesnes og Lista og ved Hellesund. Produksjonsintensiteten i vannforekomstene Hidrasundet og Stolsfjorden var svært høy (gjennomsnittlig biomasse per måned, tonn/km2) med henholdsvis 986 tonn/km2 og 348 tonn/km2 (Figur 3.1), men disse vannforekomstene er små og har meget god vannutskiftning i overflatelaget. Modellert utskiftning av bunnvann viser at Grønfjorden kan ha sjelden utskifting, men dette er ikke bekreftet av observasjoner. Det er noe oppdrettsaktivitet i dette området, men produksjonsintensiteten i vannforekomsten er svært lav med 22 tonn/km2.

Det er totalt 40 laksevassdrag i produksjonsområdet, og gytebestandsmålet ble nådd for de fleste vassdragene i perioden 2017-2021, samtidig som det høstbare overskuddet har økt noe. Vassdragene med full vurdering utgjør 85 % av det samlede gytebestandsmålet i produksjonsområdet. Vurdering av bestandsstatus er basert på årlige vurderinger gjort av Vitenskapelig råd for lakseforvaltning (VRL), aggregert per produksjonsområder for «Rømt oppdrettslaks – risikovurdering og kunnskapsstatus 2023». 

I Havforskningsinstituttet sin rapport «Krafttak for kysttorsken» vurderes det at de største miljøpåvirkningene i ytre Oslofjord er tilførsler av organisk materiale, næringssalter og jordpartikler. Fra 1990 og utover har antall flomepisoder økt grunnet endringer i klima, med påfølgende økt transport av partikler og næringssalter ut i vannmassene. Algevekst og jordpartikler gir svekket lystilgang til naturen under vann, eutrofiering av undervannsvegetasjon og tilslamming av havbunnen. I tillegg til de naturlige kildene bidrar også menneskeskapte kilder som jordbruk, kommunal kloakk og noe industri til denne påvirkningen. Kildene er i stor grad lokale, men også langtransport helt fra Østersjøen påvirker området. Fylkene rundt Oslofjorden har landets største landbruksarealer (gjennomsnittlig 17 %, mot de øvrige fylkers gjennomsnitt på 3,4 %). I tillegg medfører Sør-Norges topografi at vann fra store deler av Østlandet drenerer ut i Oslofjorden. En rekke andre inngrep som utbygging av havner, utfylling, mudring, sprengning, moringer med mer, bidrar også til påvirkning, særlig i gruntvannsområder.

3.2 - Oppsummering av risiko knyttet til dyrevelferd og miljøeffekter av fiskeoppdrett for produksjonsområde 1

PO1 oppsummering
Figur 3.2. Oppsummering av risiko knyttet til dyrevelferd og miljøeffekter av fiskeoppdrett for produksjonsområde 1.

Produksjon av oppdrettsfisk i produksjonsområde 1 er lav og det vurderes at miljøpåvirkningen fra dagens fiskeoppdrett er begrenset i området. Ser vi på velferden for oppdrettsfisken er bilde et annet. Med unntak av den lave dødeligheten for 2020-generasjonen, har rapportert produksjonsdødelighet (inkl. utkast) typisk variert rundt 20 % mot 15 % for landsgjennomsnittet. Det vurderes derfor å være høy risiko knyttet til dødelighet for oppdrettslaksen, og risikoreduserende tiltak bør vurderes for sikre velferden til oppdrettsfisken i produksjonsområdet. Risiko knyttet til alle miljøeffektene av fiskeoppdrett vurdert her karakteriseres som lav. Kunnskapsstyrken vurderes imidlertid som svak både knyttet til dødelighet hos oppdrettslaks i sjø og for endring i forekomst av ILA og PD hos villfisk. Svak kunnskapsstyrke kan gi opphav til såkalte overraskende hendelser med kritisk store konsekvenser, her markert som en sort svane (Figur 3.2).

Det er behov for mer kunnskap om blant annet forekomst av virussmitte hos villfisk, som har en iboende mulighet for store konsekvenser (markert med en svart svane i Figur 3.2). Det er også behov for mer kunnskap gjennom overvåking av vannkvaliteten i de oppdrettsintensive områdene av produksjonsområde 1.

Selv om påvirkningen fra dagens fiskeoppdrett vurderes som liten i produksjonsområde 1, er det mange andre menneskeskapte påvirkninger som gjør at belastningen på det marine miljøet i området er stor. En eventuell økning av akvakulturproduksjon i området bør sees i lys av andre miljøpåvirkninger for å unngå at den samlede belastningen i området blir for stor i forhold til bærekraften i området. Det anbefales at ved eventuell økning av oppdrettsvolumet i området bør oppdrett av andre arter enn de som brukes i dagens matfiskproduksjon vurderes. Eksempelvis utvikle oppdrettsarter som tar opp næringssalter (algeoppdrett) eller er filterfødere (for eksempel skjell og sekkedyr).

3.3 - Dødelighet hos oppdrettslaks i sjø

Produksjonsområde 1 er stort i areal, men har få oppdrettsanlegg i forhold til andre produksjonsområder og det ble bare satt ut ca. 0,7 millioner laks i 2020 og kun 0,6 millioner i 2022, mens 2021-generasjonen var relativt stor med over 7 millioner utsatt laks (estimat fra Fiskeridirektoratets biomassedatabase). Ved utgangen av 2022 var all fisken fra 2020-generasjonen ferdig produsert. Rapportert dødelighet (inkl. utkast) ble kun 5 % for 2020-generasjonene, som var svært lavt i forhold til landsgjennomsnittet på 15 % for denne generasjonen. For 2018- og 2019-generasjonene var dødeligheten henholdsvis hele 29 % og 18 %. Vi kan dermed konkludere med at 2020-generasjonen var et svært godt utsett for produksjonsområde 1, men samtidig var det et lite utsett med få lokaliteter, og det gode resultatet kan dermed skyldes tilfeldigheter. For 2021-generasjonen er fortsatt nesten 40 % i sjøen ved årsskiftet 2022/23, og for 2022-generasjonen har det så langt ikke blitt slaktet ut noe fisk. Akkumulert dødelighet for 2021- og 2022-generasjonene per utgangen av 2022 er allerede henholdsvis 17 % og 6 %. Totalt sett synes det derfor ikke å ha vært noen vesentlig endring i dødelighetsrisikoen hos oppdrettslaks i produksjonsområde 1 i 2022 i forhold til tidligere år, og at sannsynligheten en oppdrettslaks i produksjonsområde 1 har for å få så dårlig velferd at den dør eller blir regnet som utkast i produksjonsområde 1 i 2023, er høy (over landsgjennomsnittet).

Det må tas forbehold om at Fiskeridirektoratets biomassedatabase egentlig ikke er laget for å overvåke dødelighet, og kan inneholde unøyaktigheter som kan gi utslag i avvikende enkeltverdier. Dette kan gi særlig utslag i produksjonsområde 1 siden det her er så få anlegg å basere statistikken på. Kunnskapsstyrken bak denne vurderingen vurderes derfor som svak. Risikoen knyttet til dødelighet hos oppdrettslaks i sjø vurderes som høy i produksjonsområde 1.

3.4 - Dødelighet hos utvandrende postsmolt laks og negative effekter på sjøørret og sjørøye som følge av utslipp av lakselus fra fiskeoppdrett

Utslipp av lakselus fra oppdrettsanlegg i produksjonsområde 1 vurderes som lave og konsentrert til ett område utenfor Flekkefjord. Det var en økning i utslippene 2012-2019, men noe lavere i 2020-2022. Det er noen fjorder i produksjonsområdet hvor ferskvannslaget i de øvre meterne indikerer at lakselus vil trekke ned, men lengden på fjordene gjør at det vil ha liten beskyttende effekt for utvandrende postsmolt laks, og det er normalt få områder hvor sjøørreten vil være beskyttet.

I produksjonsområde 1 antas det at utvandringstiden for laks hovedsakelig foregår i tidsrommet 24. april – 3. juni, mens dato for median utvandring (dato når halvparten av smolten har vandret ut) som snitt for alle elvene i området er satt til 15. mai. Det antas at villaksen har relativt korte utvandringsruter fra elv til åpent hav. Modellresultatene viser ingen områder med forhøyet tetthet av lakselus under utvandring av postsmolt laks. Smitten av lakselus er lav og under antatte toleransegrenser, og estimert lakselusrelatert dødelighet overstiger aldri 10 % for produksjonsområdet i perioden 2019–2022.

Sjøørret antas å vandre ut om våren omtrent på samme tid som laks og at den bruker området over en lengre periode. For beitende sjøørret indikerer modellresultatene at det ikke i noen tilfeller er mer enn 10 % redusert marint leveområde ved normal utvandringsdato (15. mai) i samme periode. Smittepresset fra lakselus vurderes å være lavt i hele beiteperioden som er antatt å være 70 dager fra utvandring. Økt antall lus på villfisken i Flekkefjordområdet 2018-2019 og 2022 skyldes trolig lokal oppdrettsaktivitet, men andelen av produksjonsområdet dette utgjør, er liten. Det vurderes derfor å være lav sannsynlighet for dødelighet hos utgående postsmolt laks som følge av lakselussmitte fra oppdrett.

På tross av at miljøforholdene i produksjonsområde 1 gir liten beskyttelse mot lusesmitte av både utvandrende postsmolt laks og sjøørret, er utslippene i området lave og konsentrert til ett område. Tettheten av lakselus er lav og fører i liten grad til at leveområde for den beitende sjøørreten blir redusert. Det vurderes derfor å være lav sannsynlighet for negative effekter på beitende sjøørret som følge av lakselussmitte fra oppdrett.

Kunnskapen om utslipp av lakselus er basert på omfattende tellinger i oppdrettsanleggene over flere år av voksne lakselus som er enkle å telle. Antall fisk i oppdrettsanleggene vurderes også som relativ sikre data. Beregningene av tetthet av lakselus er basert på godt utprøvde hydrodynamiske modeller som dekker hele landet. Det er også god kunnskap om utvandring fra enkelte elver, og totalt sett vurderes kunnskapsstyrken derfor som god. Samlet sett for produksjonsområde 1 vurderes risikoen som lav knyttet til dødelighet hos utgående postsmolt laks, og negative effekter på beitende sjøørret, som følge av lakselussmitte fra oppdrett.

3.5 - Endring i forekomst av infeksiøs lakseanemi og pankreassykdom hos villaks som følge av virussmitte fra fiskeoppdrett

Det var ingen rapporterte utbrudd av infeksiøs lakseanemi (ILA) eller pankreassykdom (PD) i produksjonsområde 1 hverken i 2021 eller 2022. Havforskningsinstituttets overvåkingsprogram for virus i villaks og rømt oppdrettslaks har ingen stasjoner i produksjonsområde 1 og derfor ingen registrerte smittetilfeller hos villfisk. Det er kun rapportert inn et fåtall rømt oppdrettslaks for området i 2021 og 2022. Det er også rapportert få rømt oppdrettslaks i tilstøtende produksjonsområde 2, noe som tilsier lav sannsynlighet for at rømt oppdrettslaks med ILAV eller SAV utgjør en smittefare.

Med få sykdomsutbrudd av ILA eller PD i området og lite rapportert rømt oppdrettslaks samt at produksjonen er lav og foregår i et avgrenset område, vurderes det å være lav sannsynlighet for endring i forekomst av sykdom hos villaks som følge av smitte fra oppdrett i produksjonsområde 1. Det er lite kunnskap om hvor mye ILAV og SAV som slippes ut fra anleggene og om hvor mye smittet oppdrettslaks det faktisk er i elvene. Kunnskapen om hvor smittsomme de to virusene er i naturen, om virusets robusthet, minste infeksiøse dose og graden av spredning og fortynning av viruset i området, vurderes også som dårlig. Det er ingen overvåkingsdata fra området og derfor lite eller ingen kunnskap om konsekvensen av ILAV og SAV smitte av villaks i naturen. Det finnes en del erfaringskunnskap og data om konsekvenser fra oppdrett og fra laboratorieforsøk med oppdrettsfisk og noe på villaks, men ingen fra villaks i naturen. Kunnskapsstyrken knyttet til vurderingen av forekomst av sykdom hos villaks som følge av virussmitte fra fiskeoppdrett vurderes derfor totalt sett å være svak. Svak kunnskapsstyrke kan gi opphav til såkalte overraskende hendelser med kritisk store konsekvenser. Risiko knyttet til endring i forekomst av sykdom hos villaks som følge av smitte fra oppdrett i produksjonsområde 1 vurderes likevel som lav både for ILA og PD basert på få rapporterte utbrudd og lite rømming både i området og i tilstøtende område.

Foreløpige data for sykdom og rømming for 2022 er hentet fra Veterinærinstituttet og karttjenestene BarentsWatch og Yggdrasil (Fiskeridirektoratet). Data er ennå ikke kvalitetssikret og det forekommer variasjon mellom kildene.

3.6 - Ytterligere genetisk endring hos villaks som følge av innkryssing av rømt oppdrettslaks

Det ble rapportert om 102 rømte oppdrettslaks i produksjonsområde 1 i perioden 2017–2021, der 101 er registrert rømt i 2020 (ved publisering av forrige risikorapport, april 2022, var det kun meldt om én rømt oppdrettslaks i 2020, men tallet ble oppjustert i etterkant). I 2021 ble det ikke meldt om rømming av oppdrettslaks i området og foreløpige rømmingstall for 2022 er lave. Frem til 2020 var det funnet lite rømt oppdrettslaks i elvene i området, men i 2020 ble det registrert høy andel i to vassdrag. Utfisking ble gjennomført i fire elver, inkludert de to med høy andel, og totalt 54 oppdrettslaks ble fjernet. I 2021 var det ingen vassdrag med høyt eller moderat andel rømt oppdrettslaks. Til sammen er 62 rømte oppdrettslaks fjernet og verifisert fra vassdragene i området i perioden 2017-2021 (én ble fjernet i 2021).

Innslag PO1
Figur 3.3. Lokalisering av elver hvor andel rømt oppdrettslaks i 2021 ble vurdert av Overvåkningsprogrammet for rømt oppdrettslaks i vassdrag og lokaliteter som rapporterte om rømming av oppdrettslaks til Fiskeridirektoratet i 2021 og 2022 (foreløpig statistikk 1.1.2023).

 

Det er observert stor genetisk endring som følge av innkryssing av oppdrettslaks i én bestand i produksjonsområdet (Kvina), og moderat genetisk endring er vist i den største bestanden i produksjonsområdet. Av de 24 bestandene som er undersøkt (utgjør 97 % av produksjonsområdets totale gytebestandsmål) er det i to tredjedeler ikke observert noen genetisk endring. Gytebestandsmålet blir nådd for de fleste vassdragene i produksjonsområdet i perioden og det høstbare overskuddet er også godt i de fleste vassdragene.

På tross av at andel rømt oppdrettslaks i elv økte i 2020, så var andelen rømt oppdrettslaks i elv igjen lav i 2021. Med historisk sett lave rømmingstall og lav andel rømt oppdrettslaks i elvene, vurderes sannsynligheten for rømt oppdrettslaks på gyteplassene i området som lav og bestandenes robusthet mot ny innkryssing vurderes som god. Totalt sett vurderes sannsynligheten for en ytterligere genetisk endring som følge av innkryssing fra oppdrettslaks i produksjonsområdet som lav. Selv om det er svært begrenset oppdrettsproduksjon i området, mangler det kunnskap knyttet til påvirkning fra rømming i andre produksjonsområder. Også rømmingstallene generelt sett knyttes det usikkerhet til, da det ifølge Fiskeridirektoratets rømmingsstatistikk er vanskelig å fastsette endelige rømmingstall fordi det jevnlig meldes om forekomster av rømt oppdrettslaks som ikke kan knyttes til en spesifikk rømmingsepisode og fordi tallene fra innrapporterte hendelser i tillegg ofte kun er et estimat. Siden mindre enn halvparten av laksevassdragene i området er dekket av overvåkningsprogrammet (gjennomsnittlig 18 av 40 i perioden 2017-2021), er det også manglende kunnskap knyttet til om det forekommer rømt oppdrettslaks i disse vassdragene. I sum vurderes likevel risikoen knyttet til ytterligere genetiske endringer som følge av innkryssing fra oppdrettslaks som lav i produksjonsområde 1, siden det har vært observert lite rømt oppdrettslaks i elvene og rømmingstallene har vært lave i hele perioden 2017-2021.

3.7 - Miljøeffekter som følge av utslipp av løste næringssalter fra fiskeoppdrett

Det var lave årlige utslipp av løste næringssalter fra matfiskproduksjon med et snitt på 853 tonn løst nitrogen og 113 tonn fosfor i 2021. Dette ga et estimert utslipp på 242 kg løst nitrogen og 32 kg løst fosfor per km² årlig. Beregnet økning av planteplanktonproduksjonen som skyldes utslipp fra fiskeoppdrett var på 2,5 % i hele produksjonsområdet. Med lave utslipp av både nitrogen og fosfor samt lav estimert økning i planteplanktonproduksjon som følge av utslipp fra fiskeoppdrett, vurderes det å være lav sannsynlighet for miljøeffekter som følge av utslipp av løste næringssalter fra fiskeoppdrett i produksjonsområde 1.

Det finnes ingen overvåkningsdata for næringssalter i områdene der fiskeoppdrett foregår, men basert på relativt sikre produksjonstall, godt utprøvde hydrodynamiske modeller som beregner vannutskiftning i området med oppdrett og kunnskap om hvor høye konsentrasjoner av næringssalter som må til for å få negative miljøeffekter, vurderes kunnskapsstyrken totalt sett som moderat. I sum vurderes risiko knyttet til miljøeffekter som følge av utslipp av løste næringssalter fra fiskeoppdrett som lav i produksjonsområde 1.

Produksjonsområde 1 har andre utfordringer med utslipp av løste næringssalter fra en rekke landbaserte kilder som kloakk, industri og jordbruk, men disse tas ikke hensyn til i denne vurderingen som kun omfatter utslipp av løste næringssalter fra fiskeoppdrett.

3.8 - Miljøeffekter som følge av partikulære organiske utslipp fra fiskeoppdrett

Forbruket av fôr i produksjonsområde 1 var på 12 924 tonn i 2021. Basert på massebalansebudsjett der estimert utslipp av fekalier er beregnet til 29,2 % og estimert fôrspill til 5-11 % av fôrmengden, utgjør dette et utslipp av 3773 tonn fekalier og 646-1422 tonn spillfôr i produksjonsområdet, fordelt på 10 matfiskanlegg, som gir et snitt på 377 tonn fekalier og 65-142 tonn spillfôr per matfiskanlegg. I 2022 er fôrforbruket estimert til 30 023 tonn i området.

Det ble gjennomført henholdsvis fire og åtte B-undersøkelser i produksjonsområde 1 i 2021 og 2022, alle i tilstandsklasse «meget god» og «god». I perioden 2017-2021 ble det gjennomført 10 C-undersøkelser som alle viste at lokalitetene i produksjonsområdet var i tilstandsklasse «svært god» og «god». I 2022 ble det ikke gjennomført C-undersøkelser i området.

Basert på at alle miljøundersøkelsene i området ble vurdert som «meget/svært gode» og «gode», vurderes sannsynligheten for miljøeffekter som følge av partikulære organiske utslipp fra fiskeoppdrett på bløtbunn som lav i produksjonsområde 1. Beregningene av omtrentlig utslippsmengde basert på fôrforbruket vurderes som god. Resultatene fra B- og C-undersøkelsene vurderes som gode for lokalitetene som ligger over bløtbunn og kunnskapsstyrken vurderes totalt sett som god. I sum vurderes risikoen knyttet til miljøeffekter på bløtbunn som følge av partikulære organiske utslipp fra fiskeoppdrett som lav for produksjonsområde 1.

Foreløpige tall for B- og C-undersøkelsene for 2022 er hentet fra Fiskeridirektoratet.

3.9 - Miljøeffekter som følge av utslipp av kobber fra fiskeoppdrett.

Estimert utslipp av kobber brukt som antibegroingsmiddel basert på oppdrettsandel (1 %) og areal (3520 km2) var på 2 kg kobber per km² i 2021, og vurderes som lavt. Utslipp fra fisken på grunn av kobber i fôret utgjør 0,07 kg per km2. Det ble gjennomført totalt 5 C-undersøkelser i produksjonsområde 1 i perioden 2017 til 2021. Dette er et lite antall og fører til at vurderingene for dette produksjonsområdet er mer usikre. Miljøundersøkelsene viser at 20 % av anleggene har forhøyede kobberverdier både i anleggssonen og overgangssonen. De forhøyede verdiene er sannsynligvis forårsaket av at lokalitetene har blitt brukt over flere år og ligger i fjorder eller mindre eksponerte områder, slik at det tar lang tid før kobbernivåene reduseres som følge av bioerosjon og spredning med vannmassene.

Modellsimuleringer der vi har antatt at 28 % av kobber fra impregnert not lekker ut til vannsøylen uten spyling, viser at passivt utlekket kobber kan gi et vesentlig bidrag til den totale kobberkonsentrasjonen i et fjordsystem, i størrelsesorden 0,2-0,4 μg/l. I trange fjorder med dårlig vannutveksling kan bidraget periodevis være opptil 1 μg/l. Spyling eller høytrykksspyling av kobberimpregnerte nøter vil kunne gi pulser med høyere konsentrasjoner. Det er få oppdrettslokaliteter i området og de ligger i områder med meget god vannutskifting i overflatelaget, og totalt sett vurderes det å være lav sannsynlighet for negative effekter på miljøet som følge av bruk av kobber i fiskeoppdrett i produksjonsområde 1.

Det mangler overvåkingsdata på kobberverdier i vannsøylen og det er derfor heller ikke mulig å vurdere hvordan løst kobber påvirker marine organismer som lever i vannmassene. Det er også manglende kunnskap om hvor mye av kobberet i sedimentet som er tilgengelig for organismer som lever i og på havbunnen nær anleggene og hva toleransegrensen for kobber er i disse organismene. I sum vektes likevel de lave utslippene mer enn de forhøyede kobbernivåene i et svært avgrenset område. Risiko knyttet til miljøeffekter som følge av utslipp av kobber fra fiskeoppdrett vurderes som lav i produksjonsområde 1.

3.10 - Miljøeffekter ved bruk av villfanget leppefisk i fiskeoppdrett

Data og informasjon om fangst og utsett av villfanget leppefisk samsvarer ikke med produksjonsområdene, da dette er oppgitt for henholdsvis tre ulike fiskerisoner og på fylkesnivå. Produksjonsområde 1 omfatter fangstområde «Sørlandet» og den sørlige delen av fangstområde «Vestlandet» (fra Lista og nordover til Bryne). Det er lite oppdrett i produksjonsområde 1, og bruken av villfanget leppefisk som rensefisk er derfor lav. Hovedsakelig benyttes lokalt fanget leppefisk i vestre deler av Agder. For fiskerisone «Sørlandet» som omfatter deler av produksjonsområde 1, er kvoten satt til 4 millioner leppefisk. I 2021 ble i underkant av 2 millioner leppefisk fangstet i område «Sørlandet». Fisket fordelte seg på de tre artene bergnebb (1,5 millioner), grønngylt (290 000) og berggylt (160 000). Data som viser geografisk område for fiske av de ulike leppefiskartene i produksjonsområde 1 er ikke tilgjengelig. Etter innføring av en rekke seleksjonsinnretninger i fangstredskapene, antas bifangst av undermåls leppefisk og andre arter å være redusert og det vurderes å være lite eller ubetydelig endring i bestandene av bifangstarter som følge av fiske etter leppefisk.

Basert på at høsting av leppefisk var innenfor kvoten samt at den lave bruken av villfanget leppefisk i stor grad er fisket lokalt, noe som reduserer sannsynligheten for både smitteoverføring og genetisk påvirkning, vurderes det å være lav sannsynlighet for miljøeffekter ved bruk av villfanget leppefisk i produksjonsområde 1. Vi har god kunnskap om at det kun er transport ut av området og dermed heller ingen utslipp av transportvann og at eventuell bruk av leppefisk er fra lokale bestander. Datagrunnlaget for bestandsutviklingen for leppefiskartene i de ulike regionene er fortsatt noe begrenset (korte tidsserier). Gjennom referansefiskerne har man et godt datagrunnlag på omfanget og artsfordeling av bifangst, men det er ikke full oversikt over om alle fiskere følger regelverket for gjenutsetting av bifangst. Kunnskapsstyrken vurderes derfor totalt sett som moderat for området. I sum vurderes risikoen knyttet til miljøeffekter ved bruk av villfanget leppefisk som lav for produksjonsområde 1.

4 - Produksjonsområde 2, Ryfylke

4.1 - Beskrivelse av produksjonsområdet

I produksjonsområde 2 var det i 2021 og 2022 henholdsvis 40 og 42 oppdrettslokaliteter som i løpet av året rapporterte inn laks. Produksjonsområde 2 hadde i 2021 en gjennomsnittlig månedlig stående biomasse på 49 975 tonn laks med en produksjon på 78 320 tonn laks (uttak til slakt). Produksjonstall for 2022 er på 43 694 tonn gjennomsnittlig månedlig stående biomasse i 2022 med et uttak i til slakt i samme periode på 85 648 tonn (Fiskeridirektoratets biomassestatistikk, 25.1.2023). Det var ingen produksjon av regnbueørret i området. Totalt areal for produksjonsområdet er på 14 669 km2, sjøareal er 2511 km2 og sjøareal innenfor grunnlinjen er på 1846 km2

 

Produksjonsintensitet PO2
Figur 4.1. Godkjente akvakulturlokaliteter for laks, ørret og regnbueørret og produksjonsintensitet (gjennomsnittlig biomasse per måned i tonn per km2) i vannforekomstene i produksjonsområde 2 Ryfylke i perioden 2020-2021. Kilde Fiskeridirektoratet.

Middeltemperaturen i de øvre vannmassene i produksjonsområdet ligger normalt på 15-16 ℃ om sommeren og 4-5 ℃ om vinteren. Vinteren 2021 var kald, mars til juni var mer normale, mens juli var varm. Vinteren 2022 var noe varm, mens vår og sommer hadde relativt normale temperaturer. I 2021 var ferskvannsavrenningen til området relativ lav, mens brakkvannsstyrken antyder mer normale verdier for mai og juni. I 2022 var ferskvannsavrenningen til området normal, mens brakkvannsstyrken, spesielt i juni 2022, var sterkere enn normalt. Ettersom ferskvannavrenningen var normal, så kan dette enten henge sammen med mindre omrøring, dvs. mindre vind, og/eller at kyststrømmen har påvirket fjordvannet med noe mer lavsaltholdig vann enn vanlig slik at en større del av produksjonsområdet har hatt overflatesaltholdighet under 20. 

Det meste av lakseoppdrettet i produksjonsområde 2 foregår i fjorder og middels eksponerte områder, men de fleste matfiskanlegg ligger likevel i områder med god spredningsstrøm i overflatelaget. Høyest produksjonsintensitet (gjennomsnittlig biomasse per måned, tonn/km2) i perioden 2020-2021 var i vannforekomsten Garsundet med 167 tonn/km2. I vannforekomstene Finnøyfjorden, Hjelmelandsfjorden og Vindafjorden var produksjonsintensiteten så vidt over 100 tonn/km2. I Erfjorden viser både modell og observasjoner at det er sjelden utskifting av bunnvann. Det samme gjelder området Sandsfjorden og de tilhørende fjordene Saudafjorden og Hylsfjorden. Produksjonsintensiteten i Erfjorden og Hylsfjorden ligger under 100 tonn/km2, mens det ikke er noe oppdrettsaktivitet i Saudafjorden eller Sandsfjorden. 

Det er totalt 22 laksevassdrag i produksjonsområdet, gytebestandsmålet ble nådd for de fleste vassdragene i perioden 2017-2021, og det høstbare overskuddet var høyt for de fleste vassdragene. Vassdragene med full vurdering utgjør 94 % av det samlede gytebestandsmålet i produksjonsområdet. Vurdering av bestandsstatus er basert på årlige vurderinger gjort av Vitenskapelig råd for lakseforvaltning (VRL), aggregert per produksjonsområder for «Rømt oppdrettslaks – risikovurdering og kunnskapsstatus 2023».

4.2 - Oppsummering av risiko knyttet til dyrevelferd og miljøeffekter av fiskeoppdrett for produksjonsområde 2

 

PO2 oppsummering
Figur 4.2. Oppsummering av risiko knyttet til dyrevelferd og miljøeffekter av fiskeoppdrett for produksjonsområde 2.

I produksjonsområde 2 varierte rapportert produksjonsdødelighet (inkl. utkast) for oppdrettslaksen fra 16-26 % for 2018-2020 generasjonene. Dette er høyt sammenlignet med landsgjennomsnittet (15 % for 2020-generasjonen) og tallmaterialet viser ingen tydelige tegn til bedring for 2021 generasjonen. Forankret i høye dødelighetstall vurderes risikoen knyttet til dyrevelferd og dødelighet hos oppdrettslaks i produksjonsområde 2 som høy.

Utslippene av lakselus i dette området var høye i perioden 2019-2022, mens smittepresset var moderat. Observasjoner gir grunnlag for en estimert moderat dødelighet (10-20 %) av postsmolt laks grunnet lakselussmitte fra oppdrett. Risikoen knyttet til dødelighet av postsmolt laks grunnet lakselus i produksjonsområde 2 vurderes som moderat. For sjøørret vurderes smittepresset som høyere, da fisken oppholder seg i sjøen over en lengre periode utover sommeren der det er estimert en reduksjon i marint leveområde på > 30 %. Det vurderes å være høy risiko knyttet til negative effekter på sjøørreten grunnet lakselussmitte fra oppdrett i produksjonsområde 2.

Det var få utbrudd av infeksiøs lakseanemi (ILA) i 2021-2022, få rapporterte rømte oppdrettslaks og ingen påvisning av ILAV i 2021 og et i 2022 i villfisk. Det var et moderat antall tilfeller av pankreassykdom (PD) både i 2021 og 2022, lite rømt oppdrettslaks, ingen registrert sykdom hos den rømte oppdrettslaksen og ingen funn av SAV i utvandrende postsmolt laks. Risiko for endring i forekomst av ILA og PD hos villaks som følge av virussmitte fra fiskeoppdrett, vurderes å være lav. Kunnskapsstyrken vurderes imidlertid som svak og kan gi opphav til overraskende hendelser med kritisk store konsekvenser, her markert som en sort svane (Figur 4.2).

For Produksjonsområde 2 er det i perioden 2017-2021 registrert lave rømmingstall og lav andel rømt oppdrettslaks i elvene. Gytebestandsmålet blir nådd og det høstbare overskuddet er høyt for de fleste vassdragene i produksjonsområdet. Til tross for at det alt er registrert et moderat nivå av genetiske endringer grunnet tidligere innkryssing, vurderes bestandene robusthet mot ny innkryssing som god. Det mangler kunnskap knyttet til omfanget av rømming og påvirkning fra rømming i andre produksjonsområder, men det er god dekning både i overvåkingsprogrammet og for vurdering av genetisk status i området. Risikoen vurderes som lav knyttet til ytterligere genetiske endringer som følge av innkryssing fra oppdrettslaks i området.

Produksjonen av laksefisk er høy i området, noe som medfører høye utslipp både av spillfôr, fekalier og næringssalter. Overvåkingsdata indikerer imidlertid at miljøtilstanden er god og risiko knyttet til miljøeffekter som følge av utslipp av næringssalter og partikulært organisk materiale vurderes som lav. Hvordan bruken av kobberimpregnering fordeler seg i området er ukjent, men basert på miljøundersøkelsene har vi til en viss grad oversikt over lokalitetene med forhøyede kobberverdier. For produksjonsområde 2 vurderes risikoen som moderat knyttet til miljøeffekter av kobberutslipp fra fiskeoppdrett.

Risikoen knyttet til bruk av villfanget leppefisk i fiskeoppdrett vurderes som moderat for produksjonsområde 2. Det er i praksis liten eller ingen behandling av verken transportmiddel eller transportvannet før det tømmes ut i mottaksområdet. Resultatet er redusert biosikkerhet med spredning av sykdom som mulig konsekvens. Innførsel av kjente og ukjente sykdommer med transport av levende fisk samt flytting av levende fisk over større geografiske områder, vurderes som en mulig overraskelse som kan ha svært negativ innvirkning på norsk oppdretts- og villfisk, her markert som en sort svane (Figur 3.2).

Det vurderes å være høy eller moderat risiko knyttet til flere av miljøpåvirkningene fra fiskeoppdrett samt dødelighet for oppdrettslaks i sjø, og risikoreduserende tiltak bør vurderes for disse for å sikre et bærekraftig havbruk i produksjonsområdet.

4.3 - Dødelighet hos oppdrettslaks i sjø

I produksjonsområde 2 ble det satt ut ca. 24 millioner laks i 2020, ca. 19 millioner i 2021 og over 25 millioner i 2022 (data fra Fiskeridirektoratets biomassedatabase). Ved utgangen av 2022 var all fisken fra 2020-generasjonen ferdig produsert. Rapportert dødelighet (inkl. utkast) fra utsett til slakt ble hele 26 %. Til sammenligning ble landsgjennomsnittet for 2020-generasjonen 15 %, og for 2018- og 2019-generasjonene i produksjonsområde 2 henholdsvis 16 % og 19 %. Bak de høye dødelighetstallene for 2020-generasjonen ligger en enkelt hendelse der nesten all laksen døde like etter utsett, samt at også flere anlegg har rapportert inn høy dødelighet sensommer-høst 2021. Dette var en periode med mye avlusinger og PD-smitte. Dette er normalt for dette området, men det blir spekulert i om denne generasjonen hadde utfordringer med gjellehelse. Vi har imidlertid ikke gode data på dette.

For 2021-generasjonen er dødeligheten allerede oppe i 19 % til tross for at over 20 % av laksen fortsatt var i sjøen ved årsskiftet 2022/23. Det ser dermed ut til at også 2021-generasjonen vil få relativt høy dødelighet. 2020-generasjonen hadde en påvisning av ILA, men denne kom mot slutten av produksjonene og laksen kunne derfor bli sendt til slakt istedenfor å bli destruert. Det er så langt ingen påvisning av ILA for 2021-generasjonen, men allerede to påvisninger for 2022-generasjonen. Det er påvist PD i ca. 60 % av anleggene for 2021-generasjonen, noe som er en økning i forhold til ca. 40 % for de to foregående generasjonene, og motsatt av utviklingen i produksjonsområde 3-5. Totalt sett vurderes derfor sannsynligheten en oppdrettslaks i produksjonsområde 2 har til å få så dårlig velferd at den dør eller blir regnet som utkast i 2023, som høy (vesentlig over landsgjennomsnittet). Siden dødeligheten har vært høyere enn landsgjennomsnittet for alle generasjoner siden 2018, og det ikke er tegn til endring i dette, vurderes kunnskapsstyrken som ligger til grunn for denne vurderingen som god. Risikoen knyttet til dødelighet hos oppdrettslaks i sjø vurderes som høy i produksjonsområde 2.

4.4 - Dødelighet hos utvandrende postsmolt laks og negative effekter på sjøørret og sjørøye som følge av utslipp av lakselus fra fiskeoppdrett

I produksjonsområde 2 antas det at utvandringstiden for laks hovedsakelig foregår i tidsrommet 23. april – 2. juni, mens dato for median utvandring (dato når halvparten av smolten har vandret ut) som snitt for alle elvene i området, er satt til 13. mai. Utvandringsrutene i området varierer fra korte til middels lange for laks.

Utslipp av lakselus fra oppdrettsanlegg i produksjonsområde 2 vurderes som moderate i perioden 2019-2022, og utslippene av lakselus summert var høyere i 2016-2022 enn 2012-2015. Lakselustettheten var høyest i de nordøstlige områdene av Boknafjorden i 2019 og 2021, og høy i de midtre og sørlige delene av Boknafjorden i 2020 og 2022. Det er lav tetthet av lus i de ytterste delene av Boknafjorden, og sør for Stavanger alle årene. Modellene antyder at det stort sett er de indre delene av fjordene som har så lav saltholdighet at lusen vil unnvike dette, og at smittepresset derfor er lavere for laksefisk som oppholder seg i de øverste meterne. Utbredelsen av området med lav saltholdighet øker noe fra mai til juni, men det er relativ liten endring i utbredelsen av områder med lav saltholdighet i hele perioden mai til august.

Den geografiske fordelingen av utslippene ser ut til å resultere i at andelen av elvene som påvirkes i området varierer mellom år. Det ser ut til at i partallsår påvirkes hovedsakelig laks fra elvene i nord, mens i oddetallsår påvirkes også laks fra elvene i sør. Det er stor variasjon i estimert smittepress og dødelighet på utvandrende postsmolt laks i området. men totalt sett vurderes sannsynligheten for dødelighet på postsmolt laks å være moderat i produksjonsområde 2.

Kunnskapen om utslipp av lakselus er basert på omfattende tellinger i oppdrettsanleggene over flere år av voksne lakselus som er enkle å telle. Antall fisk i oppdrettsanleggene vurderes også som relativ sikre data. Beregningene av tetthet av lakselus er basert på godt utprøvde hydrodynamiske modeller som dekker hele landet. Det er også god kunnskap om vandringsruter og utvandringstider fra enkelte elver. Derimot er det i enkelte år dårlig samsvar mellom modellresultater og observasjoner fra felt, noe som indikerer at det er manglende kunnskap om dynamikken knyttet til overlappet mellom fisk og lus i tid og rom. Kunnskapsstyrken vurderes totalt sett som moderat for området. Risiko knyttet til dødelighet hos utgående postsmolt laks som følge av lakselussmitte fra oppdrett i produksjonsområde 2 vurderes som moderat.

I produksjonsområde 2 antas det at sjøørreten vandrer ut om våren omtrent på samme tid som laks, men oppholder seg i sjøen over en mye lengre periode utover sommeren. For beitende sjøørret indikerer modellresultatene at det i de fleste årene fra 2019 er mer enn 30 % redusert marint leveområde både ved tidlig, normal og sein utvandring. De indre delene av fjordene samt kyststrekningen på Jæren er minst påvirket. Det vurderes derfor å være høy sannsynlighet for negative effekter på beitende sjøørret som følge av lakselussmitte fra oppdrett i produksjonsområde 2. Kunnskapen om utslipp og tetthet av lakselus er basert på det samme datagrunnlaget som for utvandrende postsmolt laks, men det mangler kunnskap om sjøørretens tålegrenser og atferdsrespons for lakselus, og totalt sett vurderes kunnskapsstyrken som moderat. Risiko knyttet til negative effekter på sjøørret som følge av lakselussmitte fra oppdrett vurderes som høy i produksjonsområde 2.

4.5 - Endring i forekomst av infeksiøs lakseanemi og pankreassykdom hos villaks som følge av virussmitte fra fiskeoppdrett

Det var ingen nye påvisninger av infeksiøs lakseanemi (ILA) i produksjonsområde 2 i 2021, mens det i 2022 er to påvist og en mistanke om ILA. Det ble rapportert 15 tilfeller (11 bekreftet) av pankreassykdom (PD) forårsaket av SAV i området i 2021 og 19 tilfeller (14 bekreftet) i 2022. Havforskningsinstituttets overvåkingsprogram for virus i villaks og rømt oppdrettslaks fant ingen forekomster av ILAV eller SAV hos utvandrende postsmolt villaks i Boknafjorden i 2021. Det ble påvist en (av 100 undersøkte) postsmolt med ILAV (ukjent HPR) i 2022. Forekomst av ILAV og SAV hos villaks (ung/tilbakevandrende) i elv og rømt oppdrettslaks ble ikke undersøkt i produksjonsområde 2.

 

ILA PO2
Figur 4.3. Påviste og mistenkte funn av infeksiøs lakseanemi (ILA) i 2021 og 2022 i produksjonsområde 2. (Kilde Fiskeridirektoratet og BarentsWatch, januar 2023). Antall påviste og mistenkte tilfeller i 2022 avviker mellom kildene, og påvist tilfelle nord for Umbo ikke er synlig i Fiskeridirektoratets karttjeneste Yggdrasil.
PD PO2
Figur 4.4. Påviste og mistenkte funn av pankreassykdom PD i 2021 og 2022 i produksjonsområde 2. (Kilde Fiskeridirektoratet og BarentsWatch, januar 2023).

 

Med unntak av to rømmingsepisoder i 2022 er det rapportert få rømte oppdrettslaks for området i 2021 og 2022, og få i de tilstøtende produksjonsområdene 1 og 3. Det er ikke registrert sykdom på fisken fra rømmingsepisodene. Det vurderes å være lav sannsynlighet for at rømt oppdrettslaks med ILAV eller SAV utgjør en smittefare.

Med få utbrudd av ILA i 2021-22, få rapportert rømt oppdrettslaks og ingen påvisning av ILAV i 2021 og ett i 2022 i villfisk, vurderes sannsynligheten for endring i forekomst av ILA hos vill laksefisk som følge av smitte fra oppdrett som lav i produksjonsområde 2. Det var et moderat antall tilfeller av PD både i 2021 og 2022, lite rømt oppdrettslaks, ingen registrert sykdom hos den rømte oppdrettslaksen og ingen funn av SAV i utvandrende postsmolt laks. Sannsynligheten for endring i forekomst av SAV hos vill laksefisk som følge av smitte fra oppdrett vurderes derfor totalt sett som lav i produksjonsområde 2.

Det er lite kunnskap om hvor mye ILAV og SAV som slippes ut fra anleggene og om hvor mye smittet oppdrettslaks det faktisk er i elvene. Kunnskapen om hvor smittsomme de to virusene er i naturen, om virusets robusthet, minste infeksiøse dose og graden av spredning og fortynning av viruset i området, vurderes også som svak. Det er noe overvåkingsdata fra området som gir moderat kunnskap om forekomst av ILAV og SAV-smitte av villaks i naturen. Det finnes en del erfaringskunnskap og data om konsekvenser fra oppdrett og fra laboratorieforsøk med oppdrettsfisk og noe på villaks, men ingen fra villaks i naturen. Kunnskapsstyrken knyttet til vurderingen av forekomst av sykdom hos villaks som følge av virussmitte fra fiskeoppdrett vurderes derfor totalt sett å være svak. Svak kunnskapsstyrke kan gi opphav til såkalte overraskende hendelser med kritisk store konsekvenser. Risiko knyttet til endring i forekomst av sykdom hos villaks som følge av smitte fra oppdrett i produksjonsområde 2 vurderes likevel som lav både for ILA og PD basert på få rapporterte utbrudd, ingen funn i villfisk og lite rømming både i området og i tilstøtende områder.

Foreløpige data for sykdom og rømming for 2022 er hentet fra Veterinærinstituttet og karttjenestene BarentsWatch og Yggdrasil (Fiskeridirektoratet). Disse data er ennå ikke kvalitetssikret og det er variasjon mellom kildene.

4.6 - Ytterligere genetisk endring hos villaks som følge av innkryssing av rømt oppdrettslaks

Det ble rapportert om totalt 90 rømte oppdrettslaks i produksjonsområde 2 i perioden 2017–2021. Foreløpige tall fra Fiskeridirektoratet for 2022 viser at det var rapportert to mindre rømmingshendelser. Ingen vassdrag i området hadde høy andel rømt oppdrettslaks i perioden 2017-2021 (gjennomsnittlig 16 av 22 vassdrag var overvåket årlig). I 2021 var det ingen vassdrag med høyt og ett vassdrag med moderat andel rømt oppdrettslaks.

 

Andel PO2
Figur 4.5. Lokalisering av elver hvor andel rømt oppdrettslaks i 2021 ble vurdert av Overvåkningsprogrammet for rømt oppdrettslaks i vassdrag og lokaliteter som rapporterte om rømming av oppdrettslaks til Fiskeridirektoratet i 2021 og 2022 (foreløpig statistikk 1.1.2023).

 

Til sammen ble 83 rømte oppdrettslaks fjernet og verifisert fra vassdragene i området i perioden 2017-2021 (én ble fjernet i 2021). Det er gjort vurdering av genetisk status i 16 av totalt 22 villaksbestander i produksjonsområdet (utgjør 97 % av produksjonsområdets totale gytebestandsmål). I åtte av villaksbestandene i området er det ikke observert noen genetisk endring som følge av innkryssing av oppdrettslaks, inkludert de to med høyest gytebestandsmål, mens det i seks av vassdragene er indikert svake genetiske endringer. Det er observert stor genetisk endring i to bestander (Saudavassdraget og Vikedalselva). Totalt sett vurderes det at villaksbestandene i området har et moderat nivå av innkryssing fra oppdrettslaks.

Med lave rømmingstall og lav andel rømt oppdrettslaks i elvene, vurderes det som lite sannsynlig at det vil være en høy andel rømt oppdrettslaks på gyteplassene. Gytebestandsmålet blir nådd og det høstbare overskuddet er høyt for de fleste vassdragene i produksjonsområdet. Det er alt dokumentert et moderat nivå av genetisk endring i villaksbestandene grunnet innkryssing av rømt oppdrettslaks i området, men bestandenes robusthet mot ny innkryssing vurderes totalt sett som god. Totalt sett vurderes sannsynligheten for ytterligere genetisk endring som følge av ny innkryssing fra oppdrettslaks i produksjonsområdet som lav. Estimatet på andelen rømt oppdrettslaks i elv vurderes som godt, siden et høyt antall vassdrag overvåkes i området. Utfiskingstallene vurderes også som gode. Derimot er de rapporterte rømmingstallene heftet med usikkerhet, både med tanke på antall rømmingsepisoder og antall rømt oppdrettslaks per episode. Det mangler også kunnskap knyttet til påvirkning fra rømming i andre produksjonsområder. Kunnskapen knyttet både til genetisk status og bestandsstatus vurderes som god, men kunnskapen knyttet til den kombinerte effekten av bestandsstatus og genetisk status er derimot begrenset. I sum vurderes risiko knyttet til ytterligere genetiske endringer som følge av innkryssing fra rømt oppdrettslaks som lav i produksjonsområde 2.

4.7 - Miljøeffekter som følge av utslipp av løste næringssalter fra fiskeoppdrett

Produksjonsområde 2 hadde i 2021 estimerte utslipp fra fiskeoppdrett på 3007 tonn nitrogen og 399 tonn fosfor fordelt på et relativt lite sjøareal på 1846 km². Dette vil gi et utslipp på 1629 kg løst nitrogen og 216 kg løst fosfor per km² årlig. Beregnet økning av planteplanktonproduksjonen som skyldes utslipp fra fiskeoppdrett i 2021 er 16,6 % i produksjonsområdet.  

Produksjonsområdet har hatt et overvåkningsprogram i oppdrettstette områder siden 2010 og har derfor gode data til å klassifisere miljøtilstand i kystvannsforekomster. Selv om utslippene av nitrogen og fosfor er relativt høye per sjøareal, er det ikke registrert verdier for klorofyll eller næringssalter med dårligere miljøtilstand enn god i løpet av en tiårs periode. Ett unntak er Høgsfjorden, der det til tider har vært moderate verdier. Nedre voksedyp for tare på stasjonene i produksjonsområdet er også vurdert som «god», men har vist en negativ trend i løpet av 10 år med overvåkning. Det er registrert økende forekomst av trådformede alger i flere områder i denne perioden. Flere av fjordene i overvåkningsprogrammet sliter med lave oksygenverdier på grunn av sjelden utskiftning av bunnvann. Totalt sett vurderes det likevel å være lav sannsynlighet for miljøeffekter som følge av økt næringssalttilførsel fra fiskeoppdrett i produksjonsområde 2. På tross av manglende kunnskap rundt indikatoren ‘makroalger på hardbunn’, vurderes kunnskapsstyrken som god, da det finnes gode data gjennom overvåkingsprogrammet. I sum vurderes risiko knyttet til miljøeffekter som følge av utslipp av løste næringssalter som lav i produksjonsområde 2.

4.8 - Miljøeffekter som følge av partikulære organiske utslipp fra fiskeoppdrett

Forbruket av fôr i produksjonsområde 2 var på 115 878 tonn i 2021. Basert på massebalansebudsjett der estimert utslipp av fekalier er beregnet til 29,2 % og estimert fôrspill til 5-11 % av fôrmengden, utgjør dette et utslipp av 33 836 tonn fekalier og 5794-12 747 tonn spillfôr i produksjonsområdet, fordelt på 51 matfiskanlegg, som gir et snitt på 663 tonn fekalier og 114-250 tonn spillfôr per matfiskanlegg. I 2022 er fôrforbruket estimert til 106 092 tonn i området. 

Det ble gjennomført 21 B-undersøkelser i produksjonsområde 2 både i 2021 og 2022. I 2021 var alle vurdert til tilstandsklasse «meget god» og «god», mens det i 2022 var tre lokaliteter i tilstandsklasse «dårlig». Det ble gjennomført totalt 30 C-undersøkelser i produksjonsområdet i perioden 2017-2021, alle med tilstand «svært god» eller «god». I 2022 ble det ikke gjennomført noen C-undersøkelser i området. Basert på at alle miljøundersøkelsene i området ble vurdert som «meget/svært gode» og «gode», vurderes sannsynligheten for miljøeffekter som følge av partikulære organiske utslipp fra fiskeoppdrett som lav i produksjonsområde 2. Beregningene av omtrentlig utslippsmengde basert på fôrforbruket vurderes som god. Resultatene fra B- og C-undersøkelsene vurderes som gode for lokalitetene som ligger over bløtbunn, og kunnskapsstyrken vurderes totalt sett som god. Risiko knyttet til miljøeffekter på bløtbunn som følge av partikulære organiske utslipp fra fiskeoppdrett, vurderes som lav for produksjonsområde 2. 

Foreløpige data for B- og C-undersøkelsene for 2022 er hentet fra Fiskeridirektoratet.

4.9 - Miljøeffekter som følge av utslipp av kobber fra fiskeoppdrett

Estimert utslipp av kobber basert på oppdrettsandel (5 %) og areal (1846 km2) i produksjonsområde 2 er på 23 kg kobber per km²  i 2021, og vurderes som høyt. Utslipp fra fisken på grunn av kobber i fôret utgjør 0,5 kg per km2.Miljøundersøkelsene viser at 23 % av lokalitetene i området har dårlig miljøtilstand i anleggssonen, noe som vurderes å gi en moderat sannsynlighet for økte konsentrasjoner av kobber i sedimentet. Mange av lokalitetene i området har blitt brukt over flere år og ligger i fjorder eller mindre eksponerte områder. Siden kobber akkumulerer i sedimentene der strømforholdene gir liten grad av spredning, kan gjentatte utslipp over tid være en del av forklaringen på hvorfor såpass stor andel av anleggene har forhøyede verdier av kobber i sedimentet i anleggssonen. Totalt vurderes det å være moderat sannsynlighet for negative miljøeffekter av kobber i produksjonsområde 2.   

Det mangler overvåkingsdata på kobberverdier i vannsøylen og det er derfor heller ikke mulig å vurdere hvordan løst kobber påvirker marine organismer som lever i vannmassene. Det er også behov for mer kunnskap om hvor mye av kobberet i sedimentet som er tilgengelig for organismer som lever i og på havbunnen nær anleggene og hva toleransegrensen for kobber er i disse organismene. Kunnskapsstyrken vurderes totalt sett som moderat. Andelen anlegg med forhøyede kobberverdier i anleggssonen er omtrent den samme som i produksjonsområde 1, men i motsetning til produksjonsområde 1 der alle anleggene ligger i et svært avgrenset område, er de påvirkede anleggene i produksjonsområde 2 fordelt over et større område. I sum vurderes risiko knyttet til miljøeffekter som følge av utslipp av kobber fra fiskeoppdrett som moderat i produksjonsområde 2.

4.10 - Miljøeffekter ved bruk av villfanget leppefisk i fiskeoppdrett

Data og informasjon om fangst og utsett av villfanget leppefisk samsvarer ikke med produksjonsområdene, da dette er oppgitt for henholdsvis tre ulike fiskerisoner og på fylkesnivå. Produksjonsområde 2 inngår i fangstområde «Vestlandet» der kvoten for fangst av leppefisk er satt til 10 millioner fisk. I 2021 ble i overkant av 11,5 millioner leppefisk fangstet i dette området. Fisket fordelte seg på de tre artene bergnebb (3,1 millioner), grønngylt (7,3 millioner) og berggylt (1,0 million) og gressgylt (200 000). Detaljert oversikt over hvordan fiskeriet fordeler seg mellom produksjonsområdene innenfor fiskerisone «Vestlandet» vites ikke, heller ikke geografisk område for fisket. Etter innføring av en rekke seleksjonsinnretninger i fangstredskapene, antas bifangst av undermåls leppefisk og andre arter å være redusert, og det vurderes å være lite eller ubetydelig endring i bestandene av bifangstarter som følge av fiske etter leppefisk. 

Siden mesteparten av transporten av villfanget leppefisk i området foregår via småbåter og tankbiler, og i tillegg er unntatt akvakulturforskriften, er det i praksis liten eller ingen behandling av verken transportmiddel eller transportvannet før det tømmes ut i mottaksområdet. Det finnes ingen nøyaktig oversikt over hvor den villfangete leppefisken transporteres og settes ut, men det antas at det brukes mye lokal fanget leppefisk i produksjonsområdet. Bruk av lokalfanget leppefisk reduserer sannsynligheten både for smittespredning og genetisk påvirkning på lokale leppefiskbestander. Basert på at fisket har vært noe høyere enn tillatt kvote for høsting av leppefisk og en antakelse om at mesteparten av den villfangede leppefisken brukes lokalt, vurderes det å være moderat sannsynlighet for miljøeffekter ved bruk av villfanget leppefisk i produksjonsområde 2. Det er manglende kunnskap om smittestatus og i hvilken grad den villfangete leppefisken rømmer fra oppdrettsanleggene i området. Det er heller ikke gjennomført genetiske undersøkelser for å finne ut om rømt leppefisk har krysset seg inn med lokale bestander i områder der det brukes mye leppefisk. Det er også begrenset kunnskap om bestandsutviklingen av de ulike leppefiskartene og kunnskapsstyrken vurderingen hviler på, vurderes totalt sett som moderat. Forankret i manglende kunnskap er det stor usikkerhet knyttet til hvor og hvilken sykdom som vil overføres og spres. Sykdommene som spres kan være tilfeller av både «nye», hittil ukjente sykdommer, eller sykdommer som er kjente, men nye for en gitt art eller i et område. Innførsel av kjente og ukjente sykdommer med transport av levende fisk samt flytting av levende fisk over større geografiske områder, vurderes som en mulig overraskelse som kan ha svært negativ innvirkning på norsk oppdretts- og villfisk. Risikoen knyttet til miljøeffekter ved bruk av villfanget leppefisk i fiskeoppdrett vurderes som moderat i produksjonsområde 2.

5 - Produksjonsområde 3, Karmøy til Sotra 

5.1 - Beskrivelse av produksjonsområdet

I produksjonsområde 3 var det i 2021 og 2022 henholdsvis 124 og 125 oppdrettslokaliteter som i løpet av året rapporterte inn laks eller ørret. Området hadde i 2021 en gjennomsnittlig månedlig stående biomasse på 99 436 tonn laksefisk med en produksjon på 168 919 tonn laks og 6822 tonn regnbueørret (uttak til slakt). Produksjonstall for 2022 er på 89 195 tonn laks og 3690 tonn regnbueørret i gjennomsnittlig månedlig stående biomasse med et uttak i samme periode på 194 445 tonn laks og 12 659 tonn regnbueørret til slakt (Fiskeridirektoratets biomassestatistikk, 25.1.2023). Totalt areal for produksjonsområdet er på 15 698 km2, sjøareal er 5659 km2 og sjøareal innenfor grunnlinjen er på 3274 km2.

 

Produksjonsintensitet PO3
Figur 5.1. Godkjente akvakulturlokaliteter for laks, ørret og regnbueørret og produksjonsintensitet (gjennomsnittlig biomasse per måned i tonn per km2) i vannforekomstene i produksjonsområde 3 Karmøy til Sotra i perioden 2020-2021. Kilde Fiskeridirektoratet.

 

Middeltemperaturen i de øvre vannmassene i produksjonsområde 3 ligger normalt på 15-16 ℃ om sommeren og 5-6 ℃ om vinteren. Vinteren 2021 var kald, mars og april var mer normale, mens perioden mai til juli var relativ varm. Vinteren 2022 var noe varm, mens vår og sommer hadde relativt normale temperaturer. Både ferskvannsavrenningen og brakkvannsstyrken hadde nær normale verdier i perioden april til juli 2021. I 2022 var derimot ferskvannsavrenningen til området høyere enn normalt, spesielt i juni 2022, og dette ga en brakkvannsstyrke som også var sterkere enn normalt. Mens mai 2022 hadde nær normale overflatesaltholdigheter, så var juni mer preget av lave saltholdigheter. 

Produksjonen foregår i fjorder, middels eksponerte fjordområder og en mindre del på bølgeeksponert kyst. De fleste matfiskanlegg ligger i områder med god spredningsstrøm i overflatelaget. Det er noen små vannforekomster i indre områder ved Fusa- og Bjørnafjorden der produksjonsintensiteten (gjennomsnittlig biomasse per måned, tonn/km2) var høy i perioden 2020-2021 (150-300 tonn/km2). Av større vannforekomster er det Langenuen og Øynefjorden (ved Varaldsøy) som har den høyeste produksjonsintensiteten i området (henholdsvis 121 og 131 tonn/km2). Det er ingen områder med sjelden eller moderat utskifting av bassengvann der det foregår produksjon av laksefisk i produksjonsområde 3. 

Det er totalt 18 laksevassdrag i produksjonsområdet, og gytebestandsmålet ble nådd i mange av vassdragene i perioden 2017-2021, samtidig som det høstbare overskuddet var lavt og mange av vassdragene er stengt for fiske. Vassdragene med full vurdering utgjør 69 % av det samlede gytebestandsmålet i produksjonsområdet. Vurdering av bestandsstatus er basert på årlige vurderinger gjort av Vitenskapelig råd for lakseforvaltning (VRL), aggregert per produksjonsområder for «Rømt oppdrettslaks – risikovurdering og kunnskapsstatus 2023». 

5.2 - Oppsummering av risiko knyttet til dyrevelferd og miljøeffekter av fiskeoppdrett for produksjonsområde 3

PO3 oppsummering
Figur 5.2. Oppsummering av risiko knyttet til dyrevelferd og miljøeffekter av fiskeoppdrett for produksjonsområde 3.

Rapportert dødelighet (inkl. utkast) for oppdrettslaksen i produksjonsområde 3 er høy (19-23 %) sammenlignet med landsgjennomsnittet (15 %), og tallmaterialet viser ingen forbedring i produksjonsdødelighet over tid. Dødeligheten på regnbueørreten for 2020- og 2021-generasjonen ble for begge 11 %. Basert på dødelighetstallene vurderes risiko knyttet til dødelighet hos oppdrettslaks i sjø som høy (vesentlig over landsgjennomsnittet), mens den for regnbueørret vurderes som lav (vesentlig under landsgjennomsnittet for laks).

Utslippene av lakselus i produksjonsområde 3 har vært høye siden 2014 og smittepresset i området har variert fra moderat til høyt. Dødelighet hos utvandrende postsmolt laks som følge av lakselussmitte fra oppdrett er estimert til å være høy (> 30 %) i nær alle år fra 2014. Det er godt samsvar mellom modellresultater og observasjoner, og risiko knyttet til dødelighet av postsmolt laks grunnet lakselus i produksjonsområde 3 vurderes som høy.

For sjøørret vurderes også smittepresset som høyt, i tillegg til at fisken oppholder seg i sjøen over en lang periode utover sommeren. I alle årene 2019-2022 er redusert marint leveområde estimert å være > 30 %. Det er godt samsvar mellom modellresultater og observasjoner, og risiko knyttet til negative effekter på sjøørret grunnet lakselussmitte fra oppdrett vurderes å være høy.

Det var få rapporterte utbrudd av infeksiøs lakseanemi (ILA) i området i 2021 og 2022 og det ble gjort et funn av ILA-virus hos vill laksefisk i samme periode. Det var 22 og 3 utbrudd av pankreassykdom (PD) i området i henholdsvis 2021 og 2022 og det ble gjort funn av SAV-smitte i rømt oppdrettslaks i fiskefella i Etneelva, men ingen funn hos utvandrende postsmolt laks i Hardangerfjorden. Risiko for endring i forekomst av ILA hos villaks som følge av virussmitte fra fiskeoppdrett vurderes å være lav, mens den for PD vurderes å være moderat. Kunnskapsstyrken vurderes imidlertid som svak og kan gi opphav til overraskende hendelser med kritisk store konsekvenser, her markert som en sort svane (Figur 5.2).

For produksjonsområde 3 har det vært rapportert moderate rømmingstall i perioden 2017-2021, høyt innslag av rømt oppdrettslaks i elvene og moderat effekt av utfisking. Villfiskens bestandsstatus vurderes som dårlig, og det er påvist et høyt nivå av genetisk endring i villaksbestandene i området. Det mangler kunnskap knyttet til omfanget av rømming og påvirkning fra rømming i andre produksjonsområder, men det er god dekning både i overvåkingsprogrammet og for vurdering av bestandsstatus og genetisk status i området. Risikoen vurderes som høy knyttet til ytterligere genetiske endringer som følge av innkryssing fra oppdrettslaks i produksjonsområde 3.

Hvordan bruken av kobberimpregnering fordeler seg i området er ukjent, men basert på miljøundersøkelsene har vi til en viss grad oversikt over lokalitetene med forhøyede kobberverdier. For produksjonsområde 3 vurderes risikoen som høy knyttet til miljøeffekter av kobberutslipp fra fiskeoppdrett.

Risikoen knyttet til bruk av villfanget leppefisk i fiskeoppdrett vurderes som moderat for produksjonsområde 3. Det er i praksis liten eller ingen behandling av verken transportmiddel eller transportvannet før det tømmes ut i mottaksområdet. Resultatet er redusert biosikkerhet med spredning av sykdom som mulig konsekvens. Innførsel av kjente og ukjente sykdommer med transport av levende fisk samt flytting av levende fisk over større geografiske områder, vurderes som en mulig overraskelse som kan ha svært negativ innvirkning på norsk oppdretts- og villfisk, her markert som en sort svane (Figur 5.2).  

Produksjonen av laksefisk er høy i området, noe som medfører høye utslipp både av spillfôr, fekalier og næringssalter. Overvåkingsdata indikerer imidlertid at miljøtilstanden er god og risiko knyttet til miljøeffekter som følge av utslipp av næringssalter og partikulært organisk materiale vurderes som lav.

Det vurderes å være høy eller moderat risiko knyttet til et flertall av miljøpåvirkningene fra fiskeoppdrett samt dødelighet for oppdrettslaks i sjø, og risikoreduserende tiltak bør vurderes for disse for å sikre et bærekraftig havbruk i produksjonsområdet.

5.3 - Dødelighet hos oppdrettslaks og regnbueørret i sjø

I produksjonsområde 3 ble det satt ut ca. 45 millioner laks i 2020, ca. 47 millioner i 2021 og ca. 46 millioner i 2022 (data fra Fiskeridirektoratets biomassedatabase). Ved utgangen av 2022 var all fisken fra 2020-generasjonen ferdig produsert. Rapportert dødelighet (inkl. utkast) for denne generasjonen ble 20 %. Dette er høyt i forhold til landsgjennomsnittet for 2020-generasjonen på 15 %, men noe lavere enn 2018-generasjonen på 23 % og på linje med 2019-generasjonen på 19 % for produksjonsområde 3. For 2021-generasjonen er dødeligheten foreløpig på 19 %. Ettersom denne generasjonen vil bli slaktet ut i løpet av de neste månedene vil sannsynligvis dødeligheten bli liggende rundt 20 % også for denne generasjonen.

Det ser dermed ikke ut til å være noen vesentlige endringer i dødelighet for produksjonsområde 3 i 2022 i forhold til tidligere år, men fortsatt vesentlig høyere enn landsgjennomsnittet. 2020-generasjonen hadde to påvisninger av ILA, 2021-generasjonen en, mens 2022-generasjonen så langt ikke har påvisninger av ILA. PD-smitten i produksjonsområde 3 er sterkt redusert de to siste generasjonene, fra påvisning i over 30 % av anleggene for 2020-generasjonen til 1-2 % i 2021- og 2022-generasjonene. På grunn av høyt lusepress, mange avlusinger, og vedvarende høy dødelighet, vurderes imidlertid sannsynligheten en laks i en oppdrettsmerd i produksjonsområde 3 har til å få så dårlig velferd at den dør eller blir regnet som utkast i 2023, som høy (vesentlig over landsgjennomsnittet). Dødeligheten har vært høyere enn landsgjennomsnittet for alle generasjoner siden 2018, men bedring i PD-situasjonen gjør at kunnskapsstyrken vurderes å være moderat. Risiko knyttet til dødelighet hos laks i sjø vurderes som høy for produksjonsområde 3.

I 2020 ble det satt ut ca. 1,5 millioner regnbueørret, i 2021 ca. 3,2 millioner og i 2022 ca. 1,2 millioner. Både 2020- og 2021-generasjonen fikk en dødelighet fra utsett til slakt på 11 %. Dette er vesentlig lavere enn for 2018- og 2019-generasjonene hvor dødeligheten var henholdsvis 26 % og 19 %. Sannsynligheten en regnbueørret har i en oppdrettsmerd i produksjonsområde 3 til å få så dårlig velferd at den dør eller blir regnet som utkast i 2023, vurderes som lav (vesentlig under landsgjennomsnittet for laks). Kunnskapsstyrken bak denne vurderingen vurderes som svak siden de lave dødelighetstallene så langt bare er oppnådd for de to siste fullførte generasjonene. Risiko knyttet til dødelighet hos regnbueørret i sjø vurderes som høy for produksjonsområde 3.

5.4 - Dødelighet hos utvandrende postsmolt laks og negative effekter på sjøørret og sjørøye som følge av utslipp av lakselus fra fiskeoppdrett

Det antas at utvandringen av laks fra elvene i produksjonsområde 3 hovedsakelig foregår i tidsrommet 27. april – 6. juni, mens dato for median utvandring (dato når halvparten av smolten har vandret ut) er satt til 17. mai. Utvandringsrutene i området varierer fra korte til relativt lange (ca. 2 uker) for laks.

Utslippene av lakselus i 2012-2022 i produksjonsområde 3 økte frem til 2014, og har siden ligget på et høyt nivå. For Hardangerfjorden er det i 2019 moderat tetthet av lakselus i midtre deler, mens i 2020-2022 er det relativt høy tetthet i både midtre og ytre deler. I Bjørnafjorden er det relativt store områder med høy tetthet av lakselus alle de undersøkte årene (2019-2022). Langs kysten er det oftest lavere tettheter ev lakselus.

Utbredelsen av overflatevann med lav saltholdighet er begrenset til de indre delene av fjordene, og vil derfor bare ha en beskyttende effekt for beitende sjøørret og utvandrende postsmolt laks i starten av vandringen fra de indre elvene. Utbredelsen av brakkvannslaget øker noe fra mai til juni. Estimatene fra den virtuelle smoltmodellen viser svingninger i lusepåvirkningen i produksjonsområde 3 fra 2012–2022. Estimatene var høyest i 2015 og 2016, deretter noe avtagende til 2018, før de igjen økte. I 2020 og 2022 har den estimerte dødeligheten igjen økt. Estimatene indikerer over 30 % dødelighet hos utvandrende postsmolt laks som følge av lakselussmitte fra fiskeoppdrett alle årene fra 2014. Sannsynligheten knyttet til dødelighet hos utgående postsmolt laks som følge av lakselussmitte fra oppdrett i produksjonsområde 3 vurderes som høy.

Kunnskapen om utslipp av lakselus er basert på ukentlige tellinger i alle aktive oppdrettsanleggene av voksne lakselus som er enkle å telle. Antall fisk i oppdrettsanleggene vurderes også som relativ sikre data. Beregningene av tetthet av lakselus er basert på godt utprøvde hydrodynamiske modeller som dekker hele landet. Det er også god kunnskap om vandringsruter og utvandringstider fra enkelte elver og kunnskapsstyrken vurderes totalt sett som god. Risikoen knyttet til dødelighet hos utgående postsmolt laks som følge av lakselussmitte fra oppdrett i produksjonsområde 3 vurderes som høy.

Det antas at utvandringen av sjøørret er som for laks i produksjonsområde 3, men sjøørreten oppholder seg i sjøen over en mye lengre periode utover sommeren. For beitende sjøørret indikerer modellresultatene at det i alle årene fra 2019 er mer enn 30 % redusert marint leveområde både ved tidlig, normal og sein utvandring. Det vurderes derfor å være høy sannsynlighet for negative effekter på beitende sjøørret som følge av lakselussmitte fra oppdrett i produksjonsområde 3. Kunnskapen om utslipp og tetthet av lakselus er basert på det samme datagrunnlaget som for utvandrende postsmolt laks, men det mangler kunnskap om sjøørretens tålegrenser og atferdsrespons for lakselus, og totalt sett vurderes kunnskapsstyrken som moderat. Risiko knyttet til negative effekter på sjøørret som følge av lakselussmitte fra oppdrett vurderes som høy i produksjonsområde 3.

5.5 - Endring i forekomst av infeksiøs lakseanemi og pankreassykdom hos villaks som følge av virussmitte fra fiskeoppdrett

Det var to rapporterte utbrudd av infeksiøs lakseanemi (ILA) i produksjonsområde 3 i 2021, mens det i 2022 kun er påvist ett ILA-tilfelle. Det ble gjort et funn av ILA-virus hos vill laksefisk i samme periode. Det ble rapportert 22 tilfeller (19 bekreftet) av pankreassykdom (PD) i området i 2021. For 2022 er det kun tre tilfeller (to bekreftet).

Havforskningsinstituttets overvåkingsprogram fant ingen forekomster av ILAV hos utvandrende postsmolt villaks i Hardangerfjorden i 2021 eller 2022. Det ble påvist syv (av 100) postsmolt med SAV i 2022, men ingen i 2021. I rømt oppdrettslaks fanget i Etneelven ble det påvist SAV i to (av 39) fisk i 2021. ILAV ble ikke påvist. I vill tilbakevandrende laks fanget i Etneelven ble det funnet en (av 100) fisk med ILAV (ukjent HPR) i 2021. Resultater for tilbakevandrende og rømt oppdrettslaks for 2022 foreligger ikke per januar 2023.

 

ILA PO3
Figur 5.3. Påviste og mistenkte funn av infeksiøs lakseanemi (ILA) i 2021 og 2022 i produksjonsområde 3. (Kilde Fiskeridirektoratet og BarentsWatch, januar 2023).

 

 

PD PO3
Figur 5.4. Påviste og mistenkte funn av pankreassykdom PD i 2021 og 2022 i produksjonsområde 3. (Kilde Fiskeridirektoratet og BarentsWatch, januar 2023).

 

Det er kun rapportert inn et fåtall rømte oppdrettslaks for området i 2021 og 2022. I de tilstøtende produksjonsområdene ble det rapportert få rømt oppdrettslaks i område 2. I område 4 ble det rapportert få rømt oppdrettslaks i 2021, mens det i 2022 ble rapportert en del mindre rømmingshendelser og en av betydelig størrelse i Sognefjorden. Rømt oppdrettslaks fra denne rømmingshendelsen hadde påvist smitte av blant annet SAV. Selv om en større rømming betyr at det kan komme flere rømt fisk enn normalt til nærliggende produksjonsområder, vurderes det likevel at dette vil utgjøre relativt få smittebærende eller syke fisk. Sannsynlighet for at rømt laks med ILAV eller SAV utgjør en smittefare i produksjonsområde 3, vurderes derfor som lav.

Med få utbrudd av ILA i 2021-22, få rapporterte rømt oppdrettslaks og kun en påvisning av ILAV (2021) i villfisk, vurderes sannsynligheten for endring i forekomst av ILA hos vill laksefisk som følge av smitte fra oppdrett som lav i produksjonsområde 3. Det var et høyt antall tilfeller av PD i 2021, men det ser ut til å være en betydelig reduksjon av tilfeller i 2022, lite rømt oppdrettslaks og få funn av SAV i utvandrende postsmolt laks. Sannsynligheten for endring i forekomst av SAV hos vill laksefisk som følge av smitte fra oppdrett vurderes likevel totalt sett som lav i produksjonsområde 3.

Det er lite kunnskap om hvor mye ILAV og SAV som slippes ut fra anleggene og om hvor mye smittet oppdrettslaks det faktisk er i elvene. Kunnskapen om hvor smittsomme de to virusene er i naturen, om virusets robusthet, minste infeksiøse dose og graden av spredning og fortynning av viruset i området, vurderes også som svak. Det er noe overvåkingsdata fra området som gir moderat kunnskap om konsekvensen av ILAV og SAV-smitte av villaks i naturen. Det finnes en del erfaringskunnskap og data om konsekvenser fra oppdrett og fra laboratorieforsøk med oppdrettsfisk og noe på villaks, men ingen fra villaks i naturen. Kunnskapsstyrken knyttet til vurderingen av forekomst av sykdom hos villaks som følge av virussmitte fra fiskeoppdrett vurderes derfor totalt sett å være svak. Svak kunnskapsstyrke kan gi opphav til såkalte overraskende hendelser med kritisk store konsekvenser. Risikoen knyttet til endring i forekomst av ILA vurderes likevel som lav i produksjonsområde 3 basert på få rapporterte utbrudd og et funn i villfisk. Risiko knyttet til endring i forekomst av PD hos villfisk vurderes å være moderat.

Foreløpige data for sykdom og rømming for 2022 er hentet fra Veterinærinstituttet og karttjenestene BarentsWatch og Yggdrasil (Fiskeridirektoratet). Disse data er ennå ikke kvalitetssikret og det er variasjon mellom kildene.

5.6 - Ytterligere genetisk endring hos villaks som følge av innkryssing av rømt oppdrettslaks

Det ble rapportert om totalt 16 715 rømte oppdrettslaks i produksjonsområde 3 i perioden 2017–2021, der de høyeste rømmingstallene forekom i 2017 og 2018 med henholdsvis 8765 og 6918 rømt oppdrettslaks. I 2021 ble det rapportert fem rømt fisk, mens foreløpig statistikk fra Fiskeridirektoratet for 2022 viser at det har vært rapportert noen mindre rømmingshendelser i produksjonsområdet. Det var 37 % vassdrag i området med høy andel rømt oppdrettslaks og 17 % med moderat andel rømt oppdrettslaks i perioden 2017-2021. I 2021 var det tre vassdrag med høy og ingen vassdrag med moderat andel rømt oppdrettslaks. Utfisking ble gjennomført i 90 % av vassdrag der en høy andel rømt laks ble observert og i 69 % av vassdrag med middels andel samme år i perioden 2017-2021. Til sammen er 856 rømte oppdrettslaks fjernet og verifisert fra vassdragene i området i samme periode (113 ble fjernet i 2021). En stor andel er fanget i fiskefellen i Etne, der det er dokumentert at utfiskingen er svært effektiv.

Det er gjort vurdering av genetisk status i 12 av totalt 18 villaksbestander i produksjonsområdet som utgjør 99 % av produksjonsområdets totale gytebestandsmål. I 11 av villaksbestandene i området er det observert stor (10) eller moderat (1) genetisk endring som følge av innkryssing av oppdrettslaks, deriblant Etneelva. Det er kun i Oselva det ikke er observert noen genetisk endring. Totalt sett vurderes det at villaksbestandene i området har et høyt nivå av innkryssing fra oppdrettslaks.

 

Innslag PO3
Figur 5.5. Lokalisering av elver hvor andel rømt oppdrettslaks i 2021 ble vurdert av Overvåkningsprogrammet for rømt oppdrettslaks i vassdrag og lokaliteter som rapporterte om rømming av oppdrettslaks til Fiskeridirektoratet i 2021 og 2022 (foreløpig statistikk 1.1.2023).

 

Basert på moderat høye rømmingstall, høyt innslag av rømt oppdrettslaks i elvene og moderat utfisking, vurderes det totalt sett å være høy sannsynlighet for forekomst av rømt oppdrettslaks på gyteplassene i produksjonsområdet. Villfiskens bestandsstatus i området vurderes som dårlig, og det er alt påvist et høyt nivå av genetisk endring i villaksbestandene i området grunnet tidligere innkryssing av rømt oppdrettslaks. Bestandenes robusthet mot ny innkryssing vurderes totalt sett som dårlig. Det vurderes totalt sett at sannsynligheten for ytterligere genetisk endring som følge av innkryssing fra oppdrettslaks i produksjonsområde 3 er høy. Det mangler kunnskap knyttet til omfanget av rømming og påvirkning fra rømming i andre produksjonsområder, men overvåkingsprogrammet dekket gjennomsnittlig 16 av 18 elver i perioden 2017-2021. Bestandsstatus er vurdert for 69 % av gytebestandsmålet i området og genetisk status er gitt for 12 av 18 elver og bakgrunnskunnskapen vurderes som god. Risiko knyttet til ytterligere genetiske endringer som følge av innkryssing fra rømt oppdrettslaks vurderes som høy i produksjonsområde 3.

5.7 - Miljøeffekter som følge av utslipp av løste næringssalter fra fiskeoppdrett

Produksjonsområde 3 hadde i 2021 estimerte årlige utslipp fra fiskeoppdrett på 6748 tonn løst nitrogen og 896 tonn løst fosfor fordelt på et sjøareal på 3274 km². Dette vil gi et utslipp på 2016 kg løst nitrogen og 274 kg løst fosfor per km² årlig. Dette produksjonsområdet har de høyeste årlige utslippene av løste næringssalter per sjøareal langs norskekysten. Dette produksjonsområdet har dermed den høyeste estimerte økningen av planteplanktonproduksjon som skyldes utslipp fra fiskeoppdrett (21 %) i Norge.  

Produksjonen foregår i fjorder, middels eksponerte fjordområder og en mindre del på bølgeeksponert kyst. De fleste matfiskanlegg ligger i områder med god spredningsstrøm i overflatelaget. Produksjonsområdet har hatt regelmessig overvåkning av miljøkvalitet i oppdrettstette områder siden 2013 gjennom Marin Overvåking i Hordaland (MOH) og ØKOKYST-programmet. Data fra målestasjonene i området viser at selv om det til enkelte årstider kan være forhøyde verdier av noen næringssalter, er miljøtilstand «god» til «svært god» når resultatene ses over tid. Produksjonsområdet har de høyeste utslippene av næringssalter sammenlignet med andre områder, men siden overvåkingsdataene er gode og entydige, vurderes det å være lav sannsynlighet for miljøeffekter som følge av økt næringssalttilførsel fra fiskeoppdrett i produksjonsområde 3. På tross av manglende kunnskap i forhold til mulig økt planteplanktonproduksjon, vurderes kunnskapsstyrken som sterk, da det finnes gode data gjennom overvåkingsprogrammet. Risiko knyttet til miljøeffekter som følge av utslipp av løste næringssalter vurderes som lav i produksjonsområde 3.

5.8 - Miljøeffekter som følge av partikulære organiske utslipp fra fiskeoppdrett

Forbruket av fôr i produksjonsområde 3 var på 238 268 tonn i 2021. Basert på massebalansebudsjett der estimert utslipp av fekalier er beregnet til 29,2 % og estimert fôrspill til 5-11 % av fôrmengden, utgjør dette et utslipp av 69 574 tonn fekalier og 11 913-26 209 tonn spillfôr i produksjonsområdet, fordelt på 124 matfiskanlegg, som gir et snitt på 561 tonn fekalier og 96-211 tonn spillfôr per matfiskanlegg. I 2022 er fôrforbruket estimert til 251 921 tonn i området. 

Det ble gjennomført totalt 37 B-undersøkelser i produksjonsområde 3 i 2021, en lokalitet ble vurdert til «dårlig» tilstand, alle andre vurdert til tilstandsklasse «meget god» og «god». I 2022 ble det gjennomført 78 B-undersøkelser på til sammen 74 lokaliteter, der 12 lokaliteter ble vurdert som «dårlig» og to som «meget dårlig», resten som «meget god» eller «god». Det ble gjennomført totalt 76 C-undersøkelser i produksjonsområdet, i perioden 2017 til 2021, der 74 var i tilstandsklasse «svært god» og «god» og to i «dårlig». I 2022 ble det gjennomført C-undersøkelser ved 11 lokaliteter i området.

Basert på at 96 av totalt 115 B-undersøkelser (83,5 %) og 74 av 76 C-undersøkelser (97,5 %) i området ble vurdert som «meget/svært gode» og «gode», vurderes sannsynligheten for miljøeffekter som følge av partikulære organiske utslipp fra fiskeoppdrett som lav i produksjonsområde 3. Resultatene fra B-undersøkelsene viser at 16,5 % ligger i «dårlig» eller «meget dårlig» tilstand. Anlegg med slik tilstand blir imidlertid tettere overvåket og dermed registrert flere ganger over perioden 2021-2022. Det vil ytterligere bli innført endringer så miljøtilstanden kan forbedres. Beregningene av omtrentlig utslippsmengde basert på fôrforbruket vurderes som god og kunnskapsstyrken vurderes totalt sett som god. Risikoen knyttet til miljøeffekter på bløtbunn som følge av partikulære organiske utslipp fra fiskeoppdrett vurderes som lav for produksjonsområde 3.

Foreløpige data for B- og C-undersøkelsene for 2022 er hentet fra Fiskeridirektoratet.

5.9 - Miljøeffekter som følge av utslipp av kobber fra fiskeoppdrett

Estimert utslipp av kobber brukt som antigroemiddel basert på oppdrettsandel (11 %) og areal (3274 km2) i produksjonsområde 3 er på 30 kg kobber per km²  i 2021, og vurderes som høyt. Utslipp fra fisken på grunn av kobber i fôret utgjør 0,7 kg per km2. Miljøundersøkelsene viser at 49 % av lokalitetene i området har dårlig miljøtilstand i anleggssonen, som vurderes å gi en høy sannsynlighet for økte konsentrasjoner i sedimentet. Mange av lokalitetene i området har blitt brukt over flere år og ligger i fjorder eller mindre eksponerte områder. Siden kobber akkumulerer i sedimentene der strømforholdene gir liten grad av spredning, kan gjentatte utslipp over tid være en del av forklaringen for hvorfor såpass stor andel av anleggene har forhøyede verdier av kobber i sedimentet i anleggssonen.

Modellsimuleringer der vi har antatt at 28 % av kobberet lekker ut til vannsøylen, viser at passivt utlekket kobber kan gi et vesentlig bidrag til den totale kobberkonsentrasjonen i et fjordsystem, i størrelsesorden 0,2-0,4 μg/l. I trange fjorder med dårlig vannutveksling kan bidraget periodevis være opptil 1 μg/l. Spyling eller høytrykksspyling av kobberimpregnerte nøter vil kunne gi pulser med høyere konsentrasjoner. Miljøkvalitetsmål for kobber i kystvann er 2,6 μg/l. Vi har målt konsentrasjoner i fjorder i Vestland fra < 0,5 til 1,9 μg/l i 2021. Overvåking av kobbernivå i sediment fra fjernsonen (> 1 km fra nærmeste oppdrettslokalitet) i flere fjorder i produksjonsområde 3 viste en signifikant økning i nivå på fire av 13 stasjoner i perioden 2018-2022. Totalt vurderes det å være høy sannsynlighet for negative miljøeffekter av kobber i produksjonsområde 3.

Det mangler overvåkingsdata på kobberverdier i vannsøylen og det er derfor heller ikke mulig å vurdere hvordan løst kobber påvirker marine organismer som lever i vannmassene. Det er også behov for mer kunnskap om hvor mye av kobberet i sedimentet som er tilgengelig for organismer som lever i og på havbunnen nær anleggene og hva toleransegrensen for kobber er i disse organismene. Kunnskapsstyrken som ligger til grunn for sannsynlighetsberegningen vurderes som moderat. Risiko knyttet til miljøeffekter som følge av utslipp av kobber fra fiskeoppdrett vurderes som høy i produksjonsområde 3. For å unngå en videre økning anbefales det at kobberforbruket reduseres eller utfases på de lokalitetene som har påvist høye verdier i miljøundersøkelsene.

5.10 - Miljøeffekter ved bruk av villfanget leppefisk i fiskeoppdrett

Data og informasjon om fangst og utsett av villfanget leppefisk samsvarer ikke med produksjonsområdene, da dette er oppgitt for henholdsvis tre ulike fiskerisoner og på fylkesnivå. Produksjonsområde 3 inngår i fangstområde «Vestlandet» der kvoten for fangst av leppefisk er satt til 10 millioner fisk. I 2021 ble i overkant av 11,5 millioner leppefisk fangstet i dette området. Fisket fordelte seg på de fire artene bergnebb (3,1 millioner), grønngylt (7,3 millioner), berggylt (1,0 million) og gressgylt (200 000). Detaljert oversikt over hvordan fiskeriet fordeler seg mellom produksjonsområdene innenfor fiskerisone e «Vestlandet» vites ikke, heller ikke geografisk område for fisket. Etter innføring av en rekke seleksjonsinnretninger i fangstredskapene, antas bifangst av undermåls leppefisk og andre arter å være redusert, og det vurderes å være lite eller ubetydelig endring i bestandene av bifangstarter som følge av fiske etter leppefisk. 

Siden mesteparten av transporten av villfanget leppefisk i området foregår via småbåter og tankbiler, og i tillegg er unntatt akvakulturforskriften, er det i praksis liten eller ingen behandling av verken transportmiddel eller transportvannet før det tømmes ut i mottaksområdet. Det finnes ingen nøyaktig oversikt over hvor den villfangete leppefisken transporteres og settes ut. Både importert og lokalt fanget leppefisk benyttes i produksjonsområdet. Bruk av lokalt fanget leppefisk reduserer sannsynligheten både for smittespredning og genetisk påvirkning på lokale leppefiskbestander. Basert på at fisket har vært noe høyere enn tillatt kvote for høsting av leppefisk, og en antakelse om at den villfangede leppefisken er en blanding av importert og lokalt fanget, vurderes det å være moderat sannsynlighet for miljøeffekter ved bruk av villfanget leppefisk i produksjonsområde 3. Det er manglende kunnskap om smittestatus og i hvilken grad den villfangete leppefisken rømmer fra oppdrettsanleggene i området. Det er heller ikke gjennomført genetiske undersøkelser for å finne ut om rømt leppefisk har krysset seg inn med lokale bestander i områder der det brukes mye leppefisk. Det er også begrenset kunnskap om bestandsutviklingen av de ulike leppefiskartene. Kunnskapsstyrken vurderes totalt sett som moderat. Forankret i manglende kunnskap er det stor usikkerhet knyttet til hvor og hvilken sykdom som vil overføres og spres. Sykdommene som spres kan være tilfeller av både «nye», hittil ukjente sykdommer, eller sykdommer som er kjente, men nye for en gitt art eller i et område. Innførsel av kjente og ukjente sykdommer med transport av levende fisk samt flytting av levende fisk over større geografiske områder, vurderes som en mulig overraskelse som kan ha svært negativ innvirkning på norsk oppdretts- og villfisk. Risikoen knyttet til miljøeffekter ved bruk av villfanget leppefisk i fiskeoppdrett vurderes som moderat i produksjonsområde 3.

6 - Produksjonsområde 4, Nordhordland til Stadt

6.1 - Beskrivelse av produksjonsområdet

I produksjonsområde 4 var det i 2021 og 2022 henholdsvis 119 og 120 oppdrettslokaliteter som i løpet av året rapporterte inn fisk. Området hadde i 2021 en gjennomsnittlig månedlig stående biomasse på 81 245 tonn laksefisk med et totalt uttak til slakt på 101 557 tonn laks og 59 009 tonn regnbueørret. Produksjonstall for 2022 er på 61 666 tonn laks og 27 263 tonn regnbueørret i gjennomsnittlig månedlig stående biomasse med et uttak til slakt i samme periode på henholdsvis 123 891 tonn laks og 48 765 tonn regnbueørret (Fiskeridirektoratets biomassestatistikk, 25.1.2023). Totalt areal for produksjonsområdet er på 30 751 km2, sjøareal er 6983 km2 og sjøareal innenfor grunnlinjen er på 5258 km2.

 

Produksjonsintensitet PO4
Figur 6.1. Godkjente akvakulturlokaliteter for laks, ørret og regnbueørret og produksjonsintensitet (gjennomsnittlig biomasse per måned i tonn per km2) i vannforekomstene i produksjonsområde 4 Nordhordland til Stadt i perioden 2020-2021. Kilde Fiskeridirektoratet.

 

Middeltemperaturen i de øvre vannmassene i produksjonsområde 4 ligger normalt på 14-15 ℃ om sommeren og 5-6 ℃ om vinteren. Vinteren 2021 var kald, mars og april var mer normale, mens perioden mai til juli var relativ varm, spesielt i juli. Både vinter, vår og sommer 2022 hadde nær normale temperaturer, med unntak av august som var noe kald. Ferskvannsavrenningen og brakkvannsstyrken hadde noe lavere verdier enn normalt gjennom vår og sommer 2021, mens i 2022 var ferskvannsavrenningen til området høyere enn normalt, spesielt i juni 2022, noe som ga en brakkvannsstyrke som også var sterkere enn normalt. Mens mai 2022 hadde nær normale overflatesaltholdigheter, var juni mer preget av lave saltholdigheter.

Produksjonen foregår i fjorder, middels eksponerte fjordområder og en mindre del på bølgeeksponert kyst. De fleste matfiskanleggene ligger i områder med god spredningsstrøm i overflatelaget, men produksjonsområdet har også flere vannforekomster der modellert utskifting av bunnvann viser moderat eller sjelden utskifting som bekreftes av observasjoner. Dette gjelder blant annet Radfjorden, Herdlefjorden, Osterfjorden, Sørfjorden, Masfjorden, Gulafjorden og Dalsfjorden der det også i noen av vannforekomstene er oppdrettsaktivitet (Radfjorden, Osterfjorden, Sørfjorden). Vannforekomstene med høyest gjennomsnittlig produksjonsintensitet (gjennomsnittlig biomasse per måned, tonn/km2) i perioden 2020-2021 var Radfjorden (190 tonn/km2), Ånnelandssundet ytre (198 tonn/km2), Bøfjorden ytre (272 tonn/km2), Gjølangen (197 tonn/km2).

Det er totalt 43 laksevassdrag i produksjonsområdet. Gytebestandsmålet blir nådd for de fleste vassdragene i produksjonsområdet i perioden 2017-2021. Noen av de større vassdragene (Lærdalseva, Jølstra og Nausta) har lavt høstbart overskudd og mange av vassdragene i Sognefjorden har hatt lite eller ikke noe høstbart overskudd de seinere årene. Vassdragene med full vurdering utgjør 80 % av det samlede gytebestandsmålet i produksjonsområdet. Vurdering av bestandsstatus er basert på årlige vurderinger gjort av Vitenskapelig råd for lakseforvaltning (VRL), aggregert per produksjonsområder for «Rømt oppdrettslaks – risikovurdering og kunnskapsstatus 2023». 

6.2 - Oppsummering av risiko knyttet til dyrevelferd og miljøeffekter av fiskeoppdrett for produksjonsområde 4

PO4 oppsummering
Figur 6.2. Oppsummering av risiko knyttet til dyrevelferd og miljøeffekter av fiskeoppdrett for produksjonsområde 4.

Rapportert dødelighet (inkl. utkast) for oppdrettslaksen i produksjonsområde 4 er høy (23-27 %) sammenlignet med landsgjennomsnittet (15 % for 2020-generasjonen), og tallmaterialet viser ingen forbedring i produksjonsdødelighet over tid. Det er betydelig produksjon av regnbueørret i området, og dødeligheten på regnbueørreten er moderat og ligger på rundt 13-14 %. Basert på dødelighetstallene vurderes risiko knyttet til dødelighet hos oppdrettslaks i sjø som høy, mens den for regnbueørret vurderes som moderat.

Utslippene av lakselus i produksjonsområde 4 har vært høye siden 2016 og smittepresset i området har variert fra moderat til høyt. Dødelighet hos utvandrende postsmolt laks som følge av lakselussmitte fra oppdrett er estimert til å være høy (> 30 %) i alle år fra 2019. Det er godt samsvar mellom modellresultater og observasjoner, og risiko knyttet til dødelighet av postsmolt laks grunnet lakselus vurderes som høy i produksjonsområde 4. For sjøørret vurderes også smittepresset som høyt, i tillegg til at fisken oppholder seg i sjøen over en lang periode utover sommeren. Fra 2020 er redusert marint leveområde estimert å være > 30 %. Det er godt samsvar mellom modellresultater og observasjoner og risiko knyttet til negative effekter på sjøørreten grunnet lakselussmitte fra oppdrett vurderes å være høy.

Det var få rapporterte utbrudd av infeksiøs lakseanemi (ILA) i området i 2021 og 2022 og det ble ikke gjort noen funn av ILA-virus hos vill laksefisk i samme periode. Det var 32 og 27 utbrudd av pankreassykdom (PD) i området i henholdsvis 2021 og 2022 og det ble gjort funn av SAV-smitte i rømt oppdrettslaks i Sognefjorden i 2022. Risiko for endring i forekomst av ILA hos villaks som følge av virussmitte fra fiskeoppdrett vurderes å være lav, mens den for PD vurderes å være moderat. Kunnskapsstyrken vurderes imidlertid som svak og kan gi opphav til overraskende hendelser med kritisk store konsekvenser, her markert som en sort svane (Figur 6.2).

For produksjonsområde 4 har det vært rapportert moderate rømmingstall i perioden 2017-2021, moderat innslag av rømt oppdrettslaks i elvene og dårlig effekt av utfisking. Villfiskens bestandsstatus vurderes som dårlig, og det er påvist et høyt nivå av genetisk endring i villaksbestandene i området. Det mangler kunnskap knyttet til omfanget av rømming og påvirkning fra rømming i andre produksjonsområder, men det er god dekning både i overvåkingsprogrammet og for vurdering av genetisk status i området. Risikoen vurderes som høy knyttet til ytterligere genetiske endringer som følge av innkryssing fra oppdrettslaks i produksjonsområde 4.

Hvordan bruken av kobberimpregnering fordeler seg i området er ukjent, men basert på miljøundersøkelsene har vi til en viss grad oversikt over lokalitetene med forhøyede kobberverdier. For produksjonsområde 4 vurderes risikoen som høy knyttet til miljøeffekter av kobberutslipp fra fiskeoppdrett.

Risikoen knyttet til bruk av villfanget leppefisk i fiskeoppdrett vurderes som moderat for produksjonsområde 4. Det er i praksis liten eller ingen behandling av verken transportmiddel eller transportvannet før det tømmes ut i mottaksområdet. Resultatet er redusert biosikkerhet med spredning av sykdom som mulig konsekvens. Innførsel av kjente og ukjente sykdommer med transport av levende fisk samt flytting av levende fisk over større geografiske områder, vurderes som en mulig overraskelse som kan ha svært negativ innvirkning på norsk oppdretts- og villfisk, her markert som en sort svane (Figur 6.2).  

Produksjonen av laksefisk er høy i området, noe som medfører høye utslipp både av spillfôr, fekalier og næringssalter. Overvåkingsdata indikerer imidlertid at miljøtilstanden er god og risiko knyttet til miljøeffekter som følge av utslipp av næringssalter og partikulært organisk materiale vurderes som lav.

Det vurderes å være høy eller moderat risiko knyttet til et flertall av miljøpåvirkningene fra fiskeoppdrett samt dødelighet for oppdrettslaks i sjø, og risikoreduserende tiltak bør vurderes for disse for å sikre et bærekraftig havbruk i produksjonsområdet.

6.3 - Dødelighet hos laks og regnbueørret i sjø

I produksjonsområde 4 ble det satt ut ca. 31 millioner laks i 2020, ca. 33 millioner i 2021 og ca. 28 millioner i 2022 (data fra Fiskeridirektoratets biomassedatabase). Ved utgangen av 2022 var all fisken fra 2020-generasjonen ferdig produsert og med en totaldødelighet (inkl. utkast) på 23 %. Dette er noe bedre enn generasjonen før som fikk en dødelighet på 27 %, men vesentlig høyere enn landsgjennomsnittet på 15 % for 2020-generasjonen. Det var fortsatt nesten 10 % og nesten 90 % igjen av 2021- og 2022-generasjonene ved årsskiftet 2020/23. For 2021- og 2022-generasjonene er dødeligheten foreløpig 20 % og 7 %, men de endelige tallene ventes å bli høyere siden det fortsatt er laks i sjø fra disse generasjonene. Det ser dermed ikke ut til å ha vært noen vesentlig endring i dødelighet for produksjonsområde 4 i 2022 i forhold til tidligere, og den er fortsatt vesentlig høyere enn landsgjennomsnittet. 2020-generasjonen hadde to påvisninger av ILA, 2021-generasjonen to, og 2022-generasjonen har så langt en påvisning av ILA. Påvist PD-smitte for 2022-generasjonen er så langt ca. 15 % av anleggene og ca. 45 % i de to foregående generasjonene. Totalt sett vurderes derfor sannsynligheten en laks har i en oppdrettsmerd i produksjonsområde 4 til å få så dårlig velferd at den dør eller blir regnet som utkast i 2023 som høy (vesentlig over landsgjennomsnittet).

Produksjonsområde 4 er produksjonsområdet hvor det produseres klart mest regnbueørret. I 2020 ble det satt ut ca. 16 millioner regnbueørret, 14 millioner i 2021 og over 17 millioner i 2022. Ved utgangen av 2022 var all fisken fra 2020-generasjonen ferdig slaktet. Denne generasjonen fikk en dødelighet (inkl. utkast) fra utsett til slakt på 13 %. Dette er på samme nivå som to foregående generasjonene som hadde en dødelighet på henholdsvis 13 og 15 %. For 2021-generasjonen er over 10 % av regnbueørreten fortsatt i sjø med en foreløpig akkumulert dødelighet på 10 %. Siden denne fisken vil bli slaktet ut i de nærmeste månedene, forventer vi at den totale dødeligheten for 2021-generasjonen vil ligge på nivå med eller litt lavere enn for de tidligere nevnte generasjonene. Totalt sett vurderes derfor sannsynligheten en regnbueørret har i en oppdrettsmerd i produksjonsområde 4 til å få så dårlig velferd at den dør eller blir regnet som utkast i 2023, som moderat (nært landsgjennomsnittet for laks).

Det må tas forbehold om at Fiskeridirektoratets biomassedatabase egentlig ikke er laget for å overvåke dødelighet, og kan inneholde feil som noen ganger kan gi utslag i avvikende enkeltverdier. For produksjonsområde 4 er det imidlertid relativt mange lokaliteter å basere tallene på, og det er relativt lite variasjon i tallene fra år til år både for oppdrettslaks og regnbueørret, og kunnskapsstyrken som ligger til grunn for analysene vurderes derfor som god. Risiko knyttet til dødelighet hos laks i merd vurderes som høy, mens den for regnbueørret i merd vurderes som moderat for produksjonsområde 4.

6.4 - Dødelighet hos utvandrende postsmolt laks og negative effekter på sjøørret og sjørøye som følge av utslipp av lakselus fra fiskeoppdrett

Det antas at utvandringen av laks fra elvene i produksjonsområde 4 hovedsakelig foregår i tidsrommet 28. april – 7. juni, mens dato for median utvandring (dato når halvparten av smolten har vandret ut) er satt til 18. mai. Smoltutvandringen er relativt godt kartlagt for enkelte av elvene i de større fjordsystemene i området (Osterfjorden, Masfjorden, Sognefjorden og Nordfjord). Fisken fra de indre elvene i Sognefjorden har landets lengste vandringsruter fra elv til kyst, mens fisk fra de ytre elvene har betydelig kortere utvandringstid.

Utslippene av lakselus fra oppdrettsanlegg i produksjonsområde 4 har vært høye for produksjonsområdet i perioden 2016-2022. Indre deler av flere av fjordene i området er nasjonale laksefjorder hvor det ikke tillates oppdrett av laksefisk. Utbredelsen av områder med høy tetthet av lakselus viser at tettheten oftest er høyest de ytre delene av fjordene og i kyststrøkene. Samtidig kan det i perioder med innadgående strømmer transporteres store mengder av lakselus langt innover også i de nasjonale laksefjordene. Området har betydelig brakkvannslag i de indre delene av fjordene som skaper områder som lus unnviker. Området med brakkvann øker noe for sent utvandrende laks, men med betydelig variabilitet innen og mellom år. Modellestimater viser høyere påvirkning fra lakselus i årene etter 2015 i forhold til 2012-2014, men med mellomårlig svingning. Fra 2019 har estimert dødelighet for elvene i produksjonsområdet har vært rundt 30 %. Sannsynlighet for dødelighet hos utvandrende postsmolt laks som følge av utslipp av lakselus fra fiskeoppdrett vurderes derfor som høy i produksjonsområde 4.

Kunnskapen om utslipp av lakselus er basert på omfattende tellinger i oppdrettsanleggene over flere år av voksne lakselus som er enkle å telle. Antall fisk i oppdrettsanleggene vurderes også som relativ sikre data. Beregningene av tetthet av lakselus er basert på godt utprøvde hydrodynamiske modeller som dekker hele landet. Det er også relativt god kunnskap om utvandringstidspunkt og vandringsruter for postsmolten og beiteperiode for sjøørreten. Totalt sett vurderes kunnskapsstyrken som god for utvandrende postsmolt laks. Risikoen knyttet til dødelighet hos utgående postsmolt laks som følge av lakselussmitte fra oppdrett i produksjonsområde 4 vurderes som høy.

Sjøørret antas å vandre ut om våren omtrent på samme tid som laks og at den bruker området over en lengre periode. Det er gjort studier av atferden til sjøørret fra flere elver i området, som viser at noen sjøørret fra de indre elvene beiter i ytre deler av fjordene. Sjøørret selv fra de indre elvene på beitevandring vil derfor trolig ha høy sannsynlighet for overlapp med lakselus. For beitende sjøørret indikerer modellresultatene for årene 2020-2022 at det er mer enn 30 % redusert marint leveområde både ved normal og sein utvandring, oftest moderat (10-30 %) ved tidlig utvandring. Sannsynlighet for negative effekter for sjøørret som følge av utslipp av lakselus fra fiskeoppdrett vurderes derfor som høy i produksjonsområde 4. Kunnskapen om utslipp og tetthet av lakselus er basert på det samme datagrunnlaget som for utvandrende postsmolt laks, men det mangler kunnskap om sjøørretens tålegrenser og atferdsrespons for lakselus. Totalt sett vurderes kunnskapsstyrken som moderat. Risiko knyttet til negative effekter på sjøørret som følge av lakselussmitte fra oppdrett vurderes som høy i produksjonsområde 4.

6.5 - Endring i forekomst av infeksiøs lakseanemi og pankreassykdom hos villaks som følge av virussmitte fra fiskeoppdrett

Det var ett rapportert utbrudd av infeksiøs lakseanemi (ILA) i produksjonsområde 4 i 2021, mens det i 2022 er påvist tre ILA-tilfeller. Det ble rapportert 32 tilfeller (28 bekreftet) av pankreassykdom (PD) forårsaket av SAV i området i 2021 og 27 tilfeller (21 bekreftet) i 2022. Havforskningsinstituttets overvåkingsprogram for virus i villaks og rømt oppdrettslaks undersøkte utvandrende postsmolt villaks i Sognefjorden i 2022. Det ble funnet tre fisk med SAV (av 100), men ingen fisk med ILAV. Forekomst av ILAV og SAV hos villaks (ung/tilbakevandrende) i elv og rømt oppdrettslaks ble ikke undersøkt i produksjonsområde 4.

 

ILA PO4
Figur 6.3. Påviste og mistenkte funn av infeksiøs lakseanemi (ILA) i 2021 og 2022 i produksjonsområde 4. (Kilde Fiskeridirektoratet og BarentsWatch, januar 2023).

 

 

PD PO4
Figur 6.4. Påviste og mistenkte funn av pankreassykdom PD i 2021 og 2022 i produksjonsområde 4. (Kilde Fiskeridirektoratet og BarentsWatch, januar 2023).

 

Det er kun rapportert inn et fåtall rømt oppdrettslaks for området i 2021. I 2022 ble det rapportert to moderat store rømminger av regnbueørret. Det var ikke rapportert sykdom på denne fisken rundt rømmingstidspunktet. I oktober 2022 rømte et betydelig antall smittet oppdrettslaks ved Vadheim i Sognefjorden. Fisken var angivelig smittet med en rekke virussykdommer. Det er rapportert generelt få rømte oppdrettslaks i de tilstøtende produksjonsområdene 3 og 5, noe som tilsier lav sannsynlighet for at rømt laks med ILAV eller SAV skal vandre inn i produksjonsområde 4 og utgjøre en smittefare.

Med få utbrudd av ILA i 2021-22 og ingen påvisninger av ILAV i villfisk, vurderes sannsynligheten for endring i forekomst av ILA hos vill laksefisk som følge av smitte fra oppdrett som lavi produksjonsområde 4. Det var et høyt antall tilfeller av PD både i 2021 og 2022, men få funn av SAV i utvandrende postsmolt laks. Den betydelige rømmingen, med undersøkelser som indikerer store mengder SAV i fisken og en mulig aktiv sykdomstilstand og virusutskillelse, gir økt sannsynlighet for endring i forekomst av SAV hos vill laksefisk som følge av smitte fra oppdrett. Denne hendelsen vil kunne bidra til unormalt høy smitte til villfisk, spesielt i nærheten av lokaliteten i Sognefjorden, men usikkerheten er i dette tilfellet meget høy. Totalt sett vurderes det å være moderat sannsynlighet for endring i forekomst av SAV hos vill laksefisk som følge av smitte fra oppdrett i produksjonsområde 4.

Det er lite kunnskap om hvor mye ILAV og SAV som slippes ut fra anleggene og om hvor mye smittet oppdrettslaks det faktisk er i elvene. Kunnskapen om hvor smittsomme de to virusene er i naturen, om virusets robusthet, minste infeksiøse dose og graden av spredning og fortynning av viruset i området vurderes også som svak. Det er noe overvåkingsdata fra området som gir moderat kunnskap om konsekvensen av ILAV og SAV-smitte av villaks i naturen. Det finnes en del erfaringskunnskap og data om konsekvenser fra oppdrett og fra laboratorieforsøk med oppdrettsfisk og noe på villaks, men ingen fra villaks i naturen. Kunnskapsstyrken knyttet til vurderingen av forekomst av ILA og PD hos villaks som følge av virussmitte fra fiskeoppdrett vurderes derfor totalt sett å være svak. Svak kunnskapsstyrke kan gi opphav til såkalte overraskende hendelser med kritisk store konsekvenser. Risikoen knyttet til endring i forekomst av ILA vurderes likevel som lav i produksjonsområde 4 basert på få rapporterte utbrudd og ingen funn i villfisk. Risiko knyttet til endring i forekomst av PD hos villfisk vurderes å være moderat.

Foreløpige data for sykdom og rømming for 2022 er hentet fra Veterinærinstituttet og karttjenestene BarentsWatch og Yggdrasil (Fiskeridirektoratet). Disse data er ennå ikke kvalitetssikret og det er variasjon mellom kildene.

6.6 - Ytterligere genetisk endring hos villaks som følge av innkryssing av rømt oppdrettslaks

Det ble rapportert om totalt 24 253 rømte oppdrettslaks i produksjonsområde 4 i perioden 2017–2021, der de høyeste rømmingstallene forekom i 2019 hvor det i etterkant av én rømmingshendelse ble rapportert inn drøyt 17 000 rømte oppdrettslaks, mens det i 2021 kun ble meldt om 110 rømt laks. Foreløpig statistikk fra Fiskeridirektoratet for 2022 viser det har vært en del rømmingshendelser i området og at det var en stor hendelse ved Vadheim i oktober der det ble rapportert om lag 35 000 rømte oppdrettslaks. Gjennomsnittlig 31 av totalt 43 vassdrag ble undersøkt årlig gjennom Overvåkningsprogrammet i perioden 2017-2021. Det var 5 % av vassdragene i området med høy andel og 17 % med moderat andel av rømt oppdrettslaks i perioden 2017-2021. I 2021 var det ett vassdrag med høy og fem vassdrag med moderat andel av rømt oppdrettslaks. Av vassdrag med høy og middels andel av rømt laks ble det samme år gjennomført utfisking i gjennomsnittlig 71 % og 58 % av vassdragene i perioden 2017-2021. Til sammen er 564 rømte oppdrettslaks fjernet og verifisert fra vassdragene i området i samme periode (17 ble fjernet i 2021).

 

Andel PO4
Figur 6.5. Lokalisering av elver hvor andel rømt oppdrettslaks i 2021 ble vurdert av Overvåkningsprogrammet for rømt oppdrettslaks i vassdrag og lokaliteter som rapporterte om rømming av oppdrettslaks til Fiskeridirektoratet i 2021 og 2022 (foreløpig statistikk 1.1.2023).

 

Det er gjort vurdering av genetisk status i 33 av totalt 43 villaksbestander i produksjonsområdet som utgjør 94 % av produksjonsområdets totale gytebestandsmål. I 18 av villaksbestandene i området er det observert stor (15) eller moderat (3) genetisk endring som følge av innkryssing av oppdrettslaks, i 11 av vassdragene er det indikert svake genetiske endringer og det er fire bestander der det ikke er observert noen genetisk endring. Totalt sett vurderes det at villaksbestandene i området har et høyt nivå av innkryssing fra oppdrettslaks.

Basert på moderat høye rømmingstall, moderat innslag av rømt oppdrettslaks i elvene og dårlig effekt av utfisking for området, ettersom det er elver med høyt og middels innsalg hvor det ikke har vært utfisking, vurderes det totalt sett å være moderat sannsynlighet for forekomst av rømt oppdrettslaks på gyteplassene i produksjonsområdet. Villfiskens bestandsstatus i området vurderes som dårlig, og det er allerede påvist et høyt nivå av genetisk endring i villaksbestandene i området. Bestandenes robusthet mot ny innkryssing vurderes derfor som dårlig og det vurderes totalt sett at sannsynligheten for ytterligere genetisk endring som følge av innkryssing fra oppdrettslaks i produksjonsområdet er høy, da det de tre siste årene har vært elver med høy andel rømt oppdrettslaks. Det mangler kunnskap knyttet til omfanget av rømming og påvirkning fra rømming i andre produksjonsområder. Det vurderes å være god kunnskap knyttet til utfisking og genetisk status, men moderat kunnskap om hvor mye rømt laks det er i elvene i området. Kunnskapsstyrken vurderes totalt sett som moderat. Risiko knyttet til ytterligere genetiske endringer som følge av innkryssing fra rømt oppdrettslaks vurderes som høy i produksjonsområde 4.

6.7 - Miljøeffekter som følge av utslipp av løste næringssalter fra fiskeoppdrett

Produksjonsområde 4 hadde i 2021 estimerte årlige utslipp fra fiskeoppdrett på 6160 tonn løst nitrogen og 819 tonn løst fosfor fordelt på et sjøareal på 5258 km². Dette vil gi et utslipp på 1172 kg løst nitrogen og 156 kg løst fosfor per km² årlig. Beregnet økning av planteplanktonproduksjonen som skyldes utslipp fra fiskeoppdrett er 12 % i produksjonsområdet.

De fleste matfiskanlegg ligger i områder med god spredningsstrøm i overflatelaget, men produksjonsområdet har også flere vannforekomster der vannutskiftningen sannsynligvis ikke er så god. Selv om en god del vannforekomster er mulige risikoområder, er det svært god og god miljøtilstand for næringssalter og klorofyll på alle målestasjoner i produksjonsområdet. Sannsynligheten for miljøeffekter som følge av utslipp av løste næringssalter fra fiskeoppdrett vurderes som lav i produksjonsområdet. Det finnes ikke måledata for området nord for Sognefjorden. Kunnskapsstyrken sannsynlighetsberegningen hviler på, vurderes som moderat. Selv om det mangler måledata fra enkelte områder, er beregnet økning i planteplanktonproduksjon lav, og samlet sett vurderes det å være lav risiko knyttet til miljøeffekter som følge av økt næringssalttilførsel fra fiskeoppdrett i produksjonsområde 4.

6.8 - Miljøeffekter som følge av partikulære organiske utslipp fra fiskeoppdrett

Forbruket av fôr i produksjonsområde 4 var på 221 329 tonn i 2021. Basert på massebalansebudsjett der estimert utslipp av fekalier er beregnet til 29,2 % og estimert fôrspill til 5-11 % av fôrmengden, utgjør dette et utslipp av 64 628 tonn fekalier og 11 066-24 346 tonn spillfôr i produksjonsområdet, fordelt på 119 matfiskanlegg, som gir et snitt på 543 tonn fekalier og 93-205 tonn spillfôr per matfiskanlegg. I 2022 er fôrforbruket estimert til 222 654 tonn i området.

Det ble gjennomført totalt 46 B-undersøkelser i produksjonsområde 4 i 2021. 41 ble vurdert til tilstandsklasse «meget god» og «god», tre til «dårlig» og to til «meget dårlig». I 2022 ble det gjennomført 68 B-undersøkelser på til sammen 67 lokaliteter, der seks lokaliteter ble vurdert som «dårlig» og tre som «meget dårlig», resten som «meget god» eller «god». Det ble gjennomført totalt 73 C-undersøkelser i produksjonsområdet i perioden 2017 til 2021, der 71 var i tilstandsklasse «svært god» og «god», en lokalitet i «moderat» og et i «dårlig». I 2022 ble det gjennomført C-undersøkelser ved fire lokaliteter i området.

Basert på at 100 av totalt 114 B-undersøkelser (88 %) og 71 av 73 C-undersøkelser (97 %) i området ble vurdert som «meget/svært gode» og «gode», vurderes sannsynligheten for miljøeffekter som følge av partikulære organiske utslipp fra fiskeoppdrett som lav i produksjonsområde 4. Resultatene fra B- undersøkelsene viser at 12 % ligger i «dårlig» eller «meget dårlig» tilstand. Anlegg med slik tilstand blir imidlertid tettere overvåket og dermed registrert flere ganger over perioden 2021-2022. Det vil ytterligere bli innført endringer så miljøtilstanden kan forbedres. Massebalansebudsjettet som brukes til estimering av utslipp og fekalier vurderes som god og kunnskapsstyrken vurderes totalt sett som god. I sum vurderes risikoen knyttet til miljøeffekter på bløtbunn som følge av partikulære organiske utslipp fra fiskeoppdrett som lav for produksjonsområde 4.

Foreløpige data for B- og C-undersøkelsene for 2022 er hentet fra Fiskeridirektoratet.

6.9 - Miljøeffekter som følge av utslipp av kobber fra fiskeoppdrett

Estimert utslipp av kobber brukt som antigroemiddel basert på oppdrettsandel (11 %) og areal (5258 km2) i produksjonsområde 4 er på 17 kg kobber per km²  i 2021, og vurderes som moderat. Utslipp fra fisken på grunn av kobber i fôret utgjør 0,4 kg per km2. I produksjonsområdet ble det gjennomført 70 C-undersøkelser i perioden 2017–2021. Miljøundersøkelsene viser at 41 % av lokalitetene i området har dårlig miljøtilstand i anleggssonen som vurderes å gi en høy sannsynlighet for økte konsentrasjoner i sedimentet.

Modellsimuleringer der vi har antatt at 28 % av kobberet lekker ut til vannsøylen, viser at passivt utlekket kobber kan gi et vesentlig bidrag til den totale kobberkonsentrasjonen i et fjordsystem, i størrelsesorden 0,2-0,4 μg/l. I trange fjorder med dårlig vannutveksling kan bidraget periodevis være opp til 1 μg/l. Spyling eller høytrykksspyling av kobberimpregnerte nøter vil kunne gi pulser med høyere konsentrasjoner. Mange av lokalitetene i området har blitt brukt over flere år og ligger i fjorder eller mindre eksponerte områder. Siden kobber akkumulerer i sedimentene der strømforholdene gir liten grad av spredning, kan gjentatte utslipp over tid være en del av forklaringen for hvorfor såpass stor andel av anleggene har forhøyede verdier av kobber i sedimentet i anleggssonen. Totalt vurderes det å være høy sannsynlighet for negative miljøeffekter av kobber i produksjonsområde 4.

Det mangler overvåkingsdata på kobberverdier i vannsøylen og det er derfor heller ikke mulig å vurdere hvordan løst kobber påvirker marine organismer som lever i vannmassene. Det er også behov for mer kunnskap om hvor mye av kobberet i sedimentet som er tilgengelig for organismer som lever i og på havbunnen nær anleggene og hva toleransegrensen for kobber er i disse organismene. Kunnskapsstyrken som ligger til grunn for sannsynlighetsberegningen vurderes som moderat. Risiko knyttet til miljøeffekter som følge av utslipp av kobber fra fiskeoppdrett vurderes som høy i produksjonsområde 4, og for å unngå en videre økning i akkumulering av kobber i området anbefales det at kobberforbruket reduseres eller utfases på de lokalitetene som har påvist høye verdier i miljøundersøkelsene.

6.10 - Miljøeffekter ved bruk av villfanget leppefisk i fiskeoppdrett

Data og informasjon om fangst og utsett av villfanget leppefisk samsvarer ikke med produksjonsområdene, da dette er oppgitt for henholdsvis tre ulike fiskerisoner og på fylkesnivå. Produksjonsområde 3 inngår i fangstområde «Vestlandet» der kvoten for fangst av leppefisk er satt til 10 millioner fisk. I 2021 ble i overkant av 11,5 millioner leppefisk fangstet i dette området. Fisket fordelte seg på de fire artene bergnebb (3,1 millioner), grønngylt (7,3 millioner), berggylt (1,0 million) og gressgylt (200 000). Detaljert oversikt over hvordan fiskeriet fordeler seg mellom produksjonsområdene innenfor fiskerisone «Vestlandet» vites ikke, heller ikke geografisk område for fisket. Etter innføring av en rekke seleksjonsinnretninger i fangstredskapene, antas bifangst av undermåls leppefisk og andre arter å være redusert og det vurderes å være lite eller ubetydelig endring i bestandene av bifangstarter som følge av fiske etter leppefisk. 

Siden mesteparten av transporten av villfanget leppefisk i området foregår via småbåter og tankbiler, og i tillegg er unntatt akvakulturforskriften, er det i praksis liten eller ingen behandling av verken transportmiddel eller transportvannet før det tømmes ut i mottaksområdet. Det finnes ingen nøyaktig oversikt over hvor den villfangete leppefisken transporteres og settes ut, men det benyttes både importert og lokalt fanget og leppefisk i produksjonsområdet. Bruk av lokalt fanget leppefisk reduserer sannsynligheten både for smittespredning og genetisk påvirkning på lokale leppefiskbestander. Basert på at fisket har vært noe høyere enn tillatt kvote for høsting av leppefisk og en antakelse om at den villfangede leppefisken er en blanding av importert og lokalt fanget, vurderes det å være moderat sannsynlighet for miljøeffekter ved bruk av villfanget leppefisk i produksjonsområde 4. Det er manglende kunnskap om smittestatus og i hvilken grad den villfangete leppefisken rømmer fra oppdrettsanleggene i området. Det er heller ikke gjennomført genetiske undersøkelser i områder der det brukes mye leppefisk for å finne ut om rømt leppefisk har krysset seg inn med lokale bestander. Det er også begrenset kunnskap om bestandsutviklingen av de ulike leppefiskartene og kunnskapsstyrken vurderingen hviler på, vurderes totalt sett som moderat. Forankret i manglende kunnskap er det stor usikkerhet knyttet til hvor og hvilken sykdom som vil overføres og spres. Sykdommene som spres kan være tilfeller av både «nye», hittil ukjente sykdommer, eller sykdommer som er kjente, men nye for en gitt art eller i et område. Innførsel av kjente og ukjente sykdommer med transport av levende fisk samt flytting av levende fisk over større geografiske områder, vurderes som en mulig overraskelse som kan ha svært negativ innvirkning på norsk oppdretts- og villfisk. Risikoen knyttet til miljøeffekter ved bruk av villfanget leppefisk i fiskeoppdrett, vurderes som moderat i produksjonsområde 4.

7 - Produksjonsområde 5, Stadt til Hustadvika

7.1 - Beskrivelse av produksjonsområdet

I produksjonsområde 5 var det i 2021 og 2022 henholdsvis 37 og 38 oppdrettslokaliteter som i løpet av året rapporterte inn fisk. Området hadde i 2021 en gjennomsnittlig månedlig stående biomasse på 43 460 tonn laksefisk med totalt uttak til slakt på 76 048 tonn laks og 11 441 tonn regnbueørret. Produksjonstall for 2022 er på 37 331 tonn laks og 4724 tonn regnbueørret i gjennomsnittlig månedlig stående biomasse med et uttak til slakt i samme periode på 61 808 tonn laks og 11 886 tonn regnbueørret (Fiskeridirektoratets biomassestatistikk, 25.1.2023). Totalt areal for produksjonsområdet er på 14 909 km2, sjøareal er 4933 km2 og sjøareal innenfor grunnlinjen er på 3694 km2.

Produksjonsintensitet PO5
Figur 7.1. Godkjente akvakulturlokaliteter for laks, ørret og regnbueørret og produksjonsintensitet (gjennomsnittlig biomasse per måned i tonn per km2) i vannforekomstene i produksjonsområde 5 Stadt til Hustadvika i perioden 2020-2021. Kilde Fiskeridirektoratet.

 

Middeltemperaturen i de øvre vannmassene i produksjonsområde 5 ligger normalt på rundt 14 ℃ om sommeren og 5-6 ℃ om vinteren. Vinteren 2021 fra januar til april var kald, mens perioden mai til august var relativ varm, spesielt varmt i juni og juli. Både vinter, vår og sommer 2022 hadde nær normale temperaturer, med unntak av august som var noe kald. Ferskvannsavrenning og brakkvannsstyrke hadde relativt normale verdier gjennom vår og sommer 2021, mens i 2022 var ferskvannsavrenningen til området høyere enn normalt, spesielt i juni. Dette ga en brakkvannsstyrke som også var sterkere enn normalt. Mens mai 2022 hadde nær normale overflatesaltholdigheter, så var juni mer preget av lave saltholdigheter.

Matfiskproduksjonen foregår i fjorder, middels eksponerte fjordområder og en mindre del på bølgeeksponert kyst. De fleste matfiskanlegg ligger i områder med god spredningsstrøm i overflatelaget. Det er kun en vannforekomst i området med produksjonsintensitet (gjennomsnittlig biomasse per måned, tonn/km2) på over 100 tonn tonn/km2, Rusetbugen (304 tonn/km2), men denne vannforekomsten er svært liten (4 km2).

Det er totalt 46 laksevassdrag i produksjonsområdet. Gytebestandsmålet blir nådd for de fleste vassdragene i produksjonsområdet i perioden 2017-2021, men det høstbare overskuddet er redusert eller nesten borte i flere vassdrag i den sørlige delen av produksjonsområdet, spesielt de siste årene. Vassdragene i Raumaregionen ble friskmeldt i 2019 etter langvarig behandling mot lakseparasitten Gyrodactylus salaris. Vassdragene med full vurdering utgjør kun 55 % av det samlede gytebestandsmålet i produksjonsområdet, men dette skyldes i hovedsak at vassdragene i Raumaregionen ikke blir vurdert fordi de er under oppbygging. Vurdering av bestandsstatus er basert på årlige vurderinger gjort av Vitenskapelig råd for lakseforvaltning (VRL), aggregert per produksjonsområder for «Rømt oppdrettslaks – risikovurdering og kunnskapsstatus 2023». 

7.2 - Oppsummering av risiko knyttet til dyrevelferd og miljøeffekter av fiskeoppdrett for produksjonsområde 5

PO5 oppsummering
Figur 7.2. Oppsummering av risiko knyttet til dyrevelferd og miljøeffekter av fiskeoppdrett for produksjonsområde 5.

Dødeligheten (fisk rapportert som død eller utkast) for oppdrettslaksen i produksjonsområde 5 har gått fra under til vesentlig over landsgjennomsnittet på 15 % fra 2018 til 2020. Det er også produksjon av regnbueørret i området, og dødeligheten på regnbueørreten har som hos oppdrettslaksen steget fra et relativt lavt nivå på 11 % til 16 % i samme periode. Basert på dødelighetstallene vurderes risiko knyttet til dødelighet i sjø som høy for oppdrettslaks og moderat for regnbueørret.

Utslippene av lakselus i produksjonsområde 5 har variert fra lav til moderat i perioden 2012-2022 og smittepresset i området har variert fra lavt til moderat. Dødelighet hos utvandrende postsmolt laks som følge av lakselussmitte fra oppdrett er estimert til å være moderat de fleste år (10-30 % dødelighet). Risiko knyttet til dødelighet av postsmolt laks grunnet lakselus i produksjonsområde 5 vurderes som moderat.

For sjøørret vurderes også smittepresset som høyt, i tillegg til at fisken oppholder seg i sjøen over en lang periode utover sommeren. Fra 2020 er redusert marint leveområde estimert å være > 30 %. Det er godt samsvar mellom modellresultater og observasjoner, og risiko knyttet til negative effekter på sjøørreten grunnet lakselussmitte fra oppdrett vurderes å være høy.

Det var få rapporterte utbrudd av infeksiøs lakseanemi (ILA) i området i 2021 og 2022, og det ble ikke gjort noen funn av ILA-virus hos vill laksefisk i samme periode. Det var 3 og 3-4 utbrudd av pankreassykdom (PD) i området i henholdsvis 2021 og 2022 og det ble gjort funn av SAV-smitte hos to utvandrende postsmolt. Risiko for endring i forekomst av ILA og PD hos villaks som følge av virussmitte fra fiskeoppdrett vurderes å være lav. Kunnskapsstyrken vurderes imidlertid som svak og kan gi opphav til overraskende hendelser med kritisk store konsekvenser, her markert som en sort svane (Figur 7.2).

For produksjonsområde 5 har det vært rapportert lave rømmingstall i perioden 2017-2021, moderat innslag av rømt oppdrettslaks i elvene og dårlig effekt av utfisking. Villfiskens bestandsstatus vurderes som dårlig og det er alt påvist et høyt nivå av genetisk endring i villaksbestandene i området. Det mangler kunnskap knyttet til omfanget av rømming og påvirkning fra rømming i andre produksjonsområder, det er moderat dekning i overvåkingsprogrammet, men god dekning for vurdering av genetisk status i området. Risikoen vurderes som moderat knyttet til ytterligere genetiske endringer som følge av innkryssing fra oppdrettslaks i produksjonsområde 5.

Hvordan bruken av kobberimpregnering fordeler seg i området er ukjent, men basert på miljøundersøkelsene har vi til en viss grad oversikt over lokalitetene med forhøyede kobberverdier. For produksjonsområde 5 vurderes risikoen som moderat knyttet til miljøeffekter av kobberutslipp fra fiskeoppdrett.

Risikoen knyttet til bruk av villfanget leppefisk i fiskeoppdrett vurderes som moderat for produksjonsområde 5. Det er i praksis liten eller ingen behandling av verken transportmiddel eller transportvannet før det tømmes ut i mottaksområdet. Resultatet er redusert biosikkerhet med spredning av sykdom som mulig konsekvens. Innførsel av kjente og ukjente sykdommer med transport av levende fisk samt flytting av levende fisk over større geografiske områder, vurderes som en mulig overraskelse som kan ha svært negativ innvirkning på norsk oppdretts- og villfisk, her markert som en sort svane (Figur 7.2).  

Produksjonen av laksefisk ligger under gjennomsnittet for alle produksjonsområdene, noe som gir moderat høye utslipp både av spillfôr, fekalier og næringssalter. Overvåkingsdata indikerer at miljøtilstanden er god og risiko knyttet til miljøeffekter som følge av utslipp av næringssalter og partikulært organisk materiale vurderes som lav.

Det vurderes å være høy eller moderat risiko knyttet til et flertall av miljøpåvirkningene fra fiskeoppdrett samt dødelighet for oppdrettslaks i sjø, og risikoreduserende tiltak bør vurderes for disse for å sikre et bærekraftig havbruk i produksjonsområdet.

7.3 - Dødelighet hos oppdrettslaks og regnbueørret i sjø

Det ble satt ut ca. 17 millioner laks i produksjonsområde 5 i 2020, ca. 16 millioner i 2021 og ca. 24 millioner i 2022 (data fra Fiskeridirektoratets biomassedatabase). Ved utgangen av 2022 var det ikke lenger laks igjen i sjø fra 2020-generasjonen. Fra utsett til slakt fikk denne generasjonen en dødelighet på 19 %. Dette er en betydelig oppgang fra 2018- og 2019-generasjonene som hadde en dødelighet på 14 % og 13 %. Denne utviklingen fortsetter for 2021-generasjonen som ved årsskiftet 2022/23 hadde en dødelighet på 19 %. Rundt 5 % av denne generasjonen har fortsatt ikke blitt slaktet, og vi forventer derfor at den totale dødeligheten fortsatt vil stige litt. Produksjonsområde 5 har altså beveget seg fra å ha en dødelighet like under landsgjennomsnittet på 15 % for 2020-generasjonen, til å ha en dødelighet som ligger vesentlig over.

Verken 2020- eller 2021-generasjonen har hatt påvisning av ILA, men 2022-generasjonen har fått påvisning av ett tilfelle så langt. Et spesielt trekk med produksjonsområde 5 er at det her har vært flere tilfeller av ILA-utbrudd på settefisk- og stamfiskanlegg. Det er så langt rapportert verken mistanke eller påvist PD-smitte for 2022-generasjonen, som er en positiv fortsettelse av nedgangen fra generasjonene før. Gitt den høye dødeligheten for 2020- og 2021-generasjonene vurderer vi sannsynligheten som høy for at en laks i en oppdrettsmerd i produksjonsområde 5 har så dårlig velferd at den dør eller blir regnet som utkast i 2023 (vesentlig over landsgjennomsnittet). Datamaterialet viser noe variasjon, der produksjonsområde 5 oppnådde lavere dødelighet for 2018- og 2019-generasjonene. Videre finner vi en nedgang i PD-smitte. Vi konkluderer med at sannsynlighetsvurderingen bygger på moderat kunnskapsstyrke. Risikoen knyttet til dødelighet hos oppdrettslaks i sjø vurderes som høy i produksjonsområde 5.

Det settes ut et relativt lite antall regnbueørret i produksjonsområde 5 hvert år. I 2020 ble det satt ut ca. 3,1 millioner, i 2021 ca. 2,8 millioner og i 2022 ca. 2,6 millioner. For 2020-generasjonen ble dødeligheten på 16 %, dette er en økning i forhold til 2018- og 2019-generasjonene som begge hadde en dødelighet på rundt 11 %. Denne utviklingen ser ut å fortsette for 2021-generasjonen, som per nå har en dødelighet på 14 % når ca. 5 % av ørreten fortsatt ikke har blitt slaktet og er igjen i sjøen. Det ser ut til å gå svært dårlig for 2022-generasjonen som allerede er oppe i en dødelighet på 16 % med 70 % av ørreten igjen i sjøen. Sannsynligheten en regnbueørret har i en oppdrettsmerd i produksjonsområde 3 til å få så dårlig velferd at den dør eller blir regnet som utkast i 2023, vurderes som moderat. Det er imidlertid få oppdrettsanlegg å basere analysen på. Sykdomsutbrudd eller uhell på enkeltlokaliteter vil derfor ha store utslag på statistikken. Vi forventer derfor ikke at den høye dødeligheten fortsetter i 2023, men blir mer lik som for 2020- og 2021-generasjonene. Få lokaliteter og den høye dødeligheten allerede rapportert for 2022-generasjonen gjør at kunnskapsstyrken vurderes som svak. Risiko knyttet til dødelighet hos regnbueørret i sjø vurderes som moderat for produksjonsområde 4.

7.4 - Dødelighet hos utvandrende postsmolt laks og negative effekter på sjøørret og sjørøye som følge av utslipp av lakselus fra fiskeoppdrett

Utslipp av lakselus i produksjonsområde 5 indikerer økende utslipp i perioden 2012-2015, noe lavere i 2018, høyere i 2019, og lavere i 2020-2022. De høyeste utslippene var i 2019. Da var det mer fisk, høyere antall hunnlus og noe høyere temperatur i området, som sannsynligvis medvirket til høyere utslipp av lus dette året. Et større antall anlegg hadde dessuten mer lus enn tillatte grenser.I området er det to store fjordsystemer, Storfjorden og Romsdalsfjorden. Lavest saltholdighet ses innerst i de store fjordene som gir en beskyttelse mot lakselus i indre deler av området, men vi ser også at strømmene tidvis vil kunne transportere lus langt innover i fjordene.

Det antas at utvandringen av laks fra elvene i området hovedsakelig foregår i tidsrommet 24. april – 17. juni, mens dato for median utvandring (dato når halvparten av smolten har vandret ut) er satt til 24. mai. For laks er tidsforløpet for utvandringen og vandringsrutene godt kartlagt for enkelte elver i Romsdalsfjordsystemet, men ikke for elvene i Storfjord.

Modellresultater for årene 2019-2022 indikerer at det er en del lus i ytre deler av Storfjorden i 2019 og 2021, moderat noe lengre inne i Storfjorden i 2020 og 2022. I Romsdalsfjorden indikerer modellene relativt mye lus i 2019, ett større område med moderat tetthet av lakselus i 2021, og relativt lite i 2020 og 2022. I alle årene er det relativt lave tettheter av lakselus i de indre delene av fjordene. Estimert dødelighet for utgående postsmolt laks viser at i de fleste av årene i perioden 2012-2022 er dødeligheten moderat (10-30 % dødelighet), men det er også elver med høy dødelighet (> 30 % dødelighet). Sannsynlighet for dødelighet hos utvandrende postsmolt laks som følge av utslipp av lakselus fra fiskeoppdrett vurderes totalt sett som moderat i produksjonsområde 5.

Kunnskapen om utslipp av lakselus er basert på omfattende tellinger i oppdrettsanleggene over flere år av voksne lakselus som er enkle å telle. Antall fisk i oppdrettsanleggene vurderes også som relativ sikre data. Beregningene av tetthet av lakselus er basert på godt utprøvde hydrodynamiske modeller som dekker hele landet. Likevel vurderes kunnskapsstyrken knyttet til utslipp som moderat grunnet høy mellomårlig variabilitet og manglende kunnskap om årsakene til situasjonen i 2019. For utvandrende postsmolt laks er tidsforløpet for utvandringen og vandringsrutene godt kartlagt for enkelte elver i Romsdalsfjordsystemet, men ikke for elvene i Storfjord. Kunnskapsstyrken vurderes totalt sett som svak grunnet variabilitet innad i området og mellom år av årsaker vi ikke har kunnskap om, selv om det er god overenstemmelse mellom observasjoner og modeller. Risikoen knyttet til dødelighet hos utgående postsmolt laks vurderes som moderat i produksjonsområde 5.

Sjøørret antas å vandre ut om våren omtrent på samme tid som laks og at den bruker området over en lengre periode. For beitende sjøørret indikerer modellresultatene for årene 2019-2022 at det er stor variasjon i andel redusert marint leveområde ved normal utvandring. I to av årene (2019 og 2021) er det estimert over 30 % redusert område ved normal og sein utvandring. Sannsynlighet for negative effekter for sjøørret som følge av utslipp av lakselus fra fiskeoppdrett vurderes derfor som høy i produksjonsområde 5. Kunnskapen om utslipp og tetthet av lakselus er basert på det samme datagrunnlaget som for utvandrende postsmolt laks, og det mangler kunnskap om sjøørretens tålegrenser og atferdsrespons for lakselus. Totalt sett vurderes kunnskapsstyrken som moderat. Risiko knyttet til negative effekter på sjøørret som følge av lakselussmitte fra oppdrett vurderes som høy i produksjonsområde 5.

7.5 - Endring i forekomst av infeksiøs lakseanemi og pankreassykdom hos villaks som følge av virussmitte fra fiskeoppdrett

Det var ett rapportert utbrudd av infeksiøs lakseanemi (ILA) i produksjonsområde 5 i 2021, mens det i 2022 er rapportert to tilfeller ILA (påviste og/eller mistenkte). Det ble rapportert tre (alle bekreftet) tilfeller av pankreassykdom (PD) i området i 2021 og 4 tilfeller i 2022 (påviste og/eller mistenkte). Havforskningsinstituttets overvåkingsprogram for virus i villaks og rømt oppdrettslaks undersøkte utvandrende postsmolt villaks i Romsdalsfjorden i 2022. Det ble funnet to (av 73) postsmolt med SAV, men ingen fisk med ILAV. Forekomst av ILAV og SAV hos villaks (ung/tilbakevandrende) i elv og rømt oppdrettslaks ble ikke undersøkt i produksjonsområde 5.

 

ILA PO5
Figur 7.3. Påviste og mistenkte funn av infeksiøs lakseanemi (ILA) i 2021 og 2022 i produksjonsområde 5. (Kilde Fiskeridirektoratet og BarentsWatch, januar 2023).

 

 

PD PO5
Figur 7.4. Påviste og mistenkte funn av pankreassykdom PD i 2021 og 2022 i produksjonsområde 5. (Kilde Fiskeridirektoratet og BarentsWatch, januar 2023).

 

Det er kun rapportert inn et lite antall rømt oppdrettslaks for området både i 2021 og 2022. I tilstøtende  produksjonsområder 4 og 6, var det i område 6 rapportert få rømte oppdrettslaks i samme periode. I område 4 ble det rapportert få rømte oppdrettslaks i 2021, mens det i 2022 ble rapportert en del mindre rømmingshendelser, to regnbueørretrømminger, og en lakserømming av betydelig størrelse ved Vadheim i Sognefjorden. Rømt oppdrettslaks fra den betydelige rømmingshendelsen i Sognefjorden, der oppdrettsfisken hadde påvist smitte av blant annet SAV, vil kunne vandre inn i de nærliggende produksjonsområdene i tiden etter rømming. Selv om en større rømming betyr at det kan komme flere rømt fisk enn normalt til nærliggende produksjonsområder, vurderes det likevel at dette vil utgjøre relativt få smittebærende eller syke fisk.Totalt sett vurderes det å være moderat sannsynlighet for at rømt oppdrettslaks med ILAV eller SAV skal vandre inn i produksjonsområde 5 og utgjøre en smittefare.

Med få utbrudd av ILA i 2021-22, få rapporterte rømt oppdrettslaks og ingen påvisninger av ILAV i villfisk, vurderes sannsynligheten for endring i forekomst av ILA hos vill laksefisk som følge av smitte fra oppdrett som lav. Det var få tilfeller av PD både i 2021 og 2022, lave rømmingstall og få funn av SAV i utvandrende postsmolt laks. Totalt sett vurderes det å være lav sannsynlighet for endring i forekomst av SAV hos vill laksefisk som følge av smitte fra oppdrett i produksjonsområde 5.

Det er lite kunnskap om hvor mye ILAV og SAV som slippes ut fra anleggene og om hvor mye smittet oppdrettslaks det faktisk er i elvene. Kunnskapen om hvor smittsomme de to virusene er i naturen, om virusets robusthet, minste infeksiøse dose og graden av spredning og fortynning av viruset i området, vurderes også som svak. Det er noe overvåkingsdata fra området som gir moderat kunnskap om konsekvensen av ILAV og SAV-smitte av villaks i naturen. Det finnes en del erfaringskunnskap og data om konsekvenser fra oppdrett og fra laboratorieforsøk med oppdrettsfisk og noe på villaks, men ingen fra villaks i naturen. Kunnskapsstyrken knyttet til vurderingen av forekomst av ILA og PD hos villaks som følge av virussmitte fra fiskeoppdrett vurderes derfor totalt sett å være svak. Svak kunnskapsstyrke kan gi opphav til såkalte overraskende hendelser med kritisk store konsekvenser. Risiko knyttet til endring i forekomst av sykdom hos villaks som følge av smitte fra oppdrett i produksjonsområde 5 vurderes likevel som lav både for ILA og PD basert på få rapporterte utbrudd, få eller ingen funn i utvandrende postsmolt og moderat rømming både i området og i tilstøtende område.

Foreløpige data for sykdom og rømming for 2022 er hentet fra Veterinærinstituttet og karttjenestene BarentsWatch og Yggdrasil (Fiskeridirektoratet). Disse data er ikke kvalitetssikret og det er variasjon mellom kildene.

7.6 - Ytterligere genetisk endring hos villaks som følge av innkryssing av rømt oppdrettslaks

Det ble rapportert om totalt 4124 rømte oppdrettslaks i produksjonsområde 5 i perioden 2017–2021, der de høyeste rømmingstallene forekom i 2017 og 2019 med henholdsvis 1922 og 2200 rømt oppdrettslaks, mens det i 2021 ble rapportert om kun én rømt fisk. Foreløpig statistikk fra Fiskeridirektoratet viser at det har vært lite rømming i området i 2022. Av totalt 46 vassdrag er det 22 som gjennomsnittlig overvåkes årlig; 3 % av vassdragene i området med høy andel og 13 % med moderat andel rømt oppdrettslaks i perioden 2017-2021. I 2021 var det ingen vassdrag med høy og et vassdrag med moderat andel rømt oppdrettslaks. Av vassdrag med høy og middels andel rømt laks ble det samme år gjennomført utfisking i gjennomsnittlig 67 % og 29 % av vassdragene i perioden 2017-2021. Til sammen er 119 rømte oppdrettslaks fjernet og verifisert fra vassdragene i området i samme periode (3 ble fjernet i 2021).

 

Andel PO5
Figur 7.5. Lokalisering av elver hvor andel rømt oppdrettslaks i 2021 ble vurdert av Overvåkningsprogrammet for rømt oppdrettslaks i vassdrag og lokaliteter som rapporterte om rømming av oppdrettslaks til Fiskeridirektoratet i 2021 og 2022 (foreløpig statistikk 1.1.2023).

 

Det er gjort vurdering av genetisk status i 27 av totalt 46 villaksbestander i produksjonsområdet som utgjør 86 % av produksjonsområdets totale gytebestandsmål. I syv av villaksbestandene i området er det observert stor (6) eller moderat (1) genetisk endring som følge av innkryssing av oppdrettslaks, i 12 av vassdragene er det indikert genetiske endringer og det er 8 bestander der det ikke er observert noen genetisk endring. Totalt sett vurderes det at villaksbestandene i området alt har et høyt nivå av innkryssing fra oppdrettslaks.

Basert på lave rømmingstall, moderat innslag av rømt oppdrettslaks i elvene, men en dårlig effekt av utfisking for området, ettersom det er elver med høyt og middels innsalg hvor det ikke har vært utfisking, vurderes det totalt sett å være moderat sannsynlighet for forekomst av rømt oppdrettslaks på gyteplassene. Det er alt påvist et høyt nivå av genetisk endring i villaksbestandene i området, og villfiskens bestandsstatus i området er noe svekket siden forrige vurdering. Bestandenes robusthet mot ny innkryssing vurderes som dårlig. Til tross for dette, vurderes totalt sett sannsynligheten for ytterligere genetisk endring som følge av innkryssing fra oppdrettslaks i produksjonsområdet fortsatt som moderat, da det de siste årene (2020-2021) ikke har vært elver med høyt innslag av rømt oppdrettslaks i området. Det mangler kunnskap knyttet til omfanget av rømming og påvirkning fra rømming i andre produksjonsområder. Da overvåkingsprogrammet kun dekker gjennomsnittlig 22 av 46 elver i perioden 2017-2021, er det også manglende kunnskap knyttet til om det forekommer rømt oppdrettslaks i disse vassdragene. Så selv om det vurderes å være god kunnskap knyttet til utfisking og genetisk status, vurderes kunnskapsstyrken for området totalt sett som moderat. Risiko knyttet til ytterligere genetiske endringer som følge av innkryssing fra rømt oppdrettslaks vurderes som moderat i produksjonsområde 5.

7.7 - Miljøeffekter som følge av utslipp av løste næringssalter fra fiskeoppdrett

Produksjonsområde 5 hadde i 2021 en produksjon av laksefisk på 87 489 tonn fisk. Estimerte årlige utslipp fra fiskeoppdrett i området var på 3360 tonn nitrogen og 446 tonn fosfor fordelt på et sjøareal på 5258 km². Dette vil gi et utslipp på 910 kg løst nitrogen og 121 kg løst fosfor per km² årlig. Beregnet økning av planteplanktonproduksjonen som skyldes utslipp fra fiskeoppdrett er 9,3 % i produksjonsområdet.

De fleste matfiskanlegg i dette produksjonsområdet ligger i områder med god spredningsstrøm i overflatelaget. Totalt sett vurderes utslippsmengde per sjøareal som lav og utskifting av overflatevann i hovedsak som god, derfor vurderes sannsynligheten for miljøeffekter som følge av utslipp av løste næringssalter fra fiskeoppdrett som lav i produksjonsområdet. Produksjonsområdet har kun noen få stasjoner som overvåkes i ØKOKYST og disse ligger på ytre kyst. Miljødata som finnes viser «god» til «svært god» tilstand for næringssalter. Da det mangler miljødata for store deler av produksjonsområdet, vurderes kunnskapsstyrken som dårlig. Selv om det mangler måledata, er beregnet økning i planteplanktonproduksjon lav. Risiko knyttet til miljøeffekter av løste næringssalter fra fiskeoppdrett vurderes derfor som lav i produksjonsområde 5.

7.8 - Miljøeffekter som følge av partikulære organiske utslipp fra fiskeoppdrett

Forbruket av fôr i produksjonsområde 5 var på 103 389 tonn i 2021. Basert på massebalansebudsjett der estimert utslipp av fekalier er beregnet til 29,2 % og estimert fôrspill til 5-11 % av fôrmengden, utgjør dette et utslipp av 30 190 tonn fekalier og 5169-11 373 tonn spillfôr i produksjonsområde 5, fordelt på 37 matfiskanlegg, som gir et snitt på 816 tonn fekalier og 140-307 tonn spillfôr per matfiskanlegg. I 2022 er fôrforbruket estimert til 107 302 tonn i området.

Det ble gjennomført totalt 20 B-undersøkelser i produksjonsområde 5 i 2021 og 14 i 2022, alle vurdert til tilstandsklasse «meget god» og «god». Det ble gjennomført totalt 37 C-undersøkelser i produksjonsområdet i perioden 2017 til 2021 og alle var i tilstandsklasse «svært god» og «god». I 2022 ble det gjennomført C-undersøkelser ved fem lokaliteter i området.

Basert på at alle B-undersøkelser og alle C-undersøkelser i området ble vurdert som «meget/svært gode» og «gode», vurderes sannsynligheten for miljøeffekter som følge av partikulære organiske utslipp fra fiskeoppdrett som lav i produksjonsområde 5. Beregningene av omtrentlig utslippsmengde basert på fôrforbruket vurderes som god. Resultatene fra B- og C-undersøkelsene vurderes som gode for lokalitetene som ligger over bløtbunn og kunnskapsstyrken vurderes totalt sett som god. Kunnskapsstyrken vurderes totalt sett som god. Risikoen knyttet til miljøeffekter på bløtbunn som følge av partikulære organiske utslipp fra fiskeoppdrett vurderes som lav for produksjonsområde 5.

Foreløpige data for B- og C-undersøkelsene for 2022 er hentet fra Fiskeridirektoratet.

7.9 - Miljøeffekter som følge av utslipp av kobber fra fiskeoppdrett

Estimert utslipp av kobber brukt som antigroemiddel basert på oppdrettsandel (4 %) og areal (3694 km2) i produksjonsområde 5 er på 10 kg kobber per km² i 2021, og vurderes som lavt. Utslipp fra fisken på grunn av kobber i fôret utgjør 0,2 kg per km2. I produksjonsområdet ble det gjennomført 37 C-undersøkelser i perioden 2017–2021. Miljøundersøkelsene viser at 14 % av lokalitetene i området har dårlig miljøtilstand i anleggssonen som vurderes å gi en moderat sannsynlighet for økte konsentrasjoner i sedimentet.

Modellsimuleringer der vi har antatt at 28 % av kobberet lekker ut til vannsøylen, viser at passivt utlekket kobber kan gi et vesentlig bidrag til den totale kobberkonsentrasjonen i et fjordsystem, i størrelsesorden 0,2-0,4 μg/l. I trange fjorder med dårlig vannutveksling kan bidraget periodevis være opptil 1 μg/l. Spyling eller høytrykksspyling av kobberimpregnerte nøter vil kunne gi pulser med høyere konsentrasjoner. Mange av lokalitetene i området har blitt brukt over flere år og ligger i fjorder eller mindre eksponerte områder. Siden kobber akkumulerer i sedimentene der strømforholdene gir liten grad av spredning, kan gjentatte utslipp over tid være en del av forklaringen på hvorfor såpass stor andel av anleggene har forhøyede verdier av kobber i sedimentet i anleggssonen. Totalt vurderes det å være moderat sannsynlighet for negative miljøeffekter av kobber i produksjonsområde 5.

Det mangler overvåkingsdata på kobberverdier i vannsøylen og det er derfor heller ikke mulig å vurdere hvordan løst kobber påvirker marine organismer som lever i vannmassene. Det er også behov for mer kunnskap om hvor mye av kobberet i sedimentet som er tilgengelig for organismer som lever i og på havbunnen nær anleggene og hva toleransegrensen for kobber er i disse organismene. Kunnskapsstyrken som ligger til grunn for sannsynlighetsbetraktningen vurderes som moderat. Risiko knyttet til miljøeffekter som følge av utslipp av kobber fra fiskeoppdrett vurderes som moderat i produksjonsområde 5.

7.10 - Miljøeffekter ved bruk av villfanget leppefisk i fiskeoppdrett

Data og informasjon om fangst og utsett av villfanget leppefisk samsvarer ikke med produksjonsområdene, da dette er oppgitt for henholdsvis tre ulike fiskerisoner og på fylkesnivå. Produksjonsområde 5 inngår i fangstområde "Nord for 62 grader nord» der kvoten for fangst av leppefisk er satt til 4 millioner fisk. I 2021 ble det fangstet nesten 3 millioner leppefisk i dette området. Fisket fordelte seg på de tre artene bergnebb (2,3 millioner), berggylt (600 000) og grønngylt (70 000). Detaljert oversikt over hvordan fiskeriet fordeler seg mellom de ulike produksjonsområdene innenfor fiskerisone "Nord for 62 grader nord» vites ikke, heller ikke geografisk område for fisket. Det er ikke rapportert om utsett av villfanget leppefisk i Nordland og nordover. Etter innføring av en rekke seleksjonsinnretninger i fangstredskapene, antas bifangst av undermåls leppefisk og andre arter å være redusert, og det vurderes å være lite eller ubetydelig endring i bestandene av bifangstarter som følge av fiske etter leppefisk.

Siden transporten av villfanget leppefisk i området i all hovedsak foregår via småbåter og tankbiler, og i tillegg er unntatt akvakulturforskriften, er det i praksis liten eller ingen behandling av verken transportmiddel eller transportvannet før det tømmes ut i mottaksområdet. Det finnes ingen nøyaktig oversikt over hvor den villfangete leppefisken transporteres og settes ut, men det benyttes både importert og lokalt fanget leppefisk i produksjonsområdet. Bruk av lokalt fanget leppefisk reduserer sannsynligheten både for smittespredning og genetisk påvirkning på lokale leppefiskbestander. Selv om høsting av leppefisk har vært innenfor tillatt kvote, har og er det utstrakt bruk av importert villfanget leppefisk i området. Selv om denne bruken er nedadgående, vurderes like vel sannsynligheten for miljøeffekter ved bruk av villfanget leppefisk som moderat i produksjonsområde 5.

Det er manglende kunnskap om smittestatus og i hvilken grad den villfangete leppefisken rømmer fra oppdrettsanleggene i området. Det er heller ikke gjennomført genetiske undersøkelser i områder der det brukes mye leppefisk for å finne ut om rømt leppefisk har krysset seg inn med lokale bestander. Det er også begrenset kunnskap om bestandsutviklingen av de ulike leppefiskartene og kunnskapsstyrken vurderingen hviler på, vurderes totalt sett som moderat. Forankret i manglende kunnskap er det stor usikkerhet knyttet til hvor og hvilken sykdom som vil overføres og spres. Sykdommene som spres kan være tilfeller av både «nye», hittil ukjente sykdommer, eller sykdommer som er kjente, men nye for en gitt art eller i et område. Innførsel av kjente og ukjente sykdommer med transport av levende fisk samt flytting av levende fisk over større geografiske områder, vurderes som en mulig overraskelse som kan ha svært negativ innvirkning på norsk oppdretts- og villfisk. Risikoen knyttet til miljøeffekter ved bruk av villfanget leppefisk i fiskeoppdrett som moderat i produksjonsområde 5.

8 - Produksjonsområde 6, Nordmøre og Sør-Trøndelag

8.1 - Beskrivelse av produksjonsområdet

I produksjonsområde 6 var det i 2021 og 2022 henholdsvis 109 og 108 oppdrettslokaliteter som i løpet av året rapporterte inn fisk. Området hadde i 2021 en gjennomsnittlig månedlig stående biomasse på 142 783 tonn laks med et totalt uttak til slakt på 274 216 tonn laks. Det var ingen produksjon av regnbueørret i området i 2021. Produksjonstall for 2022 er på 140 613 tonn laks i gjennomsnittlig månedlig stående biomasse, med et uttak til slakt i samme periode på 2258 956 tonn (Fiskeridirektoratets biomassestatistikk, 25.1.2023). Totalt areal for produksjonsområdet er på 29 579 km2, sjøareal er 12 371 km2 og sjøareal innenfor grunnlinjen er på 9950 km2.

Produksjonsintensitet PO6
Figur 8.1. Godkjente akvakulturlokaliteter for laks, ørret og regnbueørret og produksjonsintensitet (gjennomsnittlig biomasse per måned i tonn per km2) i vannforekomstene i produksjonsområde 6 Nordmøre og Sør-Trøndelag i perioden 2020-2021. Kilde Fiskeridirektoratet.

 

Middeltemperaturen i de øvre vannmassene i produksjonsområde 6 ligger normalt på 13-14 oC om sommeren og rundt 6 oC om vinteren. Vinteren 2021 fra januar til april var kald, mai hadde normale temperaturer, mens juni og juli var relativt varme. Både vinter, vår og sommer 2022 hadde nær normale temperaturer. Ferskvannsavrenningen og brakkvannsstyrken hadde noe lavere verdier enn normalt gjennom vår og sommer 2021, mens i 2022 var ferskvannsavrenningen til området høyere enn normalt, spesielt i juni. Dette ga en brakkvannsstyrke som også var sterkere enn normalt. Mens mai 2022 hadde nær normale overflatesaltholdigheter, så var juni mer preget av lave saltholdigheter.

Det meste av laksefiskproduksjonen i området foregår på bølgeeksponert kyst, utenom produksjonen som er knyttet til Batnfjorden, Tingvollfjorden og Sunndalsfjorden på Nordmøre, som alle er fjorder der modell viser sjelden utskiftning av bunnvann selv om det ikke finnes observasjoner som bekrefter modellfunnene. Produksjonsintensitet (gjennomsnittlig biomasse per måned, tonn/km2) er lav i disse områdene og ligger på under 100 tonn/km2 i de aktuelle vannforekomstene. Vannforekomstene med høyest produksjonsintensitet er Bremsnesfjorden (237 tonn/km2) og Fillfjorden (193 tonn/km2), men begge vannforekomstene er små og de tilhørende vannforekomstene har en produksjonsintensitet på under 50 tonn/km2.

Det er totalt 76 laksevassdrag i produksjonsområdet. Gytebestandsmålet blir nådd for mange av vassdragene i produksjonsområdet i perioden 2017-2021, likevel har noen av de større vassdragene i produksjonsområdet ikke nådd gytebestandsmålet i enkelte av de siste årene (Orkla og Gaula). Det høstbare overskuddet har også vært lavt, men har bedret seg de senere årene. Vassdragene i Drivaregionen er fortsatt infisert av lakseparasitten Gyrodactylus salaris. Vassdragene med full vurdering utgjør 84 % av det samlede gytebestandsmålet i produksjonsområdet. Vurdering av bestandsstatus er basert på årlige vurderinger gjort av Vitenskapelig råd for lakseforvaltning (VRL), aggregert per produksjonsområder for «Rømt oppdrettslaks – risikovurdering og kunnskapsstatus 2023». 

8.2 - Oppsummering av risiko knyttet til dyrevelferd og miljøeffekter av fiskeoppdrett for produksjonsområde 6

PO6 risiko
Figur 8.2. Oppsummering av risiko knyttet til dyrevelferd og miljøeffekter av i fiskeoppdrett for produksjonsområde 6.

Rapportert dødelighet (inkl. utkast) for oppdrettslaksen i produksjonsområde 6 var 13-16 % for 2018 til 2020-generasjonene, og ligger dermed rundt landsgjennomsnittet på 15 % for 2020-generasjonen. Basert på dødelighetstallene vurderes risiko knyttet til dødelighet hos laks i sjø som moderat for oppdrettslaks i området.

Utslippene av lakselus i produksjonsområde 6 har variert fra moderat til høyt i perioden 2012-2022 og smittepresset i området har variert fra moderat til høyt. Dødelighet hos utvandrende postsmolt laks som følge av lakselussmitte fra oppdrett er estimert til å være moderat de fleste år (10-30 % dødelighet). Risiko knyttet til dødelighet av postsmolt laks grunnet lakselus i produksjonsområde 5 vurderes som moderat.

Sjøørret oppholder seg i sjøen over en lang periode utover sommeren og smittepresset i enkelte områder kan være høyt. For området som helhet vurderes overlapp mellom fisk og lus til å være moderat, da Trondheimsfjorden utgjør en vesentlig del av området. Risiko knyttet til negative effekter på sjøørreten grunnet lakselussmitte fra oppdrett vurderes å være moderat.

Det var få rapporterte utbrudd av infeksiøs lakseanemi (ILA) i området i 2021 og 2022. Risiko for endring i forekomst av ILA hos villaks som følge av virussmitte fra fiskeoppdrett vurderes å være lav. Det ble rapportert 31 bekreftede tilfeller av PD i både 2021 og 2022. Risiko for endring i forekomst av PD hos villaks som følge av virussmitte fra fiskeoppdrett vurderes å være moderat. Kunnskapsstyrken vurderes imidlertid som svak og kan gi opphav til overraskende hendelser med kritisk store konsekvenser, her markert som en sort svane (Figur 8.2).

For produksjonsområde 6 har det vært rapportert høye rømmingstall i perioden 2017-2021, moderat andel rømt oppdrettslaks i elvene og dårlig effekt av utfisking. Villfiskens bestandsstatus vurderes som moderat, og det er alt påvist et moderat nivå av genetisk endring i villaksbestandene i området. Det mangler kunnskap knyttet til omfanget av rømming og påvirkning fra rømming i andre produksjonsområder, det er moderat dekning i overvåkingsprogrammet, men god dekning for vurdering av bestandsstatus og genetisk status i området. Risikoen vurderes som moderat knyttet til ytterligere genetiske endringer som følge av innkryssing fra oppdrettslaks i produksjonsområde 6.

Risikoen knyttet til bruk av villfanget leppefisk i fiskeoppdrett vurderes som moderat for produksjonsområde 6. Det er i praksis liten eller ingen behandling av verken transportmiddel eller transportvannet før det tømmes ut i mottaksområdet. Resultatet er redusert biosikkerhet med spredning av sykdom som mulig konsekvens. Innførsel av kjente og ukjente sykdommer med transport av levende fisk samt flytting av levende fisk over større geografiske områder, vurderes som en mulig overraskelse som kan ha svært negativ innvirkning på norsk oppdretts- og villfisk, her markert som en sort svane (Figur 8.2). Det mangler data på hvor den villfangete leppefisken transporteres og settes ut, samt hvor mye leppefisk som rømmer, men genetiske studier har gitt indikasjoner på innblanding i ville populasjoner av bergnebb og grønngylt i Trøndelag. 

Produksjonen av laksefisk i produksjonsområde 6 er det høyeste av samtlige produksjonsområder, noe som medfører høye utslipp både av spillfôr, fekalier og næringssalter. Overvåkingsdata indikerer at miljøtilstanden er god, og risiko knyttet til miljøeffekter som følge av utslipp av næringssalter og partikulært organisk materiale vurderes som lav. Hvordan bruken av kobberimpregnering fordeler seg i området er ukjent, men basert på miljøundersøkelsene har vi til en viss grad oversikt over lokalitetene med forhøyede kobberverdier. For produksjonsområde 6 vurderes risikoen som moderat knyttet til miljøeffekter av kobberutslipp fra fiskeoppdrett.

Det vurderes å være moderat risiko knyttet til et flertall av miljøpåvirkningene fra fiskeoppdrett samt dødelighet for oppdrettslaks i sjø, og risikoreduserende tiltak bør vurderes for disse for å sikre et bærekraftig havbruk i produksjonsområdet.

8.3 - Dødelighet hos oppdrettslaks i sjø

Det ble satt ut nesten 60 millioner laks i produksjonsområde 6 i 2020, ca. 67 millioner i 2021 og ca. 62 millioner i 2022 (estimat fra Fiskeridirektoratets biomassedatabase). Ved utgangen av 2022 var det ikke lenger laks igjen i sjø fra 2020-generasjonen, men det var fortsatt henholdsvis 25 % og 92 % igjen av 2021- og 2022-generasjonene. Rapportert dødelighet (inkl. utkast) ble 15 % for 2020-generasjonen. Dødelighet i produksjonsområde 6 for de to foregående generasjonene med laks (2018 og 2019) var 16 % og 13 %. For 2021-generasjonen er dødeligheten foreløpig 16 %, og med ca. 20 % av fisken fortsatt igjen i sjø forventes en dødelighet høyere enn generasjonene før, men siden mye av denne fisken antagelig vil bli slaktet ut i løpet av de førstkommende månedene, trenger ikke økningen være vesentlig. Alt i alt ser det derfor ut som dødeligheten for laks er relativt stabil i produksjonsområde 6.

Det var to anlegg som fikk påvist ILA i 2022, disse hadde fisk fra 2020- og 2021-generasjonen. Så langt er ikke ILA påvist for 2022-generasjonen. For 2020- og 2021-generasjonene ble det påvist PD smitte i nesten 40 % og over 50 % av anleggene som hadde disse generasjonene i sjø. Så langt er det påvist PD i ca. 15 % av anlegg med 2022-generasjonen i sjø. I produksjonsområde 6 er det imidlertid en mildere variant av PD som dominerer enn lenger sør. Med relativ stabil dødelighet rundt landsgjennomsnittet fra generasjon til generasjon vurderes sannsynligheten en laks i en oppdrettsmerd i produksjonsområde 6 har til å få så dårlig velferd at den dør eller blir regnet som utkast i 2023 til moderat (rundt landsgjennomsnittet). Det tas forbehold om feil i datasettene, men pga. at datasettet for produksjonsområde 6 er stort, og dødelighetstallene relativt stabile fra generasjon til generasjon, vurderes kunnskapsstyrken som ligger til grunn for denne vurderingen som god. Risiko knyttet til dødelighet hos laks i sjø i produksjonsområde 6 vurderes som moderat.

8.4 - Dødelighet hos utvandrende postsmolt laks og negative effekter på sjøørret og sjørøye som følge av utslipp av lakselus fra fiskeoppdrett

I perioden 2012-2022 økte utslippene av lakselus i produksjonsområde 6 frem til 2016, falt i 2017-2018, men har igjen vist en økning i perioden 2019-2022. Området har flere nasjonale laksefjorder uten oppdrett, inkludert Trondheimsfjorden. Utslippene er høye langs hele kysten i produksjonsområdet, inkludert øyene Smøla, Hitra og Frøya. Fordelingen av områder med høye tettheter av lus i perioden 2019-2022 viser enkelte år med høye tettheter i de sørlige delene av området, ofte rundt øyene Smøla og Hitra, og i 2022 var det også høye tettheter i deler av Frohavet. Med unntak av indre deler av fjorder, har området i liten grad brakkvannslag som vil skape område uten lus.

Det antas at utvandringen av laks fra elvene i området hovedsakelig foregår i tidsrommet 23. april – 16. juni, mens dato for median utvandring (dato når halvparten av smolten har vandret ut) er satt til 18. mai. Området omfatter Trondheimsfjorden som er en nasjonal laksefjord. Herfra utvandrer en stor del av den norske villaksbestanden, men utvandringsrutene for laksen fra elvene er dårlig kartlagt i området. Det er relativt korte utvandringsruter fra mange elver foruten de inne i Trondheimsfjorden. Vandringsruten fra elvene på Nordmøre er ikke kartlagt utenfor fjorden.

For elvene i Trondheimsfjorden estimeres det oftest lav (< 10 %) eller moderat (10-30 %) dødelighet på postsmolt laks 2017-2021, og høy (>30 % dødelighet) for flere av elvene i 2022. Det estimeres høyest dødelighet for elvene lengst inn i fjorden. Modellestimatene indikerer at dødelighet for utvandrende postsmolt laks i snitt er moderat i produksjonsområdet (10-30 % dødelighet). Sannsynlighet for dødelighet hos utvandrende postsmolt laks som følge av utslipp av lakselus fra fiskeoppdrett vurderes totalt sett som moderat i produksjonsområde 6.

Kunnskapen om utslipp av lakselus er basert på omfattende tellinger i oppdrettsanleggene over flere år av voksne lakselus som er enkle å telle. Antall fisk i oppdrettsanleggene vurderes også som relativ sikre data. Beregningene av tetthet av lakselus er basert på godt utprøvde hydrodynamiske modeller som dekker hele landet. Utvandringsrutene til laksen er lite kjent i området. Da utvandringen fra elver i Trondheimsfjorden omfatter et svært høyt antall fisk, vurderes mangelen på kunnskap om disse utvandringsrutene som så viktig at kunnskapsstyrken totalt sett vurderes som svak.

Sjøørret antas å vandre ut om våren omtrent på samme tid som laks og at den bruker området over en lengre periode. I produksjonsområdet er det undersøkt stasjoner med ruse og garnfangst av sjøørret i utløpet av Trondheimsfjorden og utenfor. Ved utløpet av Trondheimsfjorden er Agdenes undersøkt alle årene i perioden 2016-2022, og i alle årene er det estimert høy dødelighet for beitende sjøørret. Modellene indikerer et redusert marint leveområde for årene 2019-2022 på 10-30 % (moderat) for tidlig utvandrende sjøørret, 25-40 % (høyt) for sjøørret med normal utvandring og > 30 % (høyt) for seint utvandrende sjøørret. For området som helhet vurderes overlapp mellom fisk og lus til å være moderat, da Trondheimsfjorden utgjør en vesentlig del av området. Sannsynlighet for negative effekter for sjøørret som følge av utslipp av lakselus fra fiskeoppdrett vurderes totalt sett som moderat i produksjonsområde 6. Kunnskapen om utslipp og tetthet av lakselus er basert på det samme datagrunnlaget som for utvandrende postsmolt laks. Kunnskap knyttet til beiteperiode for sjøørreten vurderes som god, mens det er manglende kunnskap knyttet til fiskens tålegrenser og atferdsrespons for lakselus. I tillegg mangler det observasjoner i områder sør for Agdenes. Totalt sett vurderes kunnskapsstyrken som moderat. Samlet sett for produksjonsområde 6 vurderes risikoen som moderat både knyttet til dødelighet hos utgående postsmolt laks, og negative effekter på beitende sjøørret, som følge av lakselussmitte fra oppdrett.

8.5 - Endring i forekomst av infeksiøs lakseanemi og pankreassykdom hos villaks som følge av virussmitte fra fiskeoppdrett

Det var ett rapportert utbrudd av infeksiøs lakseanemi (ILA) i produksjonsområde 6 i 2021, mens det i 2022 er påvist tre ILA-tilfeller. Det ble rapportert 29 tilfeller (21 bekreftet) av pankreassykdom (PD) i området i 2021. For 2022 er det så langt rapportert 47 tilfeller (31 bekreftet) i databasene. Forekomst av ILAV og SAV ble ikke undersøkt av Havforskningsinstituttets overvåkingsprogram for virus i villaks og rømt oppdrettslaks i produksjonsområde 6.

 

ILA PO6
Figur 8.3. Påviste og mistenkte funn av infeksiøs lakseanemi (ILA) i 2021 og 2022 i produksjonsområde 6. (Kilde Fiskeridirektoratet og BarentsWatch, januar 2023).

 

 

PD PO6
Figur 8.4. Påviste og mistenkte funn av pankreassykdom PD i 2021 og 2022 i produksjonsområde 6. (Kilde Fiskeridirektoratet og BarentsWatch, januar 2023).

 

Med unntak av en større rømmingsepisode i 2022 ble det rapportert relativt få rømte oppdrettslaks i produksjonsområde 6 i 2021 og 2022. Det var ikke registrert sykdom på laksen i den store rømmingsepisoden. Med unntak av en større rømmingsepisode i 2021, ble det rapportert få rømte oppdrettslaks i de tilstøtende produksjonsområdene 5 og 7. Det vurderes derfor å være lav til moderat sannsynlighet for at rømt laks med ILAV eller SAV skal utgjøre en smittefare for villfisken i området.

Med få utbrudd av ILA i 2021-22 og få rapporterte rømt oppdrettslaks, vurderes sannsynligheten for endring i forekomst av ILA hos vill laksefisk som følge av smitte fra oppdrett som lav i produksjonsområde 6. Det var et høyt antall PD-tilfeller både i 2021 og 2022, men det var lite rømt oppdrettslaks. Sannsynligheten for endring i forekomst av SAV hos vill laksefisk som følge av smitte fra oppdrett vurderes derfor totalt sett som moderat i produksjonsområdet.

Det er lite kunnskap om hvor mye ILAV og SAV som slippes ut fra anleggene og om hvor mye smittet oppdrettslaks det faktisk er i elvene. Kunnskapen om hvor smittsomme de to virusene er i naturen, om virusets robusthet, minste infeksiøse dose og graden av spredning og fortynning av viruset i området, vurderes også som svak. Det er noe overvåkingsdata fra området som gir moderat kunnskap om konsekvensen av ILAV og SAV-smitte av villaks i naturen. Det finnes en del erfaringskunnskap og data om konsekvenser fra oppdrett og fra laboratorieforsøk med oppdrettsfisk og noe på villaks, men ingen fra villaks i naturen. Forekomst av ILAV og SAV hos villaks og rømt oppdrettslaks ble ikke undersøkt av Havforskningsinstituttets overvåkingsprogram i produksjonsområdet. Kunnskapsstyrken knyttet til vurderingen av forekomst av ILA og PD hos villaks som følge av virussmitte fra fiskeoppdrett vurderes derfor totalt sett å være svak. Risikoen knyttet til endring i forekomst av ILA vurderes likevel som lav i produksjonsområde 6 basert på få rapporterte utbrudd og relativt lite rømming. Risiko knyttet til endring i forekomst av PD hos villfisk vurderes å være moderat.

Foreløpige data for sykdom og rømming for 2022 er hentet fra Veterinærinstituttet og karttjenestene BarentsWatch og Yggdrasil (Fiskeridirektoratet). Disse data er ennå ikke kvalitetssikret og det er variasjon mellom kildene.

8.6 - Ytterligere genetisk endring hos villaks som følge av innkryssing av rømt oppdrettslaks

Det ble rapportert om totalt 59 312 rømte oppdrettslaks i produksjonsområde 6 i perioden 2017–2021, med høye rømmingstall i 2018, 2019 og 2020 med henholdsvis 16 027, 28 481 og 12 613 rømt oppdrettslaks, mens det i 2021 ble rapportert om 893 rømt fisk. Foreløpig statistikk fra Fiskeridirektoratet viser at det har vært rapportert en del mindre rømmingshendelser i området i 2022. Av totalt 76 vassdrag er det 18 som overvåkes. Det er 3 % av vassdragene i området med høy andel og 14 % med moderat andel rømt oppdrettslaks i perioden 2017-2021. I 2021 var det et vassdrag med høy og fire vassdrag med moderat andel rømt oppdrettslaks. Av vassdrag med høy og middels andel rømt laks ble det samme år gjennomført utfisking i gjennomsnittlig 67 % og 62 % av vassdragene i perioden 2017-2021. Til sammen er 30 rømte oppdrettslaks fjernet og verifisert fra vassdragene i området i samme periode (12 ble fjernet i 2021).

 

Andel PO6
Figur 8.5. Lokalisering av elver hvor andel rømt oppdrettslaks i 2021 ble vurdert av Overvåkningsprogrammet for rømt oppdrettslaks i vassdrag og lokaliteter som rapporterte om rømming av oppdrettslaks til Fiskeridirektoratet i 2021 og 2022 (foreløpig statistikk 1.1.2023).

 

Det er gjort vurdering av genetisk status i 29 av totalt 76 villaksbestander i produksjonsområdet som utgjør 96 % av produksjonsområdets totale gytebestandsmål. I 10 av villaksbestandene i området er det observert stor (9) eller moderat (1) genetisk endring som følge av innkryssing av oppdrettslaks, i 12 av vassdragene er det indikert genetiske endringer og det er syv bestander der det ikke er observert noen genetisk endring. Totalt sett vurderes det at villaksbestandene i området har et moderat nivå av innkryssing fra oppdrettslaks.

Basert på høye rømmingstall, moderat andel rømt oppdrettslaks i elvene og dårlig effekt av utfisking for området, ettersom det er elver med høyt og middels andel hvor det ikke har vært utfisking, vurderes det totalt sett å være moderat sannsynlighet for forekomst av rømt oppdrettslaks på gyteplassene. Det er dokumentert et moderat nivå av genetisk endring i villaksbestandene i området allerede, og villfiskens bestandsstatus i området vurderes som moderat. Bestandenes robusthet mot ny innkryssing vurderes derfor som moderat. Det vurderes totalt sett at sannsynligheten for ytterligere genetisk endring som følge av innkryssing fra oppdrettslaks i produksjonsområdet er moderat.

Det mangler kunnskap knyttet til omfang og påvirkning fra rømming i andre produksjonsområder. Overvåkingsprogrammet dekker kun gjennomsnittlig 18 av 76 elver i perioden 2017-2021, og derfor manglende kunnskap knyttet til om det forekommer rømt oppdrettslaks i disse vassdragene. Selv om det vurderes å være god kunnskap knyttet til utfisking, bestandsstatus og genetisk status, vurderes den totale kunnskapsstyrken for området som moderat. Risiko knyttet til ytterligere genetiske endringer som følge av innkryssing fra rømt oppdrettslaks vurderes som moderat i produksjonsområde 6.

8.7 - Miljøeffekter som følge av utslipp av løste næringssalter fra fiskeoppdrett

Produksjonsområde 6 hadde i 2021 en den høyeste produksjonen av laksefisk i Norge på 274 216 tonn fisk. Estimerte årlige utslipp fra fiskeoppdrett i området var på 10 530 tonn nitrogen og 1399 tonn fosfor fordelt på et stort sjøareal på 9950 km². Dette vil gi et utslipp på 1058 kg løst nitrogen og 141 kg løst fosfor per km² årlig. Beregnet økning av planteplanktonproduksjonen som skyldes utslipp fra fiskeoppdrett er 10,8 % i produksjonsområdet.

De fleste matfiskanlegg i dette produksjonsområdet ligger i områder med bølgeeksponert kyst, og løste næringssalter spres og fortynnes effektivt med strøm og vind. Sannsynligheten for miljøeffekter som følge av utslipp av løste næringssalter fra fiskeoppdrett vurderes som lav i produksjonsområdet. Produksjonsområdet har kun noen få stasjoner som overvåkes i ØKOKYST og alle ligger i Trondheimsleia. Miljødata fra disse stasjonene viser «god» til «svært god» tilstand for næringssalter. Kunnskapsstyrken vurderes totalt sett som moderat på grunn av manglende data fra de mest oppdrettsintensive områdene. Selv om det mangler måledata, er beregnet økning i planteplanktonproduksjon lav. Risiko knyttet til miljøeffekter av løste næringssalter fra fiskeoppdrett vurderes derfor som lav i produksjonsområde 6.

8.8 - Miljøeffekter som følge av partikulære organiske utslipp fra fiskeoppdrett

Forbruket av fôr i produksjonsområde 6 var på 334 930 tonn i 2021. Basert på massebalansebudsjett der estimert utslipp av fekalier er beregnet til 29,2 % og estimert fôrspill til 5-11 % av fôrmengden, utgjør dette et utslipp av 97 800 tonn fekalier og 16 747-36 842 tonn spillfôr i produksjonsområdet, fordelt på 109 matfiskanlegg, som gir et snitt på 897 tonn fekalier og 154-338 tonn spillfôr per matfiskanlegg. I 2022 er fôrforbruket estimert til 311 195 tonn i området.

Det ble gjennomført totalt 50 B-undersøkelser i produksjonsområde 6 i 2021, alle vurdert til tilstandsklasse «meget god» og «god», bortsett fra en lokalitet i tilstandsklasse «meget dårlig». I 2022 ble det gjennomført 65 B-undersøkelser på til sammen 64 lokaliteter, alle vurdert til tilstandsklasse «meget god» og «god». Det ble gjennomført totalt 106 C-undersøkelser i produksjonsområdet i perioden 2017 til 2021 der 102 var i tilstandsklasse «svært god» og «god» og fire i «moderat». I 2022 ble det gjennomført C-undersøkelser ved 14 lokaliteter i området.

Basert på at 114 av 115 B-undersøkelser (99 %) og 102 av 106 (96 %) C-undersøkelser i området ble vurdert som «meget/svært gode» og «gode», vurderes sannsynligheten for miljøeffekter som følge av partikulære organiske utslipp fra fiskeoppdrett som lav i produksjonsområde 6. Beregningene av omtrentlig utslippsmengde basert på fôrforbruket vurderes som god. Resultatene fra B- og C-undersøkelsene vurderes som gode for lokalitetene som ligger over bløtbunn, og kunnskapsstyrken vurderes totalt sett som god. Risikoen knyttet til miljøeffekter på bløtbunn som følge av partikulære organiske utslipp fra fiskeoppdrett vurderes som lav for produksjonsområde 6.

Foreløpige data for B- og C-undersøkelsene for 2022 er hentet fra Fiskeridirektoratet.

8.9 - Miljøeffekter som følge av utslipp av kobber fra fiskeoppdrett

Estimert utslipp av kobber basert på oppdrettsandel (13 %) og areal (9950 km2) i produksjonsområde 6 er på 12 kg kobber per km² i 2021, og vurderes som moderat. Utslipp fra fisken på grunn av kobber i fôret utgjør 0,3 kg per km2. I produksjonsområde 6 ble det gjennomført 117 C-undersøkelser i perioden 2017–2021. Miljøundersøkelsene viser at 13 % av lokalitetene i området har dårlig miljøtilstand i anleggssonen som vurderes å gi en moderat sannsynlighet for økte konsentrasjoner av kobber i sedimentet.

Modellsimuleringer der vi har antatt at 28 % av kobber fra impregnert not lekker ut til vannsøylen uten spyling, viser at passivt utlekket kobber kan gi et vesentlig bidrag til den totale kobberkonsentrasjonen i et fjordsystem, i størrelsesorden 0,2-0,4 μg/l. I trange fjorder med dårlig vannutveksling kan bidraget periodevis være opptil 1 μg/l. Spyling eller høytrykksspyling av kobberimpregnerte nøter vil kunne gi pulser med høyere konsentrasjoner. Mange av lokalitetene i området har blitt brukt over flere år og ligger i fjorder eller mindre eksponerte områder. Siden kobber akkumulerer i sedimentene der strømforholdene gir liten grad av spredning, kan gjentatte utslipp over tid være en del av forklaringen for hvorfor såpass stor andel av anleggene har forhøyede verdier av kobber i sedimentet i anleggssonen. Totalt vurderes det å være moderat sannsynlighet for negative miljøeffekter av kobber i produksjonsområde 6.

Det mangler overvåkingsdata på kobberverdier i vannsøylen og det er derfor heller ikke mulig å vurdere hvordan løst kobber påvirker marine organismer som lever i vannmassene. Det er behov for mer kunnskap om hvor mye av kobberet i sedimentet som er tilgengelig for organismer som lever i og på havbunnen nær anleggene og hva toleransegrensen for kobber er i disse organismene. Kunnskapsstyrken som ligger til grunn for sannsynlighetsberegningen vurderes som moderat. Risiko knyttet til miljøeffekter som følge av utslipp av kobber fra fiskeoppdrett vurderes som moderat i produksjonsområde 6.

8.10 - Miljøeffekter ved bruk av villfanget leppefisk i fiskeoppdrett

Data og informasjon om fangst og utsett av villfanget leppefisk samsvarer ikke med produksjonsområdene, da dette er oppgitt for henholdsvis tre ulike fiskerisoner og på fylkesnivå. Produksjonsområde 6 inngår i fangstområde "Nord for 62 grader nord» der kvoten for fangst av leppefisk er satt til 4 millioner fisk. I 2021 ble det fangstet nesten 3 millioner leppefisk i dette området. Fisket fordelte seg på de tre artene bergnebb (2,3 millioner), berggylt (600 000) og grønngylt (70 000). Detaljert oversikt over hvordan fiskeriet fordeler seg mellom de ulike produksjonsområdene innenfor fiskerisone "Nord for 62 grader nord» vites ikke, heller ikke geografisk område for fisket. Det er ikke rapportert om utsett av villfanget leppefisk i Nordland og nordover. Etter innføring av en rekke seleksjonsinnretninger i fangstredskapene, antas bifangst av undermåls leppefisk og andre arter å være redusert og det vurderes å være lite eller ubetydelig endring i bestandene av bifangstarter som følge av fiske etter leppefisk.

Siden transporten av villfanget leppefisk i området i all hovedsak foregår via småbåter og tankbiler, og i tillegg er unntatt akvakulturforskriften, er det i praksis liten eller ingen behandling av verken transportmiddel eller transportvannet før det tømmes ut i mottaksområdet. Det finnes ingen nøyaktig oversikt over hvor den villfangete leppefisken transporteres og settes ut, men det benyttes både importert og lokalt fanget leppefisk i produksjonsområdet. Bruk av lokalt fanget leppefisk reduserer sannsynligheten både for smittespredning og genetisk påvirkning på lokale leppefiskbestander. Selv om høsting av leppefisk har vært innenfor tillatt kvote, har og er det utstrakt bruk av importert villfanget leppefisk i området. Selv om denne bruken er nedadgående, vurderes likevel sannsynligheten for miljøeffekter ved bruk av villfanget leppefisk som moderat i produksjonsområde 6.

Det er manglende kunnskap om smittestatus og i hvilken grad den villfangete leppefisken rømmer fra oppdrettsanleggene i området, men genetiske studier har gitt indikasjoner på innblanding i ville populasjoner av bergnebb og grønngylt i Trøndelag. Det er også begrenset kunnskap om bestandsutviklingen av de ulike leppefiskartene og kunnskapsstyrken vurderingen hviler på, vurderes totalt sett som moderat. Forankret i manglende kunnskap er det stor usikkerhet knyttet til hvor og hvilken sykdom som vil overføres og spres. Sykdommene som spres kan være tilfeller av både «nye», hittil ukjente sykdommer, eller sykdommer som er kjente, men nye for en gitt art eller i et område. Innførsel av kjente og ukjente sykdommer med transport av levende fisk samt flytting av levende fisk over større geografiske områder, vurderes som en mulig overraskelse som kan ha svært negativ innvirkning på norsk oppdretts- og villfisk. Risikoen knyttet til miljøeffekter ved bruk av villfanget leppefisk i fiskeoppdrett som moderat i produksjonsområde 6.

9 - Produksjonsområde 7, Nord-Trøndelag med Bindal

9.1 - Beskrivelse av produksjonsområdet

I produksjonsområde 7 var det i 2021 og 2022 henholdsvis 54 og 53 oppdrettslokaliteter som i løpet av året rapporterte inn fisk. Området hadde i 2021 en gjennomsnittlig månedlig stående biomasse på 64 131 tonn laks med et totalt uttak til slakt på 121 671 tonn laks. Produksjonstall for 2022 er på 60 461 tonn gjennomsnittlig månedlig stående biomasse med et uttak til slakt i samme periode på 116 015 tonn (Fiskeridirektoratets biomassestatistikk, 25.1.2023). Det var ingen produksjon av regnbueørret i området. Totalt areal for produksjonsområdet er på 17 071 km2, sjøareal er 5380 km2 og sjøareal innenfor grunnlinjen er på 4948 km2.

Produksjonsintensitet PO7
Figur 9.1. Godkjente akvakulturlokaliteter for laks, ørret og regnbueørret og produksjonsintensitet (gjennomsnittlig biomasse per måned i tonn per km2) i vannforekomstene i produksjonsområde 7 Nord-Trøndelag med Bindal i perioden 2020-2021. Kilde Fiskeridirektoratet.

 

Middeltemperaturen i de øvre vannmassene i produksjonsområde 6 ligger normalt på 13-14 oC om sommeren og rundt 6 oC om vinteren. Vinteren 2021 fra januar til april var kald, mai hadde normale temperaturer, mens juni og juli var relativt varme. Både vinter, vår og sommer 2022 hadde nær normale temperaturer. Ferskvannsavrenningen og brakkvannsstyrken hadde noe lavere verdier enn normalt gjennom vår og sommer 2021, mens i 2022 var ferskvannsavrenningen til området høyere enn normalt, spesielt i juni. Dette ga en brakkvannsstyrke som også var sterkere enn normalt. Mens mai 2022 hadde nær normale overflatesaltholdigheter, så var juni mer preget av lave saltholdigheter.

Det meste av laksefiskproduksjonen i området foregår på bølgeeksponert kyst, utenom produksjonen som er knyttet til Batnfjorden, Tingvollfjorden og Sunndalsfjorden på Nordmøre, som alle er fjorder der modell viser sjelden utskiftning av bunnvann selv om det ikke finnes observasjoner som bekrefter modellfunnene. Produksjonsintensitet (gjennomsnittlig biomasse per måned, tonn/km2) er lav i disse områdene og ligger på under 100 tonn/km2 i de aktuelle vannforekomstene. Vannforekomstene med høyest produksjonsintensitet er Bremsnesfjorden (237 tonn/km2) og Fillfjorden (193 tonn/km2), men begge vannforekomstene er små og de tilhørende vannforekomstene har en produksjonsintensitet på under 50 tonn/km2.

Det er totalt 24 laksevassdrag i produksjonsområdet. Gytebestandsmålet blir nådd for de fleste vassdragene i regionen, men noen av vassdragene har et redusert høstbart overskudd. Den største bestanden i produksjonsområdet (Namsenvassdraget) har også et relativt stort høstbart overskudd. Vassdragene med full vurdering utgjør 96 % av det samlede gytebestandsmålet i produksjonsområdet. Vurdering av bestandsstatus er basert på årlige vurderinger gjort av Vitenskapelig råd for lakseforvaltning (VRL), aggregert per produksjonsområder for «Rømt oppdrettslaks – risikovurdering og kunnskapsstatus 2023». 

9.2 - Oppsummering av risiko knyttet til dyrevelferd og miljøeffekter av fiskeoppdrett for produksjonsområde 7

PO7 oppsummering
Figur 9.2. Oppsummering av risiko knyttet til dyrevelferd og miljøeffekter av fiskeoppdrett for produksjonsområde 7.

For produksjonsområde 7 har det vært rapportert høye rømmingstall i perioden 2017-2021, høyt innslag av rømt oppdrettslaks i elvene og moderat effekt av utfisking. Villfiskens bestandsstatus vurderes som moderat og det er alt påvist et moderat nivå av genetisk endring i villaksbestandene i området. Det mangler kunnskap knyttet til omfanget av rømming og påvirkning fra rømming i andre produksjonsområder, det er moderat dekning i overvåkingsprogrammet, og moderat dekning for vurdering av bestandsstatus og genetisk status i området. Risikoen vurderes som høy knyttet til ytterligere genetiske endringer som følge av innkryssing fra oppdrettslaks i produksjonsområde 7.

Rapportert dødelighet (inkl. utkast) for oppdrettslaksen i produksjonsområde 7 var fra 8 til 12 % for 2018- til 2020-generasjonene, og ligger under landsgjennomsnittet på 15 % for 2020-generasjonen. Basert på dødelighetstallene vurderes risiko knyttet til dødelighet hos laks i sjø som lav for oppdrettslaks i området.

Utslippene av lakselus i produksjonsområde 7 var moderate i perioden 2012-2022 og smittepresset i området vurderes også å være moderat. Dødelighet hos utvandrende postsmolt laks som følge av lakselussmitte fra oppdrett er estimert til å være moderat de fleste år (10-30 % dødelighet). Risiko knyttet til dødelighet av postsmolt laks grunnet lakselus i produksjonsområde 7 vurderes som moderat.

Sjøørret oppholder seg i sjøen over en lang periode utover sommeren og smittepresset i enkelte områder kan være høyt. For området som helhet vurderes overlapp mellom fisk og lus til å være høyt, og redusert marint verneområde er estimert til i stor grad å være >30 %. Risiko knyttet til negative effekter på sjøørreten grunnet lakselussmitte fra oppdrett vurderes å være høy.

Det var få rapporterte utbrudd av infeksiøs lakseanemi (ILA) i området i 2021 og 2022 og ingen påviste tilfeller av PD. Risikoen vurderes som lav knyttet til endring i forekomst av både ILA og PD hos villaks som følge av virussmitte fra fiskeoppdrett. Kunnskapsstyrken vurderes imidlertid som svak og kan gi opphav til overraskende hendelser med kritisk store konsekvenser, her markert som en sort svane (Figur 9.2).

Produksjonen av laksefisk i produksjonsområde 7 er høy, noe som medfører høye utslipp både av spillfôr, fekalier og næringssalter. Overvåkingsdata indikerer imidlertid at miljøtilstanden er god og risiko knyttet til miljøeffekter som følge av utslipp av næringssalter og partikulært organisk materiale vurderes som lav. Hvordan bruken av kobberimpregnering fordeler seg i området er ukjent, men basert på miljøundersøkelsene har vi til en viss grad oversikt over lokalitetene med forhøyede kobberverdier. For produksjonsområde 7 vurderes risikoen som moderat knyttet til miljøeffekter av kobberutslipp fra fiskeoppdrett.

Risikoen knyttet til bruk av villfanget leppefisk i fiskeoppdrett vurderes som moderat for produksjonsområde 7. Det er i praksis liten eller ingen behandling av verken transportmiddel eller transportvannet før det tømmes ut i mottaksområdet. Resultatet er redusert biosikkerhet med spredning av sykdom som mulig konsekvens. Innførsel av kjente og ukjente sykdommer med transport av levende fisk samt flytting av levende fisk over større geografiske områder, vurderes som en mulig overraskelse som kan ha svært negativ innvirkning på norsk oppdretts- og villfisk, her markert som en sort svane (Figur 9.2). Det mangler data på hvor den villfangete leppefisken transporteres og settes ut, samt hvor mye leppefisk som rømmer, men genetiske studier har gitt indikasjoner på innblanding i ville populasjoner av bergnebb og grønngylt i Trøndelag.

Det vurderes å være høy og moderat risiko knyttet til flere av miljøpåvirkningene fra fiskeoppdrett, og risikoreduserende tiltak bør vurderes for disse for å sikre et bærekraftig havbruk i produksjonsområdet.

9.3 - Dødelighet hos oppdrettslaks i sjø

Det ble satt ut ca. 30 millioner laks i produksjonsområde 7 i 2020, ca. 26 millioner i 2021 og over 35 millioner i 2022 (estimat fra Fiskeridirektoratets biomassedatabase). Ved utgangen av 2022 var det ikke lenger laks igjen i sjø fra 2020-generasjonen. Rapportert dødelighet (inkl. utkast) for denne generasjonen var 10 %. Dette er relativt lavt i forhold til landsgjennomsnittet på 15 %, og de to foregående generasjonen hadde dødelighet på 8 % for 2018-generasjonen og 12 % for 2019 generasjonen i produksjonsområde 7. Dødeligheten for 2021-generasjonen ligger så langt på 12 % med 17 % av fisken igjen i sjøen. Mye av fisken vil imidlertid bli slaktet i løpet av de førstkommende månedene, og det forventes derfor ikke vesentlig økning i dødelighet for denne generasjonen. Dødeligheten for laks i produksjonsområde 7 ser dermed ut til å ligge vedvarende rundt 11 %. Sannsynligheten en laks i en oppdrettsmerd i produksjonsområde 7 har til å få så dårlig velferd at den dør eller blir regnet som utkast i 2023, vurderes derfor som lav.

For 2020-generasjonen var det hele fire lokaliteter som fikk påvist ILA, påvisningene kom imidlertid mot slutten av produksjonen, og hadde derfor liten påvirkning på dødelighetstallene. Dette gjelder også den ene påvisningen som ble gjort for 2021-generasjonen, men det er så langt ikke noen påvisninger av ILA for 2022-genersjonen med laks i produksjonsområdet. Det er ingen påvisninger av PD i produksjonsområde 7 for de tre siste generasjonene. På grunn av en relativ stabil dødelighet under landsgjennomsnittet fra generasjon til generasjon, vurderer vi sannsynligheten en laks i en oppdrettsmerd i produksjonsområde 7 har til å få så dårlig velferd at den dør eller blir regnet som utkast i 2023, som lav (vesentlig under landsgjennomsnittet). Det tas forbehold om feil i datasettene, men totalt sett vurderes kunnskapsstyrken som ligger til grunn for denne vurderingen som god. Risiko knyttet til dødelighet hos laks i norske oppdrettsmerder vurderes som lav for produksjonsområde 7.

9.4 - Dødelighet hos utvandrende postsmolt laks og negative effekter på sjøørret og sjørøye som følge av utslipp av lakselus fra fiskeoppdrett

Utslippene av lakselus i produksjonsområde 7 indikerer en økning frem mot 2015-2016 og noe lavere i 2017-2018, og noe høyere igjen 2019-2022. Namsfjorden er en nasjonal laksefjord uten oppdrett, mens utslippene langs kysten hvor det er oppdrettsaktivitet langs hele kystlinjen, er høyere. Med unntak av Namsfjorden og Innerfolda har området i liten grad brakkvannslag som vil skape område uten lus.

Det antas at utvandringen av laks fra elvene i området hovedsakelig foregår i tidsrommet 23. april – 23. juni, mens dato for median utvandring (dato når halvparten av smolten har vandret ut) er satt til 24. mai. Modellestimater indikerer at det er forhøyede tettheter av lakselus på sørsiden av Namsfjorden og på nordsiden av Vikna i 2019 og 2021, mens i 2020 og 2022 er høyest tetthet på sørsiden av Vikna. I hvilken grad smolten fra Namsen vandrer langs kysten, er ukjent. Utvandringsperioden og utvandringstidene for elvene i produksjonsområdet er dårlig kartlagt, men et pågående prosjekt kan indikere at en andel av laksesmolten går rett ut i havet når den forlater Namsfjorden.

For elvene i og rundt Namsfjorden og på sørsiden av Vikna er den estimerte dødeligheten lav (<10 % dødelighet) eller moderat (10-30 % dødelighet) i 2016-2022. Elvene nord for Vikna har estimert moderat dødelighet i oddetallsår. Sannsynlighet for dødelighet hos utvandrende postsmolt laks som følge av utslipp av lakselus fra fiskeoppdrett vurderes totalt sett som moderat i produksjonsområde 7.

Kunnskapen om utslipp av lakselus er basert på omfattende tellinger i oppdrettsanleggene over flere år av voksne lakselus som er enkle å telle. Antall fisk i oppdrettsanleggene vurderes også som relativ sikre data. Beregningene av tetthet av lakselus er basert på godt utprøvde hydrodynamiske modeller som dekker hele landet. Utvandringsrutene til laksen er lite kjent i området. I modellen antas det at fisken fra Namsen vandrer rett ut i havet, men om de vandrer oppover mot Vikna vil de svømme gjennom høyere tetthet av lakselus enkelte år enn det modellen antar. Mangelen på kunnskap om utvandringsrutene anses som så viktig at kunnskapsstyrken totalt sett vurderes som svak.

Sjøørret antas å vandre ut om våren omtrent på samme tid som laks, men at fisken bruker området over en lengre periode. Modellene indikerer et redusert marint leveområde for årene 2013-2022 på 10-30 % (moderat) for tidlig utvandrende sjøørret, moderat (10-30 %) til høyt >30 % for sjøørret med normal utvandring og høyt for seint utvandrende sjøørret. Modellestimatene støttes av observasjoner av lakselus på sjøørret utenfor Namsfjorden og Vikna. Det er mindre lus inne i Namsfjorden, men dette utgjør et begrenset område. For området som helhet vurderes overlapp mellom fisk og lus til å være høyt. Sannsynlighet for negative effekter for sjøørret som følge av utslipp av lakselus fra fiskeoppdrett vurderes totalt sett som høyt i produksjonsområde 7. Kunnskapen om utslipp og tetthet av lakselus er basert på det samme datagrunnlaget som for utvandrende postsmolt laks. Kunnskap knyttet til beiteperiode for sjøørreten vurderes som god, mens det er manglende kunnskap knyttet til fiskens tålegrenser og atferdsrespons for lakselus. Totalt sett vurderes kunnskapsstyrken som moderat. Samlet sett for produksjonsområde 7 vurderes risikoen som høy knyttet til negative effekter på beitende sjøørret, som følge av lakselussmitte fra oppdrett.

9.5 - Endring i forekomst av infeksiøs lakseanemi og pankreassykdom hos villaks som følge av virussmitte fra fiskeoppdrett

Det var fire påviste utbrudd av infeksiøs lakseanemi (ILA) i produksjonsområde 7 i 2021, mens det i 2022 er indikert ett ILA-tilfelle. Det ble ikke rapportert tilfeller av pankreassykdom (PD) for produksjonsområdet verken i 2021 eller 2022. Forekomst av ILAV og SAV hos villaks og rømt oppdrettslaks ble ikke undersøkt av Havforskningsinstituttets overvåkingsprogram for virus i villaks og rømt oppdrettslaks i produksjonsområde 7.

ILA PO7
Figur 9.3. Påviste og mistenkte funn av infeksiøs lakseanemi (ILA) i 2021 og 2022 i produksjonsområde 7. (Kilde Fiskeridirektoratet og BarentsWatch, januar 2023).

 

Med unntak av en større rømmingsepisode i 2021, ble det rapportert få rømte oppdrettslaks for produksjonsområdet i 2021 og 2022. Det er rapportert henholdsvis moderat og få rømte oppdrettslaks i de tilstøtende produksjonsområdene 6 og 8. Det var ikke registrert sykdom på fisken fra de større rømmingsepisodene rundt rømmingstidspunktet. Dette tilsier lav til moderat sannsynlighet for at rømt laks med ILAV eller SAV skal vandre inn i produksjonsområde 7 og utgjøre en smittefare.

Med få utbrudd av ILA i 2021-2022 og få rapporterte rømte oppdrettslaks, vurderes sannsynligheten for endring i forekomst av ILA hos vill laksefisk som følge av smitte fra oppdrett som lav i produksjonsområde 7. Det var ingen rapporterte tilfeller av PD i 2021 eller 2022. Sannsynligheten for endring i forekomst av SAV hos vill laksefisk som følge av smitte fra oppdrett vurderes som lav i produksjonsområdet.

Det er lite kunnskap om hvor mye ILAV og SAV som slippes ut fra anleggene og om hvor mye smittet oppdrettslaks det faktisk er i elvene. Kunnskapen om hvor smittsomme de to virusene er i naturen, om virusets robusthet, minste infeksiøse dose og graden av spredning og fortynning av viruset i området, vurderes også som svak. Det er noe overvåkingsdata fra området som gir moderat kunnskap om konsekvensen av ILAV og SAV-smitte av villaks i naturen. Det finnes en del erfaringskunnskap og data om konsekvenser fra oppdrett og fra laboratorieforsøk med oppdrettsfisk og noe på villaks, men ingen fra villaks i naturen. Forekomst av ILAV og SAV hos villaks og rømt oppdrettslaks ble ikke undersøkt av Havforskningsinstituttets overvåkingsprogram i produksjonsområdet. Kunnskapsstyrken knyttet til vurderingen av forekomst av ILA og PD hos villaks som følge av virussmitte fra fiskeoppdrett vurderes derfor totalt sett å være svak. Svak kunnskapsstyrke kan gi opphav til såkalte overraskende hendelser med kritisk store konsekvenser. Risiko knyttet til endring i forekomst av sykdom hos villaks som følge av smitte fra oppdrett i produksjonsområde 7 vurderes likevel som lav både for ILA og PD basert på få rapporterte utbrudd og lav til moderat rømming både i området og i tilstøtende områder.

Foreløpige data for sykdom og rømming for 2022 er hentet fra Veterinærinstituttet og karttjenestene BarentsWatch og Yggdrasil (Fiskeridirektoratet). Disse data er ennå ikke kvalitetssikret og det er variasjon mellom kildene.

9.6 - Ytterligere genetisk endring hos villaks som følge av innkryssing av rømt oppdrettslaks

Det ble rapportert om totalt 205 127 rømte oppdrettslaks i produksjonsområde 7 i perioden 2017–2021, med høye rømmingstall i hele perioden utenom 2017 da det ikke ble rapportert om rømming i området. I 2021 ble rapportert om 38 640 rømt oppdrettslaks og foreløpig statistikk fra Fiskeridirektoratet viser at det ikke har vært rapportert rømmingshendelser i området i 2022. Av totalt 24 vassdrag overvåkes gjennomsnittlig 9 vassdrag årlig for andel rømt oppdrettslaks. Det er 23 % av vassdragene i området med høy andel og 9 % med moderat andel rømt oppdrettslaks i perioden 2017-2021. I 2021 var det tre vassdrag med høy, og to vassdrag med moderat andel rømt oppdrettslaks. Av vassdrag med høy og middels andel rømt oppdrettslaks, ble det samme år gjennomført utfisking i gjennomsnittlig 100 % og 75 % av vassdragene i perioden 2017-2021. Til sammen er 284 rømte oppdrettslaks fjernet og verifisert fra vassdragene i området i samme periode (109 ble fjernet i 2021).

 

Andel PO7
Figur 9.4. Lokalisering av elver hvor andel rømt oppdrettslaks i 2021 ble vurdert av Overvåkningsprogrammet for rømt oppdrettslaks i vassdrag og lokaliteter som rapporterte om rømming av oppdrettslaks til Fiskeridirektoratet i 2021 og 2022 (foreløpig statistikk 1.1.2023).

 

Det er gjort vurdering av genetisk status i 6 av totalt 24 villaksbestander i produksjonsområdet som utgjør 92 % av produksjonsområdets totale gytebestandsmål. I en av villaksbestandene i området er det observert stor genetisk endring, og den største bestanden i området, Namsen, er det observert moderat genetisk endring som følge av innkryssing av oppdrettslaks. I et av vassdragene er det indikert svake genetiske endringer og det er tre bestander der det ikke er observert noen genetisk endring. Totalt sett vurderes det at villaksbestandene i området har et moderat nivå av innkryssing fra oppdrettslaks.

Basert på høye rømmingstall, høyt innslag av rømt oppdrettslaks i elvene og moderat effekt av utfisking for området, vurderes det totalt sett å være høy sannsynlighet for forekomst av rømt oppdrettslaks på gyteplassene. Det er dokumentert et moderat nivå av genetisk endring i villaksbestandene i området allerede, og villfiskens bestandsstatus i området vurderes som moderat. Bestandenes robusthet mot ny innkryssing vurderes derfor som moderat, og det vurderes totalt sett at sannsynligheten for ytterligere genetisk endring som følge av innkryssing fra oppdrettslaks i produksjonsområdet er høy.

Det mangler kunnskap knyttet til omfang av rømming og påvirkning fra rømming i andre produksjonsområder. Overvåkingsprogrammet dekket i gjennomsnitt kun 9 av 24 elver i perioden 2017-2021, med påfølgende manglende kunnskap knyttet til om det forekommer rømt oppdrettslaks i disse vassdragene. Det er også moderat dekning av bestander der genetisk status er undersøkt og kunnskap knyttet til bestandsstatus er moderat. Den totale kunnskapsstyrken for området vurderes derfor som moderat. Risiko knyttet til ytterligere genetiske endringer som følge av innkryssing fra rømt oppdrettslaks vurderes som høy i produksjonsområde 7.

9.7 - Miljøeffekter som følge av utslipp av løste næringssalter fra fiskeoppdrett

Produksjonsområde 7 hadde i 2021 en produksjon av laksefisk på 121 671 tonn fisk. Estimerte årlige utslipp fra fiskeoppdrett i området var på 4672 tonn nitrogen og 621 tonn fosfor fordelt på et stort sjøareal på 9950 km². Dette vil gi et utslipp på 944 kg løst nitrogen og 126 kg løst fosfor per km² årlig. Beregnet økning av planteplanktonproduksjonen som skyldes utslipp fra fiskeoppdrett er 9,6 % i produksjonsområdet.

Området har en del lange smale fjorder der en trolig har lavere vannutskiftning enn i andre områder, slik som f.eks. Inner-Folda, Øyfjorden og Tosen, men de fleste oppdrettsanleggene ligger i områder med god overflatestrøm der løste næringssalter spres og fortynnes effektivt. Sannsynligheten for miljøeffekter som følge av utslipp av løste næringssalter fra fiskeoppdrett vurderes som lav i produksjonsområdet. Det finnes ikke miljødata fra oppdrettstette områder i denne produksjonssonen og kunnskapsstyrken vurderes som svak. Selv om det mangler måledata, er beregnet økning i planteplanktonproduksjon lav. Risiko knyttet til miljøeffekter av løste næringssalter fra fiskeoppdrett vurderes derfor som lav i produksjonsområde 7.

9.8 - Miljøeffekter som følge av partikulære organiske utslipp fra fiskeoppdrett

Forbruket av fôr i produksjonsområde 7 var på 158 535 tonn i 2021. Basert på massebalansebudsjett der estimert utslipp av fekalier er beregnet til 29,2 % og estimert fôrspill til 5-11 % av fôrmengden, utgjør dette et utslipp av 46 292 tonn fekalier og 7927-17 439 tonn spillfôr i produksjonsområdet, fordelt på 54 matfiskanlegg, som gir et snitt på 857 tonn fekalier og 147-323 tonn spillfôr per matfiskanlegg. I 2022 er fôrforbruket estimert til 136 742 tonn i området.

Det ble gjennomført totalt 30 B-undersøkelser i produksjonsområde 7 i 2021, alle vurdert til tilstandsklasse «meget god» og «god», bortsett fra en lokalitet i tilstandsklasse «dårlig». I 2022 ble det gjennomført 30 B-undersøkelser der alle ble vurdert til tilstandsklasse «meget god» eller «god», bortsett fra en lokalitet i tilstandsklasse «meget dårlig». Det ble gjennomført totalt 59 C-undersøkelser i produksjonsområdet i perioden 2017 til 2021 der 46 var i tilstandsklasse «svært god» og «god», syv i «moderat», fire i «dårlig» og to i «svært dårlig». I 2022 ble det gjennomført C-undersøkelser ved seks lokaliteter i området.

Basert på at 58 av 60 B-undersøkelser (97 %) og 46 av 59 (78 %) C-undersøkelser i området ble vurdert som «meget/svært gode» og «gode», vurderes sannsynligheten for miljøeffekter som følge av partikulære organiske utslipp fra fiskeoppdrett som lav i produksjonsområde 7. Resultatene fra C-undersøkelsene viser at 22 % ligger i «moderat» «dårlig» eller «svært dårlig» tilstand. Anlegg med slik tilstand blir imidlertid tettere overvåket og dermed registrert flere ganger over perioden 2017-2022. Det vil ytterligere bli innført endringer så miljøtilstanden kan forbedres. Beregningene av omtrentlig utslippsmengde basert på fôrforbruket vurderes som god og kunnskapsstyrken vurderes totalt sett som god. Risikoen knyttet til miljøeffekter på bløtbunn som følge av partikulære organiske utslipp fra fiskeoppdrett vurderes som lav for produksjonsområde 7.

Foreløpige data for B- og C-undersøkelsene for 2022 er hentet fra Fiskeridirektoratet.

9.9 - Miljøeffekter som følge av utslipp av kobber fra fiskeoppdrett

Estimert utslipp av kobber brukt som antigroemiddel basert på oppdrettsandel (6 %) og areal (4948 km2) i produksjonsområde 7 er på 11 kg kobber per km² i 2021, og vurderes som lavt. Utslipp fra fisken på grunn av kobber i fôret utgjør 0,2 kg per km2. I produksjonsområdet ble det gjennomført 60 C-undersøkelser i perioden 2017–2021. Miljøundersøkelsene viser at 24 % av lokalitetene i området har dårlig miljøtilstand i anleggssonen som vurderes å gi en moderat sannsynlighet for økte konsentrasjoner i sedimentet.

Modellsimuleringer der vi har antatt at 28 % av kobberet lekker ut til vannsøylen uten spyling, viser at passivt utlekket kobber kan gi et vesentlig bidrag til den totale kobberkonsentrasjonen i et fjordsystem, i størrelsesorden 0,2-0,4 μg/l. I trange fjorder med dårlig vannutveksling kan bidraget periodevis være opptil 1 μg/l. Spyling eller høytrykksspyling av kobberimpregnerte nøter vil kunne gi pulser med høyere konsentrasjoner. I produksjonsområde 7 foregår produksjonen av laksefisk hovedsakelig på bølgeeksponert og middels eksponert kyst og noe i fjorder. Siden kobber akkumulerer i sedimentene der strømforholdene gir liten grad av spredning, kan gjentatte utslipp over tid være en del av forklaringen for hvorfor såpass stor andel av anleggene har forhøyede verdier av kobber i sedimentet i anleggssonen. Totalt vurderes det å være moderat sannsynlighet for negative miljøeffekter av kobber i produksjonsområde 7.

Det mangler overvåkingsdata på kobberverdier i vannsøylen og det er derfor heller ikke mulig å vurdere hvordan løst kobber påvirker marine organismer som lever i vannmassene. Det er også behov for mer kunnskap om hvor mye av kobberet i sedimentet som er tilgengelig for organismer som lever i og på havbunnen nær anleggene og hva toleransegrensen for kobber er i disse organismene. Kunnskapsstyrken som ligger til grunn for sannsynlighetsbetraktningen vurderes som moderat. Risiko knyttet til miljøeffekter som følge av utslipp av kobber fra fiskeoppdrett vurderes som moderat i produksjonsområde 7.

9.10 - Miljøeffekter ved bruk av villfanget leppefisk i fiskeoppdrett

Data og informasjon om fangst og utsett av villfanget leppefisk samsvarer ikke med produksjonsområdene, da dette er oppgitt for henholdsvis tre ulike fiskerisoner og på fylkesnivå. Produksjonsområde 6 inngår i fangstområde "Nord for 62 grader nord» der kvoten for fangst av leppefisk er satt til 4 millioner fisk. I 2021 ble det fangstet nesten 3 millioner leppefisk i dette området. Fisket fordelte seg på de tre artene bergnebb (2,3 millioner), berggylt (600 000) og grønngylt (70 000). Detaljert oversikt over hvordan fiskeriet fordeler seg mellom de ulike produksjonsområdene innenfor fiskerisone "Nord for 62 grader nord» vites ikke, heller ikke geografisk område for fisket. Det er ikke rapportert om utsett av villfanget leppefisk i Nordland og nordover. Etter innføring av en rekke seleksjonsinnretninger i fangstredskapene, antas bifangst av undermåls leppefisk og andre arter å være redusert, og det vurderes å være lite eller ubetydelig endring i bestandene av bifangstarter som følge av fiske etter leppefisk.

Siden transporten av villfanget leppefisk i området i all hovedsak foregår via småbåter og tankbiler, og i tillegg er unntatt akvakulturforskriften, er det i praksis liten eller ingen behandling av verken transportmiddel eller transportvannet før det tømmes ut i mottaksområdet. Det finnes ingen nøyaktig oversikt over hvor den villfangete leppefisken transporteres og settes ut, men det benyttes både importert og lokalt fanget leppefisk i produksjonsområdet. Bruk av lokalt fanget leppefisk reduserer sannsynligheten både for smittespredning og genetisk påvirkning på lokale leppefiskbestander. Selv om høsting av leppefisk har vært innenfor tillatt kvote, har og er det utstrakt bruk av importert villfanget leppefisk i området. Selv om denne bruken er nedadgående, vurderes like vel sannsynligheten for miljøeffekter ved bruk av villfanget leppefisk som moderat i produksjonsområde 7.

Det er manglende kunnskap om smittestatus og i hvilken grad den villfangete leppefisken rømmer fra oppdrettsanleggene i området, men genetiske studier har gitt indikasjoner på innblanding i ville populasjoner av bergnebb og grønngylt i Trøndelag. Det er også begrenset kunnskap om bestandsutviklingen av de ulike leppefiskartene og kunnskapsstyrken vurderingen hviler på, vurderes totalt sett som moderat. Forankret i manglende kunnskap er det stor usikkerhet knyttet til hvor og hvilken sykdom som vil overføres og spres. Sykdommene som spres kan være tilfeller av både «nye», hittil ukjente sykdommer, eller sykdommer som er kjente, men nye for en gitt art eller i et område. Innførsel av kjente og ukjente sykdommer med transport av levende fisk samt flytting av levende fisk over større geografiske områder, vurderes som en mulig overraskelse som kan ha svært negativ innvirkning på norsk oppdretts- og villfisk. Risikoen knyttet til miljøeffekter ved bruk av villfanget leppefisk i fiskeoppdrett vurderes som moderat i produksjonsområde 7.

10 - Produksjonsområde 8, Helgeland til Bodø

10.1 - Beskrivelse av produksjonsområdet

I produksjonsområde 8 var det i 2021 og 2022 henholdsvis 78 og 80 oppdrettslokaliteter som i løpet av året rapporterte inn fisk. Området hadde i 2021 en gjennomsnittlig månedlig stående biomasse på 86 400 tonn laks med et totalt uttak til slakt på 176 956 tonn laks. Produksjonstall for 2022 er på 83 223 tonn gjennomsnittlig månedlig stående biomasse med et uttak til slakt i samme periode på 183 222 tonn (Fiskeridirektoratets biomassestatistikk, 25.1.2023). Det var ingen produksjon av regnbueørret i området. Totalt areal for produksjonsområdet er på 27 499 km2, sjøareal er 13 164 km2 og sjøareal innenfor grunnlinjen er på 12 414 km2.

Produksjonsintensitet PO8
Figur 10.1. Godkjente akvakulturlokaliteter for laks, ørret og regnbueørret og produksjonsintensitet (gjennomsnittlig biomasse per måned i tonn per km2) i vannforekomstene i produksjonsområde 8 Helgeland til Bodø i perioden 2020-2021. Kilde Fiskeridirektoratet.

 

Middeltemperaturen i de øvre vannmassene i produksjonsområde 8 ligger normalt på rundt 13 oC om sommeren og rundt 5 oC om vinteren. Vinteren 2021 fra januar til april var kald, mai hadde normale temperaturer, mens juni og juli var relativt varme. Mens januar og februar 2022 var noe kald, hadde våren og sommeren nær normale temperaturer. August var også noe kald. Ferskvannsavrenningen og brakkvannsstyrken hadde relativt normale verdier gjennom vår og sommer 2021, mens i 2022 var ferskvannsavrenningen til området høyere enn normalt, spesielt i juni. Dette ga en brakkvannsstyrke som også var sterkere enn normalt. Mens mai 2022 hadde litt lavere overflatesaltholdigheter enn normalt, så var juni preget av enda lavere saltholdigheter i forhold til referanseårene.

Produksjonen av laksefisk foregår hovedsakelig på bølgeeksponert og middels eksponert kyst og noe i fjorder. De fleste anleggene ligger i områder med god overflatestrøm. Det er fire små vannforekomster (< 10 km2) i området med produksjonsintensitet (gjennomsnittlig biomasse per måned, tonn/km2) over 150 tonn/km2: Visten ytre (221 tonn/km2), Halsfjorden (156 tonn/km2), Ytre Sundan (199 tonn/km2) og Fauskevika (176 tonn/km2). I Holandsfjorden viser modellert utskifting av bunnvann at utskiftingen skjer sjelden, men det er ingen observasjoner som støtter dette resultatet. Det er noe oppdrettsaktivitet i fjordområdet, men produksjonsintensiteten er lav (< 50 tonn/km2). Også Skjærstadfjorden gir et modellresultat som tilsier sjelden utskifting av bunnvann, men observasjoner som tyder på årlig utskiftning støtter ikke modellen. Det er oppdrettsproduksjon i indre del av Skjærstadfjorden, med en produksjonsintensitet på 176 tonn/km2 i Fauskevika og 66 tonn/km2 i Saltdalsfjorden.

Det er totalt 30 laksevassdrag i produksjonsområdet. Gytebestandsmålene blir nådd for mange av vassdragene i produksjonsområdet. Det høstbare overskuddet er imidlertid lavt i mange vassdrag, noe som gjør dem sårbare for at de kan komme under gytebestandsmålene i framtiden. Ni vassdrag i regionen er enten nylig friskmeldt eller under friskmelding etter behandling mot Gyrodactylus salaris. Vassdragene med full vurdering utgjør bare 39 % av det samlede gytebestandsmålet i regionen. Vurdering av bestandsstatus er basert på årlige vurderinger gjort av Vitenskapelig råd for lakseforvaltning (VRL), aggregert per produksjonsområder for «Rømt oppdrettslaks – risikovurdering og kunnskapsstatus 2023». 

10.2 - Oppsummering av risiko knyttet til dyrevelferd og miljøeffekter av fiskeoppdrett for produksjonsområde 8

PO8 risiko
Figur 10.2. Oppsummering av risiko knyttet til dyrevelferd og miljøeffekter av fiskeoppdrett for produksjonsområde 8.

For produksjonsområde 8 har det vært rapportert moderate rømmingstall i perioden 2017-2021, høyt innslag av rømt oppdrettslaks i elvene og dårlig effekt av utfisking. Villfiskens bestandsstatus vurderes som dårlig, og det er påvist et høyt nivå av genetisk endring i villaksbestandene i området. Det mangler kunnskap knyttet til omfanget av rømming og påvirkning fra rømming i andre produksjonsområder, det er moderat dekning i overvåkingsprogrammet og for vurdering av bestandsstatus og genetisk status i området. Risikoen vurderes som høy knyttet til ytterligere genetiske endringer som følge av innkryssing fra oppdrettslaks i produksjonsområde 8.

Utslippene av lakselus i produksjonsområde 8 varierer, men vurderes totalt sett som lave i perioden 2012-2022, og smittepresset i området vurderes å være lavt. Dødelighet hos utvandrende postsmolt laks som følge av lakselussmitte fra oppdrett var estimert til å være lav (<10 % dødelighet) frem til 2019 og moderat (10-30 % dødelighet) i perioden 2020-2022. Risiko knyttet til dødelighet av postsmolt laks grunnet lakselus i produksjonsområde 8 vurderes totalt sett som lav. Sjøørret oppholder seg i sjøen over en lang periode utover sommeren og smittepresset i enkelte områder kan være høyt. For området som helhet vurderes overlapp mellom fisk og lus til å være høyt, og redusert marint verneområde er estimert til i stor grad å være <10 %. Risiko knyttet til negative effekter på sjøørreten grunnet lakselussmitte fra oppdrett vurderes å være moderat.

Det var få rapporterte utbrudd av infeksiøs lakseanemi (ILA) i produksjonsområde 8 i 2021 og 2022. Risiko for endring i forekomst av ILA hos villaks som følge av virussmitte fra fiskeoppdrett, vurderes å være lav. Kunnskapsstyrken vurderes imidlertid som svak og kan gi opphav til overraskende hendelser med kritisk store konsekvenser, her markert som en sort svane (Figur 10.2).

Rapportert dødelighet (inkl. utkast) for oppdrettslaksen i produksjonsområde 8 var 8 - 12 % for 2018-2020-generasjonene og ligger under landsgjennomsnittet på 15 % for 2020-generasjonen. Basert på dødelighetstallene vurderes risiko knyttet til dødelighet hos laks i sjø som lav for oppdrettslaks i området.

Produksjonen av laksefisk i produksjonsområde 8 er høy, noe som medfører høye utslipp både av spillfôr, fekalier og næringssalter. Overvåkingsdata indikerer imidlertid at miljøtilstanden er god, og risiko knyttet til miljøeffekter som følge av utslipp av næringssalter og partikulært organisk materiale vurderes som lav. Hvordan bruken av kobberimpregnering fordeler seg i området er ukjent, men basert på miljøundersøkelsene har vi til en viss grad oversikt over lokalitetene med forhøyede kobberverdier. For produksjonsområde 8 vurderes risikoen som lav knyttet til miljøeffekter av kobberutslipp fra fiskeoppdrett.

Det vurderes å være høy risiko knyttet til ytterligere genetiske endringer som følge av innkryssing fra oppdrettslaks og moderat risiko knyttet til negative effekter på sjøørret og sjørøye. Risikoreduserende tiltak bør vurderes for å holde rømmingshendelsene i området nede og redusere utslippene av lakselus under beiteperioden til sjøøret og sjørøye i produksjonsområdet.

10.3 - Dødelighet hos oppdrettslaks i sjø

Det ble satt ut ca. 38 millioner laks i produksjonsområde 8 i 2020, ca. 38 millioner i 2021 og ca. 39 millioner i 2022 (estimat fra Fiskeridirektoratets biomassedatabase). Ved utgangen av 2022 var det ikke lenger laks igjen i sjø fra 2020-generasjonen, men det var fortsatt ca. 25 % og 94 % igjen av 2021- og 2022-generasjonene. Rapportert dødelighet (inkl. utkast) for 2020-genereasjonen var 8 %. Her fant vi imidlertid en feil i databasen, og den egentlige verdien er antagelig nærmere 10 %. Dette er på linje med de to generasjonene før, 2018- og 2019-generasjonene, som hadde henholdsvis 12 og 9 % dødelighet. 2021-generasjonen har en dødelighet på 10 % ved utgangen av 2022, og med ca. 20 % av laksen igjen i sjøen, forventes den dermed å havne på samme nivå som 2018-generasjonen. Det kan dermed se ut som det ikke har vært noen vesentlig endring i dødelighet hos oppdrettslaks i produksjonsområde 8 de siste årene, og at denne varierer rundt 10 %. Sannsynligheten vurderes som lav (vesentlig under landsgjennomsnittet) for at en laks i en oppdrettsmerd i produksjonsområde 8 får så dårlig velferd at den dør eller blir regnet som utkast i 2023.

Det har vært relativt mange ILA-påvisninger de siste to årene, seks for 2020-generasjonen, to for 2021 (+ en mistanke), men ennå ingen rapporterte tilfeller for 2022-generasjonen. ILA-fisk blir typisk slaktet ut og dermed ikke registrert som død eller destruert. Totalt sett vurderes sannsynligheten som lav for at en laks i en oppdrettsmerd i produksjonsområde 8 skal ha så dårlig velferd at den dør eller blir regnet som utkast i 2023 (vesentlig under landsgjennomsnittet). Siden dødelighetstallene fra generasjon til generasjon er relativt stabile uten tegn til vesentlig endring, vurderes kunnskapstyrkens om sterk. Risiko knyttet til dødelighet hos laks i norske oppdrettsmerder vurderes som lav for produksjonsområde 8.

10.4 - Dødelighet hos utvandrende postsmolt laks og negative effekter på sjøørret og sjørøye som følge av utslipp av lakselus fra fiskeoppdrett

Utslippene av lakselus i produksjonsområde 8 har i tidsperioden 2014-2022 holdt seg relativt stabilt, med noe lavere utslipp i 2019, høyest i 2021 og 2022. Utslippene vurderes som lave frem til 2019, men som moderate i 2021-2022. Området har en del fjorder med brakkvann i innerste deler, som vil gi noe beskyttelse mot lus.

Det antas at utvandringen av laks fra elvene i området hovedsakelig foregår i tidsrommet 20. mai – 6. juli, mens dato for median utvandring (dato når halvparten av smolten har vandret ut) er satt til 13. juni. Modellestimater indikerer at det er få områder hvor det akkumuleres mye smittsomme lakselus under tidlig og normal smoltutvandring i 2019-2022, mens det i enkelte år er noe forhøyet for sent utvandrende fisk. Utvandringsperioden er kjent for en del elver i området, mens utvandringsrutene ikke er undersøkt, og det er ukjent om fisken vandrer direkte ut eller om de følger kysten. Det foreligger ikke observasjoner på utvandrende postsmolt laks, men smittepresset i ytre deler av enkelte fjorder basert på ruse- og garnfangst av sjøørret, indikerer lav til moderat smitte. Det skal bemerkes at stasjonen undersøkt de siste årene (Leirfjord) ligger i en nasjonal laksefjord (Vefsnfjorden). Tidligere års undersøkelser har indikert en del lus på sjøørret fanget ved Gildeskål, i den nasjonale laksefjorden Beiarfjorden. Smoltmodellen indikerer fra lav til moderat smitte av lus på smolten i produksjonsområdet. Totalt sett for området vurderes det at det er liten grad av overlapp mellom utvandrende postsmolt laks og forhøyede tettheter av lakselus.

Den estimerte dødeligheten varierer mellom lav (<10 % dødelighet) og moderat (10-30 % dødelighet) for området. Elvene innenfor Sandnesjøen og Nesna-området er oftest negativt påvirket, men også øvrige elver er i enkelte år negativt påvirket med moderat estimert dødelighet. Sannsynlighet for dødelighet hos utvandrende postsmolt laks som følge av utslipp av lakselus fra fiskeoppdrett vurderes totalt sett som lav i produksjonsområde 8.

Kunnskapen om utslipp av lakselus er basert på omfattende tellinger i oppdrettsanleggene over flere år av voksne lakselus som er enkle å telle. Antall fisk i oppdrettsanleggene vurderes også som relativ sikre data. Beregningene av tetthet av lakselus er basert på godt utprøvde hydrodynamiske modeller som dekker hele landet. Utvandringsrutene til laksen er lite kjent i området. I modellen antas det at fisken vandrer rett ut i havet, men følger den kysten vil overlapp mellom fisk og lus øke. Den nye smoltmodellen gir noe høyere estimater av lus på laksen. Vi ikke har andre data på laks, og totalt sett vurderes kunnskapsstyrken som svak.

Sjøørret og sjørøye antas å vandre ut om våren omtrent på samme tid som laks, men at fisken oppholder seg i området over en lengre periode. Modellene indikerer et redusert marint leveområde for årene 2019-2022 på <10 % (lavt) for tidlig utvandrende fisk, moderat (10-30 %) de to siste årene for fisken med normal utvandring. Modellresultatene viser at områdene med forhøyet smittepress er lokale, men større områder når moderat utbredelse utover beiteperioden. Sannsynlighet for negative effekter for sjøørret og sjørøye som følge av utslipp av lakselus fra fiskeoppdrett vurderes totalt sett som moderat i produksjonsområde 8. Kunnskapen om utslipp og tetthet av lakselus er basert på det samme datagrunnlaget som for utvandrende postsmolt laks. Kunnskap knyttet til beiteperiode for sjøørreten vurderes som god, mens det er manglende kunnskap knyttet til fiskens tålegrenser og atferdsrespons for lakselus Totalt sett vurderes kunnskapsstyrken som moderat. Samlet sett for produksjonsområde 8 vurderes risikoen som moderat knyttet til negative effekter på beitende sjøørret og sjørøye, som følge av lakselussmitte fra oppdrett.

10.5 - Endring i forekomst av infeksiøs lakseanemi og pankreassykdom hos villaks som følge av virussmitte fra fiskeoppdrett

Det var fem rapporterte utbrudd av infeksiøs lakseanemi (ILA) i produksjonsområde 8 i 2021, mens det i 2022 er indikert tre ILA-tilfeller. Det er ikke rapportert tilfeller av pankreassykdom (PD) for produksjonsområdet verken i 2021 eller 2022. Forekomst av ILAV og SAV ble ikke undersøkt av Havforskningsinstituttets overvåkingsprogram for virus i villaks og rømt oppdrettslaks i produksjonsområde 8.

ILA PO8
Figur 10.3. Påviste og mistenkte funn av infeksiøs lakseanemi (ILA) i 2021 og 2022 i produksjonsområde 8. (Kilde Fiskeridirektoratet og BarentsWatch, januar 2023).

 

Det er kun rapportert inn et lite antall rømt oppdrettslaks for området i 2021 og 2022. Med unntak av en større rømming i produksjonsområde 7 i 2021, er det rapportert få rømte oppdrettslaks i de tilstøtende produksjonsområdene 7 og 9. Det er ikke registrert sykdom på fisken fra de større rømmingsepisodene rundt rømmingstidspunktet. Dette tilsier lav sannsynlighet for at rømt laks med ILAV skal vandre inn i produksjonsområde 8 og utgjøre en smittefare.

Med få utbrudd av ILA i 2021-2022 og få rapporterte rømt oppdrettslaks, vurderes sannsynligheten for endring i forekomst av ILA hos vill laksefisk som følge av smitte fra oppdrett som lav i produksjonsområde 8. Det er lite kunnskap om hvor mye ILAV som slippes ut fra anleggene og om hvor mye smittet oppdrettslaks det faktisk er i elvene. Kunnskapen om hvor smittsomme de to virusene er i naturen, om virusets robusthet, minste infeksiøse dose og graden av spredning og fortynning av viruset i området, vurderes også som svak. Det finnes en del erfaringskunnskap og data om konsekvenser fra oppdrett og fra laboratorieforsøk med oppdrettsfisk og noe på villaks, men ingen fra villaks i naturen. Forekomst av ILAV hos villaks og rømt oppdrettslaks ble ikke undersøkt av Havforskningsinstituttets overvåkingsprogram i produksjonsområdet. Kunnskapsstyrken knyttet til vurderingen av forekomst av ILA hos villaks som følge av virussmitte fra fiskeoppdrett vurderes derfor totalt sett å være svak og kan gi opphav til overraskende hendelser med kritisk store konsekvenser. Til tross for manglende kunnskap er det relativt få utbrudd av ILAV hos villfisk i perioden 2021-2022 og et fåtall rømt fisk både i området og i tilstøtende produksjonsområde. Risikoen knyttet til endring i forekomst av ILA som følge av virussmitte fra fiskeoppdrett vurderes som lav i produksjonsområde 8.

Foreløpige data for sykdom og rømming for 2022 er hentet fra Veterinærinstituttet og karttjenestene BarentsWatch og Yggdrasil (Fiskeridirektoratet). Disse data er ennå ikke kvalitetssikret og det er variasjon mellom kildene.

10.6 - Ytterligere genetisk endring hos villaks som følge av innkryssing av rømt oppdrettslaks

Det ble rapportert om totalt 11 635 rømte oppdrettslaks i produksjonsområde 8 i perioden 2017–2021, med de høyeste rømmingstallene i 2019 og 2020 med henholdsvis 4476 og 7032 rømt oppdrettslaks. I 2021 ble rapportert om 30 rømt fisk, og foreløpig statistikk fra Fiskeridirektoratet viser at det har vært rapportert noen mindre rømmingshendelser i området i 2022. Av totalt 30 elver i området overvåkes gjennomsnittlig 16 vassdrag årlig for andel rømt oppdrettslaks. Det er 10 % av vassdragene i området med høy andel og 19 % med moderat andel av rømt oppdrettslaks i perioden 2017-2021. I 2021 var det fire vassdrag med høy og tre vassdrag med moderat andel rømt oppdrettslaks. Av vassdrag med høy og middels andel av rømt laks, ble det samme år gjennomført utfisking i gjennomsnittlig 38 % og 40 % av vassdragene i perioden 2017-2021. Til sammen er 150 rømte oppdrettslaks fjernet og verifisert fra vassdragene i området i samme periode (107 ble fjernet i 2021).

Andel PO8
Figur 10.4. Lokalisering av elver hvor andel rømt oppdrettslaks i 2021 ble vurdert av Overvåkningsprogrammet for rømt oppdrettslaks i vassdrag og lokaliteter som rapporterte om rømming av oppdrettslaks til Fiskeridirektoratet i 2021 og 2022 (foreløpig statistikk 1.1.2023).

 

Det er gjort vurdering av genetisk status i 11 av totalt 30 villaksbestander i produksjonsområdet som utgjør 81 % av produksjonsområdets totale gytebestandsmål. I fem av villaksbestandene i området er det observert stor genetisk endring, mens ingen bestander har moderat genetisk endring som følge av innkryssing av oppdrettslaks. I tre av vassdragene er det indikert svake genetiske endringer og det er tre bestander der det ikke er observert noen genetisk endring. Totalt sett vurderes det at villaksbestandene i området har et høyt nivå av innkryssing fra oppdrettslaks.

Basert på moderate rømmingstall, høyt innslag av rømt oppdrettslaks i elvene og dårlig effekt av utfisking for området, ettersom det er elver med høyt og middels innslag hvor det ikke har vært utfisking, vurderes det totalt sett å være høy sannsynlighet for forekomst av rømt oppdrettslaks på gyteplassene. Det er alt påvist et høyt nivå av genetisk endring i villaksbestandene i området, og villfiskens bestandsstatus i området er dårlig. Bestandenes robusthet mot ny innkryssing vurderes totalt sett som dårlig. Det vurderes totalt sett at sannsynligheten for ytterligere genetisk endring som følge av innkryssing fra oppdrettslaks i produksjonsområdet er høyt.

Det mangler kunnskap knyttet til omfang av rømming og påvirkning fra rømming i andre produksjonsområder. Overvåkingsprogrammet dekker kun i gjennomsnitt 16 av 30 elver i perioden 2017-2021, og derav manglende kunnskap knyttet til om det forekommer rømt oppdrettslaks i disse vassdragene. Det er også moderat dekning av bestander der genetisk status er undersøkt og kunnskap knyttet til bestandsstatus er moderat. Den totale kunnskapsstyrken for området vurderes derfor som moderat. Risiko knyttet til ytterligere genetiske endringer som følge av innkryssing fra rømt oppdrettslaks vurderes som høy i produksjonsområde 8.

10.7 - Miljøeffekter som følge av utslipp av løste næringssalter fra fiskeoppdrett

Produksjonsområde 8 hadde i 2021 en produksjon av laksefisk på 176 956 tonn fisk. Estimerte årlige utslipp fra fiskeoppdrett i området var på 6795 tonn nitrogen og 902 tonn fosfor fordelt på et stort sjøareal på 12414 km². Dette vil gi et utslipp på 547 kg løst nitrogen og 73 kg løst fosfor per km² årlig. Beregnet økning av planteplanktonproduksjonen som skyldes utslipp fra fiskeoppdrett er 5,6 % i produksjonsområdet.

Produksjonen av laksefisk foregår hovedsakelig på bølgeeksponert og middels eksponert kyst og noe i fjorder. De fleste anleggene ligger i områder med god overflatestrøm der løste næringssalter spres og fortynnes effektivt. Sannsynligheten for miljøeffekter som følge av utslipp av løste næringssalter fra fiskeoppdrett vurderes som lav i produksjonsområdet. ØKOKYST-programmet har noen stasjoner for makroalger i området på kysten sør for Sandnessjøen og en stasjon der man måler næringssalter og klorofyll a ved Vega. Disse målestasjoner viser «svært god» eller «god» miljøtilstand for næringssalter, men det er få stasjoner totalt sett og kunnskapsstyrken vurderes som moderat. Selv om det mangler måledata, er beregnet økning i planteplanktonproduksjon lav. Risiko knyttet til miljøeffekter av løste næringssalter fra fiskeoppdrett vurderes derfor som lav i produksjonsområde 8.

10.8 - Miljøeffekter som følge av partikulære organiske utslipp fra fiskeoppdrett

Forbruket av fôr i produksjonsområde 8 var på 211 595 tonn i 2021. Basert på massebalansebudsjett der estimert utslipp av fekalier er beregnet til 29,2 % og estimert fôrspill til 5-11 % av fôrmengden, utgjør dette et utslipp av 61 786 tonn fekalier og 10 580-23 275 tonn spillfôr i produksjonsområdet fordelt på 78 matfiskanlegg, som gir et snitt på 792 tonn fekalier og 136-298 tonn spillfôr per matfiskanlegg. I 2022 er fôrforbruket estimert til 203 675 tonn i området.

Det ble gjennomført totalt 38 B-undersøkelser i produksjonsområde 8 i 2021 alle vurdert til tilstandsklasse «meget god» og «god». I 2022 ble det gjennomført 44 B-undersøkelser på totalt 42 lokaliteter, der tre lokaliteter ble vurdert som «dårlig» og en som «meget dårlig», resten som «meget god» eller «god». Det ble gjennomført totalt 81 C-undersøkelser i produksjonsområdet i perioden 2017 til 2021 der 76 var i tilstandsklasse «svært god» og «god», tre i «moderat» og to i «dårlig». I 2022 ble det gjennomført C-undersøkelser ved 16 lokaliteter i området.

Basert på at 78 av 82 B-undersøkelser (95 %) og 76 av 81 (94 %) C-undersøkelser i området ble vurdert som «meget/svært gode» og «gode», vurderes sannsynligheten for miljøeffekter som følge av partikulære organiske utslipp fra fiskeoppdrett som lav i produksjonsområde 8. Beregningene av omtrentlig utslippsmengde basert på fôrforbruket vurderes som god. Resultatene fra B- og C-undersøkelsene vurderes som gode for lokalitetene som ligger over bløtbunn og kunnskapsstyrken vurderes totalt sett som god. Risikoen knyttet til miljøeffekter på bløtbunn som følge av partikulære organiske utslipp fra fiskeoppdrett vurderes som lav for produksjonsområde 8.

Foreløpige data for B- og C-undersøkelsene for 2022 er hentet fra Fiskeridirektoratet.

10.9 - Miljøeffekter som følge av utslipp av kobber fra fiskeoppdrett

Estimert utslipp av kobber brukt som antibegroingsmiddel basert på oppdrettsandel (11 %) og areal (12414 km2) er på 8 kg kobber per km² i 2021, og vurderes som lavt. Utslipp fra fisken på grunn av kobber i fôret utgjør 0,1 kg per km2. Det ble gjennomført 85 C-undersøkelser i produksjonsområde 8 i perioden 2017 til 2021. Miljøundersøkelsene viser at 12 % av anleggene har forhøyede kobberverdier i anleggssonen.

Modellsimuleringer der vi har antatt at 28 % av kobber fra impregnert not lekker ut til vannsøylen uten spyling, viser at passivt utlekket kobber kan gi et vesentlig bidrag til den totale kobberkonsentrasjonen i et fjordsystem, i størrelsesorden 0,2-0,4 μg/l. I trange fjorder med dårlig vannutveksling kan bidraget periodevis være opptil 1 μg/l. Spyling eller høytrykksspyling av kobberimpregnerte nøter vil kunne gi pulser med høyere konsentrasjoner. I produksjonsområde 8 foregår produksjonen av laksefisk hovedsakelig på bølgeeksponert og middels eksponert kyst og noe i fjorder, noe som kan bidra til å forklare avviket fra ønsket tilstand. Totalt sett vurderes det å være lav sannsynlighet for negative effekter på miljøet som følge av bruk av kobber i fiskeoppdrett i produksjonsområde 8.

Det mangler overvåkingsdata på kobberverdier i vannsøylen og det er derfor heller ikke mulig å vurdere hvordan løst kobber påvirker marine organismer som lever i vannmassene. Det er også manglende kunnskap om hvor mye av kobberet i sedimentet som er tilgengelig for organismer som lever i og på havbunnen nær anleggene og hva toleransegrensen for kobber er i disse organismene. Totalt sett vurderes kunnskapsstyrken som moderat. I sum vektes de lave utslippene mer enn de forhøyede kobbernivåene i et svært avgrenset område. Risiko knyttet til miljøeffekter som følge av utslipp av kobber fra fiskeoppdrett vurderes som lav i produksjonsområde 8.

11 - Produksjonsområde 9, Vestfjorden og Vesterålen

11.1 - Beskrivelse av produksjonsområdet

I produksjonsområde 9 var det i 2021og 2022 henholdsvis 85 og 84 oppdrettslokaliteter som i løpet av året rapporterte inn fisk. Området hadde i 2021 en gjennomsnittlig månedlig stående biomasse på 82 972 tonn laksefisk med et totalt uttak til slakt på 157 857 tonn laks og 2686 tonn regnbueørret i området i 2021. Produksjonstall for 2022 er på 83 067 tonn gjennomsnittlig månedlig stående biomasse med et uttak til slakt i samme periode på 150 240 tonn (Fiskeridirektoratets biomassestatistikk, 25.1.2023). Det ble ikke produsert regnbueørret i området i 2022. Totalt areal for produksjonsområdet er på 28 113 km2, sjøareal er 16 625 km2 og sjøareal innenfor grunnlinjen er på 15 454 km2.

Produskjonsintensitet PO9
Figur 11.1. Godkjente akvakulturlokaliteter for laks, ørret og regnbueørret og produksjonsintensitet (gjennomsnittlig biomasse per måned i tonn per km2) i vannforekomstene i produksjonsområde 9 Vestfjorden og Vesterålen i perioden 2020-2021. Kilde Fiskeridirektoratet.

 

Middeltemperaturen i de øvre vannmassene i produksjonsområde 8 ligger normalt på rundt 13 oC om sommeren og rundt 5 oC om vinteren. Vinteren 2021 fra januar til april var kald, mai hadde normale temperaturer, mens juni og juli var relativt varme. Mens januar og februar 2022 var noe kald, hadde våren og sommeren nær normale temperaturer. August var også noe kald. Ferskvannsavrenningen og brakkvannsstyrken hadde relativt normale verdier gjennom vår og sommer 2021, mens i 2022 var ferskvannsavrenningen til området høyere enn normalt, spesielt i juni. Dette ga en brakkvannsstyrke som også var sterkere enn normalt. Mens mai 2022 hadde litt lavere overflatesaltholdigheter enn normalt, så var juni preget av enda lavere saltholdigheter i forhold til referanseårene.

Produksjonen av laksefisk foregår hovedsakelig på bølgeeksponert og middels eksponert kyst og noe i fjorder. De fleste anleggene ligger i områder med god overflatestrøm. Det er fire små vannforekomster (< 10 km2) i området med produksjonsintensitet (gjennomsnittlig biomasse per måned, tonn/km2) over 150 tonn/km2: Visten ytre (221 tonn/km2), Halsfjorden (156 tonn/km2), Ytre Sundan (199 tonn/km2) og Fauskevika (176 tonn/km2). I Holandsfjorden viser modellert utskifting av bunnvann at utskiftingen skjer sjelden, men det er ingen observasjoner som støtter dette resultatet. Det er noe oppdrettsaktivitet i fjordområdet, men produksjonsintensiteten er lav (< 50 tonn/km2). Også Skjærstadfjorden gir et modellresultat som tilsier sjelden utskifting av bunnvann, men observasjoner som tyder på årlig utskiftning støtter ikke modellen. Det er oppdrettsproduksjon i indre del av Skjærstadfjorden, med en produksjonsintensitet på 176 tonn/km2 i Fauskevika og 66 tonn/km2 i Saltdalsfjorden.

Det er totalt 57 laksevassdrag i produksjonsområdet. Gytebestandsmålene blir nådd for mange av vassdragene i produksjonsområdet, men det høstbare overskuddet er lavt i en del av vassdragene. Vassdragene med full vurdering utgjør 65 % av det samlede gytebestandsmålet i regionen. Vurdering av bestandsstatus er basert på årlige vurderinger gjort av Vitenskapelig råd for lakseforvaltning (VRL), aggregert per produksjonsområder for «Rømt oppdrettslaks – risikovurdering og kunnskapsstatus 2023». 

11.2 - Oppsummering av risiko knyttet til dyrevelferd og miljøeffekter av fiskeoppdrett for produksjonsområde 9

PO9 oppsummering
Figur 11.2. Oppsummering av risiko knyttet til dyrevelferd og miljøeffekter av fiskeoppdrett for produksjonsområde 9.

For produksjonsområde 9 har det vært rapportert moderate rømmingstall i perioden 2017-2021, høyt innslag av rømt oppdrettslaks i elvene og dårlig effekt av utfisking. Villfiskens bestandsstatus vurderes som moderat og det er påvist et moderat nivå av genetisk endring i villaksbestandene i området. Det mangler kunnskap knyttet til omfanget av rømming og påvirkning fra rømming i andre produksjonsområder, det er dårlig dekning i overvåkingsprogrammet og moderat dekning for vurdering av genetisk status og bestandsstatus i området. Risikoen vurderes som høy knyttet til ytterligere genetiske endringer som følge av innkryssing fra oppdrettslaks i produksjonsområde 9.

Rapportert dødelighet (inkl. utkast) for oppdrettslaksen i produksjonsområde 9 var 13 og 11 % for 2019 og 2020-generasjonene og ligger under landsgjennomsnittet på 15 % for 2020-generasjonen. For 2018-generasjonen ga imidlertid oppblomstring av algen Chrysochromulina leadbeateri en dødelighet på 23 %. Basert på at dødelighetstallene igjen er nede på et relativt lavt nivå, vurderes risiko knyttet til dødelighet hos laks i sjø som lav for oppdrettslaks i området.

Det var få rapporterte utbrudd av infeksiøs lakseanemi (ILA) i produksjonsområde 9 i 2021 og 2022. Risiko for endring i forekomst av ILA hos villaks som følge av virussmitte fra fiskeoppdrett, vurderes å være lav. Kunnskapsstyrken vurderes imidlertid som svak og kan gi opphav til overraskende hendelser med kritisk store konsekvenser, her markert som en sort svane (Figur 11.2).

Utslippene av lakselus i produksjonsområde 9 var totalt sett lave i perioden 2012-2022 og smittepresset i området vurderes å være lavt. Dødelighet hos utvandrende postsmolt laks som følge av lakselussmitte fra oppdrett er estimert til å være lav de fleste år (<10 % dødelighet). Risiko knyttet til dødelighet av postsmolt laks grunnet lakselus i produksjonsområde 9 vurderes som lav.

Sjøørret oppholder seg i sjøen over en lang periode utover sommeren, men smittepresset mesteparten av området er lavt gjennom beitesesongen. For området som helhet estimeres redusert marint verneområde til å være lavt (<10 %). Risiko knyttet til negative effekter på sjøørreten grunnet lakselussmitte fra oppdrett vurderes å være lav.

Produksjonen av laksefisk i produksjonsområde 9 er høy, noe som medfører høye utslipp både av spillfôr, fekalier og næringssalter. Overvåkingsdata indikerer imidlertid at miljøtilstanden er god, og risiko knyttet til miljøeffekter som følge av utslipp av næringssalter og partikulært organisk materiale vurderes som lav. Hvordan bruken av kobberimpregnering fordeler seg i området er ukjent, men basert på miljøundersøkelsene har vi til en viss grad oversikt over lokalitetene med forhøyede kobberverdier. For produksjonsområde 9 vurderes risikoen som lav knyttet til miljøeffekter av kobberutslipp fra fiskeoppdrett.

Det vurderes å være høy risiko knyttet til ytterligere genetiske endringer som følge av innkryssing fra oppdrettslaks. Risikoreduserende tiltak bør vurderes for å holde rømmingshendelsene i produksjonsområdet nede.

11.3 - Dødelighet hos oppdrettslaks i sjø

Det ble satt ut ca. 33 millioner laks i produksjonsområde 9 i 2020, ca. 36 millioner i 2021 og ca. 38 millioner i 2022 (estimat fra Fiskeridirektoratets biomassedatabase). Ved utgangen av 2022 var det ikke lenger laks igjen i sjø fra 2020-generasjonen, men det var fortsatt ca. 35 % og 95 % igjen av 2021- og 2022-generasjonene. Rapportert dødelighet (inkl. utkast) var 11 % for 2020-generasjonen, vesentlig lavere enn landsgjennomsnittet på 15 %. Dødelighet i produksjonsområde 9 for de to foregående generasjonene (2018 og 2019) var 23 % og 13 %. Den uvanlig høye dødeligheten for 2018-generasjonen skyldes oppblomstring av algen Chrysochromulina leadbeateri i 2019, som også ga noe økt dødelighet for første del av 2019-generasjonen. Lignende algeoppblomstringer har også hendt i 1991 og en mindre oppblomstring i 2008 i denne landsdelen. For 2021-generasjonen er dødeligheten foreløpig 10 %, men siden mye av den gjenstående fisken vil bli slaktet ut i løpet av de neste månedene, forventes ikke den endelige dødeligheten å bli vesentlig over 11 %. Produksjonsområde 9 er dermed tilbake til en dødelighet rundt 11 % per generasjon. Sannsynligheten vurderes som lav for at en laks i en oppdrettsmerd i produksjonsområde 9 får så dårlig velferd at den dør eller blir regnet som utkast i 2023 (vesentlig under landsgjennomsnittet).

2020-generasjonen hadde to påvisninger av ILA mot slutten av produksjonen, mens både 2021-generasjonen og 2022-generasjonen så langt ikke har hatt påvisninger av ILA. Siden dødelighetstallene i området, med unntak av for 2018-generasjonen, er relativt stabile fra generasjon til generasjon, vurderes kunnskapsstyrken som god. Risiko knyttet til dødelighet hos laks i norske oppdrettsmerder vurderes som lav for produksjonsområde 9, men det bemerkes at overraskelser i form av algeoppblomstring kan forekomme i dette området også i fremtiden.

11.4 - Dødelighet hos utvandrende postsmolt laks og negative effekter på sjøørret og sjørøye som følge av utslipp av lakselus fra fiskeoppdrett

Utslippene av lakselus i produksjonsområde 9 har i tidsperioden 2012-2022 holdt seg relativt lave, med noe høyere utslipp i 2021. Området har i liten grad brakkvannslag som vil skape område uten lus. Samlet sett vurderes miljøforholdene å være moderat gunstig for lakselus.

Det antas at utvandringen av laks fra elvene i området hovedsakelig foregår i tidsrommet 20. mai – 13. juli, mens dato for median utvandring (dato når halvparten av smolten har vandret ut) er satt til 13. juni. Modellestimater indikerer at det for årene 2019-2022 er enkelte avgrensede områder slik som Folda i 2019 og 2021 hvor det estimeres moderate og høye tettheter av lakselus. Fjordene i området er korte (< 5 mil, oftest mye kortere med unntak av indre deler av Ofotfjorden), og vi antar at laksen i liten grad følger kysten. Tetthet av lakselus er høyest langs kysten og øker først etter dato for median utvandring. Med utgangspunkt i at postsmolten vandrer rett ut i havet, vurderes sannsynligheten dermed som lav for overlapp mellom utvandrende postsmolt og lakselus.

Den estimerte dødeligheten er lav (<10 % dødelighet) for de fleste elvene i området i 2017, 2018 og 2020, men for elvene i Folda er estimert dødelighet moderat (10-30 % dødelighet). I 2019, 2021 og 2022 har en stor del av elvene moderat estimert dødelighet. Det er ikke data fra trålfangst i produksjonsområdet, men oftest liten smitte på garn og rusefanget sjøørret og sjørøye under smoltutvandringen, med unntak av Folda. Sannsynlighet for dødelighet hos utvandrende postsmolt laks som følge av utslipp av lakselus fra fiskeoppdrett vurderes totalt sett som lav i produksjonsområde 9.

Kunnskapen om utslipp av lakselus er basert på omfattende tellinger i oppdrettsanleggene over flere år av voksne lakselus som er enkle å telle. Antall fisk i oppdrettsanleggene vurderes også som relativt sikre data. Beregningene av tetthet av lakselus er basert på godt utprøvde hydrodynamiske modeller som dekker hele landet. Selv om utvandringsrutene ikke er godt kartlagt, har vi god kunnskap om utvandringstider, og kunnskapsstyrken vurderes totalt sett som god.

Sjøørret og sjørøye antas å vandre ut om våren omtrent på samme tid som laks, men at fisken oppholder seg i området over en lengre periode. Modellene indikerer et redusert marint leveområde for årene 2019-2022 på <10 % (lavt) ved både tidlig og normal utvandring. Sannsynlighet for negative effekter for sjøørret og sjørøye som følge av utslipp av lakselus fra fiskeoppdrett vurderes derfor som lav i produksjonsområde 9. Kunnskapen om utslipp og tetthet av lakselus er basert på det samme datagrunnlaget som for utvandrende postsmolt laks. Kunnskap knyttet til beiteperiode for sjøørreten vurderes som god, mens det er manglende kunnskap knyttet til fiskens tålegrenser og atferdsrespons for lakselus. På grunn av de lave utslippene som gjør at toleransen får mindre betydning, vurderes kunnskapsstyrken totalt sett som god. Risiko knyttet til negative effekter på beitende sjøørret og sjørøye, som følge av lakselussmitte fra oppdrett vurderes som lav i produksjonsområde 9.

11.5 - Endring i forekomst av infeksiøs lakseanemi og pankreassykdom hos villaks som følge av virussmitte fra fiskeoppdrett

Det var to rapporterte utbrudd av infeksiøs lakseanemi (ILA) i produksjonsområde 9 i 2021, mens det i 2022 er indikert ett ILA-tilfelle. Det er ikke rapportert tilfeller av pankreassykdom (PD) for produksjonsområdet verken i 2021 eller 2022. Forekomst av ILAV og SAV ble ikke undersøkt av Havforskningsinstituttets overvåkingsprogram for virus i villaks og rømt oppdrettslaks i produksjonsområde 9.

ILA PO9
Figur 11.3. Påviste og mistenkte funn av infeksiøs lakseanemi (ILA) i 2021 og 2022 i produksjonsområde 9. (Kilde Fiskeridirektoratet og BarentsWatch, januar 2023).

Det er kun rapportert inn et lite antall rømt oppdrettslaks for området i 2021 og 2022. Det ble også rapportert få rømte oppdrettslaks i de tilstøtende produksjonsområdene 8 og 10, noe som tilsier lav sannsynlighet for at rømt oppdrettslaks med ILAV utgjør en smittefare i produksjonsområde 9.

Med få utbrudd av ILA i 2021-2022 og få rapporterte rømt oppdrettslaks, vurderes sannsynligheten for endring i forekomst av ILA hos vill laksefisk som følge av smitte fra oppdrett som lav i produksjonsområde 9. Det er lite kunnskap om hvor mye ILAV som slippes ut fra anleggene og om hvor mye smittet oppdrettslaks det faktisk er i elvene. Kunnskapen om hvor smittsomme de to virusene er i naturen, om virusets robusthet, minste infeksiøse dose og graden av spredning og fortynning av viruset i området, vurderes også som svak. Det finnes en del erfaringskunnskap og data om konsekvenser fra oppdrett og fra laboratorieforsøk med oppdrettsfisk og noe på villaks, men ingen fra villaks i naturen. Forekomst av ILAV hos villaks og rømt oppdrettslaks ble ikke undersøkt av Havforskningsinstituttets overvåkingsprogram i produksjonsområdet. Kunnskapsstyrken knyttet til vurderingen av forekomst av ILA hos villaks som følge av virussmitte fra fiskeoppdrett vurderes derfor totalt sett å være svak og kan gi opphav til overraskende hendelser med kritisk store konsekvenser. Til tross for manglende kunnskap er det relativt få utbrudd av ILAV hos villfisk i perioden 2021-2022 og et fåtall rømt fisk både i området og i tilstøtende produksjonsområde, og risikoen knyttet til endring i forekomst av ILA som følge av virussmitte fra fiskeoppdrett vurderes som lav i produksjonsområde 9.

Foreløpige data for sykdom og rømming for 2022 er hentet fra Veterinærinstituttet og karttjenestene BarentsWatch og Yggdrasil (Fiskeridirektoratet). Disse data er ennå ikke kvalitetssikret og det er variasjon mellom kildene.

11.6 - Ytterligere genetisk endring hos villaks som følge av innkryssing av rømt oppdrettslaks

Det ble rapportert om totalt 21 858 rømte oppdrettslaks i produksjonsområde 9 i perioden 2017–2021, med de høyeste rømmingstallene i 2018 med 20 480 rømt oppdrettslaks. I 2021 ble det rapportert om 240 rømt oppdrettslaks og foreløpig statistikk fra Fiskeridirektoratet viser at det har vært rapportert noen få mindre rømmingshendelser i området i 2022. Av totalt 57 elver overvåkes gjennomsnittlig 12 vassdrag årlig for andel rømt oppdrettslaks. Det er 12 % av vassdragene i området med høy andel og 20 % med moderat andel av rømt oppdrettslaks i perioden 2017-2021. I 2021 var det to vassdrag med høy og to vassdrag med moderat andel rømt oppdrettslaks. Av vassdrag med høy og middels andel av rømt laks, ble det samme år gjennomført utfisking i gjennomsnittlig 100 % og 75 % av vassdragene i perioden 2017-2021. Til sammen er 101 rømte oppdrettslaks fjernet og verifisert fra vassdragene i området i samme periode (11 ble fjernet i 2021).

 

Andel PO9
Figur 11.4. Lokalisering av elver hvor andel rømt oppdrettslaks i 2021 ble vurdert av Overvåkningsprogrammet for rømt oppdrettslaks i vassdrag og lokaliteter som rapporterte om rømming av oppdrettslaks til Fiskeridirektoratet i 2021 og 2022 (foreløpig statistikk 1.1.2023).

 

Det er gjort vurdering av genetisk status i 20 av totalt 57 villaksbestander i produksjonsområdet som utgjør 62 % av produksjonsområdets totale gytebestandsmål. I to av villaksbestandene i området er det observert stor genetisk endring (Skjoma og Elvegårdselva), mens én bestand har moderat genetisk endring som følge av innkryssing av oppdrettslaks. I ett av vassdragene er det indikert svake genetiske endringer og det er 16 bestander der det ikke er observert noen genetisk endring. Totalt sett vurderes det at villaksbestandene i området har et moderat nivå av innkryssing fra oppdrettslaks.

Basert på moderate rømmingstall, høyt innslag av rømt oppdrettslaks i elvene og dårlig effekt av utfisking for området, ettersom det svært mange elver som ikke dekkes av overvåkningsprogrammet og hvor utfisking er vanskelig, vurderes det totalt sett å være høy sannsynlighet for forekomst av rømt oppdrettslaks på gyteplassene. Det er dokumentert et moderat nivå av genetisk endring i villaksbestandene i området, og bestandsstatus vurderes som moderat. Det vurderes totalt sett at sannsynligheten for ytterligere genetisk endring som følge av innkryssing fra oppdrettslaks i produksjonsområdet er høyt.

Det mangler kunnskap knyttet til omfang av rømming og påvirkning fra rømming i andre produksjonsområder. Overvåkingsprogrammet dekker få elver (gjennomsnittlig 12 av 57 elver i perioden 2017-2021) og derav manglende kunnskap knyttet til om det forekommer rømt oppdrettslaks i disse vassdragene. Det er også moderat dekning av bestander der genetisk status er undersøkt og kunnskap knyttet til bestandsstatus er moderat. Den totale kunnskapsstyrken for området vurderes derfor som moderat. Risiko knyttet til ytterligere genetiske endringer som følge av innkryssing fra rømt oppdrettslaks vurderes som høy i produksjonsområde 9.

11.7 - Miljøeffekter som følge av utslipp av løste næringssalter fra fiskeoppdrett

Produksjonsområde 9 hadde i 2021 en produksjon av laksefisk på 160 543 tonn fisk. Estimerte årlige utslipp fra fiskeoppdrett i området var på 6165 tonn nitrogen og 819 tonn fosfor fordelt på et stort sjøareal på 15 454 km². Dette vil gi et utslipp på 495 kg løst nitrogen og 53 kg løst fosfor per km² årlig. Beregnet økning av planteplanktonproduksjonen som skyldes utslipp fra fiskeoppdrett er 4,1 % i produksjonsområdet.

Produksjonen av laksefisk foregår hovedsakelig på bølgeeksponert og middels eksponert kyst og noe i fjorder. De fleste anleggene ligger i områder med god overflatestrøm der løste næringssalter spres og fortynnes effektivt. Sannsynligheten for miljøeffekter som følge av utslipp av løste næringssalter fra fiskeoppdrett vurderes som lav i produksjonsområdet. Marin overvåking i Nordland (MON) har stasjoner i Nordfoldfjorden, Sagfjorden, Tysfjorden, Ofotfjorden og Øksfjorden som har vært overvåket siden 2013. ØKOKYST-programmet har stasjoner i Ofotfjorden og Vestfjorden. Det er ingen stasjoner som overvåkes nord for Lofoten. Målinger av næringssalter gir tilstandsklasse «svært god» og «god» i disse fjordene. Kunnskapsstyrken vurderes totalt sett som moderat. Selv om det mangler måledata, er beregnet økning i planteplanktonproduksjon lav. Risiko knyttet til miljøeffekter av løste næringssalter fra fiskeoppdrett vurderes derfor som lav i produksjonsområde 9.

11.8 - Miljøeffekter som følge av partikulære organiske utslipp fra fiskeoppdrett

Forbruket av fôr i produksjonsområde 9 var på 179 736 tonn i 2021. Basert på massebalansebudsjett der estimert utslipp av fekalier er beregnet til 29,2 % og estimert fôrspill til 5-11 % av fôrmengden, utgjør dette et utslipp av 52 483 tonn fekalier og 8987-19 771 tonn spillfôr i produksjonsområdet fordelt på 85 matfiskanlegg, som gir et snitt på 617 tonn fekalier og 106-233 tonn spillfôr per matfiskanlegg. I 2022 er fôrforbruket estimert til 190 508 tonn i området.

Det ble gjennomført totalt 34 B-undersøkelser i produksjonsområde 9 i 2021. Tre var i tilstandsklasse «dårlig» og en lokalitet i «meget dårlig», resten ble vurdert til tilstandsklasse «meget god» og «god». I 2022 ble det gjennomført 57 B-undersøkelser på til sammen 54 lokaliteter, der ni lokaliteter ble vurdert som «dårlig» og to som «meget dårlig», resten som «meget god» eller «god». Det ble gjennomført totalt 78 C-undersøkelser i produksjonsområdet i perioden 2017 til 2021 der 72 var i tilstandsklasse «svært god» og «god», fem i «moderat» og en lokalitet i «svært dårlig». I 2022 ble det gjennomført C-undersøkelser ved 13 lokaliteter i området.

Basert på at 76 av 91 B-undersøkelser (83,5 %) og 72 av 78 (92 %) C-undersøkelser i området ble vurdert som «meget/svært gode» og «gode», vurderes sannsynligheten for miljøeffekter som følge av partikulære organiske utslipp fra fiskeoppdrett som lav i produksjonsområde 9. Resultatene fra B-undersøkelsene viser at 16,5 % ligger i «dårlig» eller «meget dårlig» tilstand. Anlegg med slik tilstand blir imidlertid tettere overvåket og dermed registrert flere ganger over perioden 2021-2022. Beregningene av omtrentlig utslippsmengde basert på fôrforbruket vurderes som god og kunnskapsstyrken vurderes totalt sett som god. Risikoen knyttet til miljøeffekter på bløtbunn som følge av partikulære organiske utslipp fra fiskeoppdrett vurderes som lav for produksjonsområde 9.

Foreløpige data for B- og C-undersøkelsene for 2022 er hentet fra Fiskeridirektoratet.

11.9 - Miljøeffekter som følge av utslipp av kobber fra fiskeoppdrett

Estimert utslipp av kobber brukt som antibegroingsmiddel basert på oppdrettsandel (9 %) og areal (15454 km2) er på 5 kg kobber per km² i 2021, og vurderes som lavt. Utslipp fra fisken på grunn av kobber i fôret utgjør 0,1 kg per km2. Det ble gjennomført 75 C-undersøkelser i produksjonsområde 9 i perioden 2017 til 2021. Miljøundersøkelsene viser at kun 2 % av anleggene har forhøyede kobberverdier i anleggssonen.

Modellsimuleringer der vi har antatt at 28 % av kobber fra impregnert not lekker ut til vannsøylen uten spyling, viser at passivt utlekket kobber kan gi et vesentlig bidrag til den totale kobberkonsentrasjonen i et fjordsystem, i størrelsesorden 0,2-0,4 μg/l. I trange fjorder med dårlig vannutveksling kan bidraget periodevis være opptil 1 μg/l. Spyling eller høytrykksspyling av kobberimpregnerte nøter vil kunne gi pulser med høyere konsentrasjoner. I produksjonsområde 9 foregår produksjonen av laksefisk hovedsakelig på bølgeeksponert og middels eksponert kyst og i noen åpne fjorder med god gjennomstrømming. I tillegg er mange av lokalitetene i disse produksjonsområdene nye med kortere periode med belastning. Totalt sett vurderes det å være lav sannsynlighet for negative effekter på miljøet som følge av bruk av kobber i fiskeoppdrett i produksjonsområde 9.

Det mangler overvåkingsdata på kobberverdier i vannsøylen og det er derfor heller ikke mulig å vurdere hvordan løst kobber påvirker marine organismer som lever i vannmassene. Det er også manglende kunnskap om hvor mye av kobberet i sedimentet som er tilgengelig for organismer som lever i og på havbunnen nær anleggene og hva toleransegrensen for kobber er i disse organismene. Totalt sett vurderes kunnskapsstyrken som moderat. Risiko knyttet til miljøeffekter som følge av utslipp av kobber fra fiskeoppdrett vurderes som lav i produksjonsområde 9.

12 - Produksjonsområde 10, Andøya til Senja

12.1 - Beskrivelse av produksjonsområdet

I produksjonsområde 10 var det i 2021 og 2022 henholdsvis 57 og 60 oppdrettslokaliteter som i løpet av året rapporterte inn fisk. Området hadde i 2021 en gjennomsnittlig månedlig stående biomasse på 75 953 tonn laks med et totalt uttak til slakt på 126 933 tonn laks. Produksjonstall for 2022 er på 69 838 tonn gjennomsnittlig månedlig stående biomasse med et uttak til slakt i samme periode på 130 299 tonn (Fiskeridirektoratets biomassestatistikk, 25.1.2023). Det ble ikke produsert regnbueørret i området. Totalt areal for produksjonsområdet er på 12 747 km2, sjøareal er 4795 km2 og sjøareal innenfor grunnlinjen er på 4386 km2.

Produksjonsintensitet PO10
Figur 12.1. Godkjente akvakulturlokaliteter for laks, ørret og regnbueørret og produksjonsintensitet (gjennomsnittlig biomasse per måned i tonn per km2) i vannforekomstene i produksjonsområde 10 Andøya til Senja i perioden 2020-2021. Kilde Fiskeridirektoratet.

 

Middeltemperaturen i de øvre vannmassene i produksjonsområde 10 ligger normalt på rundt 12 oC om sommeren og rundt 4 oC om vinteren. Vinteren og våren 2021 fra januar til mai var kald, mens juni og juli hadde relativt normale temperaturer. Mens januar og februar 2022 var noe kald, hadde våren og sommeren nær normale temperaturer. Ferskvannsavrenningen og brakkvannsstyrken har hatt relativt normale verdier gjennom vår og sommer 2021, mens i 2022 var ferskvannsavrenningen til området noe høyere enn normalt, spesielt i mai og juni 2022, og dette ga en brakkvannsstyrke som også var litt sterkere enn normalt. Både mai og juni hadde litt lavere overflatesaltholdigheter enn normalt.

Produksjonen av laksefisk foregår hovedsakelig på bølgeeksponert og middels eksponert kyst og noe i fjorder, og de fleste anleggene ligger i områder med god overflatestrøm. Med unntak av tre små områder, Grovfjorden-ytre (10,3 km2), Mjøsundet (7,7 km2) og Stønnesbotnen-ytre (2,7 km2), er det ingen vannforekomster med produksjonsintensitet (gjennomsnittlig biomasse per måned, tonn/km2) over 150 tonn/km2 og de fleste ligger på under 100 tonn/km2. Det er ingen områder med fiskeoppdrett der det er modellert og/eller observert moderat eller sjelden utskiftning av bunnvann i produksjonsområde 10.

Det er totalt 26 laksevassdrag i produksjonsområdet. Gytebestandsmålene blir nådd for mange av vassdragene i produksjonsområdet i perioden 2017-2021, men det høstbare overskuddet er lavt i enkelte vassdrag. Det største vassdraget i regionen (Målselv) har normalt høstbart overskudd. Vassdragene med full vurdering utgjør 92 % av det samlede gytebestandsmålet i produksjonsområdet. Vurdering av bestandsstatus er basert på årlige vurderinger gjort av Vitenskapelig råd for lakseforvaltning (VRL), aggregert per produksjonsområder for «Rømt oppdrettslaks – risikovurdering og kunnskapsstatus 2023». 

12.2 - Oppsummering av risiko knyttet til dyrevelferd og miljøeffekter av fiskeoppdrett for produksjonsområde 10

PO10 oppsummering
Figur 12.2. Oppsummering av risiko knyttet til dyrevelferd og miljøeffekter av fiskeoppdrett for produksjonsområde 10.

Utslippene av lakselus i produksjonsområde 10 var totalt sett lave i perioden 2012-2022 og smittepresset i området vurderes å være lavt. Estimert dødeligheten for utvandrende postsmolt laks er moderat (10-30 % dødelighet) for mange av elvene i området i 2017-2020, samt høy dødelighet (>30 %) for noen få elver i 2021-2022. Risiko knyttet til dødelighet av postsmolt laks grunnet lakselus i produksjonsområde 10 vurderes som moderat.

Sjøørret oppholder seg i sjøen over en lang periode utover sommeren, og smittepresset i mesteparten av området er moderat gjennom beitesesongen. For området som helhet estimeres redusert marint verneområde til å være moderat (10-30 %). Risiko knyttet til negative effekter på sjøørreten grunnet lakselussmitte fra oppdrett vurderes å være moderat i produksjonsområde 10.

På tross av svært høye rømmingstall og dårlig effekt av utfisking for området i perioden 2017-2021, har det vært en nedgang i innslag av rømt oppdrettslaks i elvene i produksjonsområdet gjennom perioden. Villfiskens bestandsstatus vurderes som moderat og det er påvist et høyt nivå av genetisk endring i villaksbestandene i området. Det mangler kunnskap knyttet til omfanget av rømming og påvirkning fra rømming i andre produksjonsområder, det er moderat dekning i overvåkingsprogrammet og god dekning for vurdering av genetisk status i området. Risikoen vurderes som moderat knyttet til ytterligere genetiske endringer som følge av innkryssing fra oppdrettslaks i produksjonsområde 10.

Det var få rapporterte utbrudd av infeksiøs lakseanemi (ILA) i produksjonsområde 10 i 2021 og 2022. Risiko for endring i forekomst av ILA hos villaks som følge av virussmitte fra fiskeoppdrett vurderes å være lav. Kunnskapsstyrken vurderes imidlertid som svak og kan gi opphav til overraskende hendelser med kritisk store konsekvenser, her markert som en sort svane (Figur 12.2).

Rapportert dødelighet (inkl. utkast) for oppdrettslaksen i produksjonsområde 10 var 12 % for 2020-generasjonen, under landsgjennomsnittet på 15 % for denne generasjonen. For 2018-generasjonen, og delvis også 2019-generasjonen, ga oppblomstring av algen Chrysochromulina leadbeateri forhøyet dødelighet. Basert på at dødelighetstallene igjen er nede på et relativt lavt nivå, vurderes risiko knyttet til dødelighet hos laks i sjø som lav for oppdrettslaks i området.

Produksjonen av laksefisk i produksjonsområde 10 er høy, noe som medfører høye utslipp både av spillfôr, fekalier og næringssalter. Overvåkingsdata indikerer imidlertid at miljøtilstanden er god og risiko knyttet til miljøeffekter som følge av utslipp av næringssalter og partikulært organisk materiale vurderes som lav. Hvordan bruken av kobberimpregnering fordeler seg i området er ukjent, men basert på miljøundersøkelsene har vi til en viss grad oversikt over lokalitetene med forhøyede kobberverdier. For produksjonsområde 10 vurderes risikoen som lav knyttet til miljøeffekter av kobberutslipp fra fiskeoppdrett.

Det vurderes å være moderat risiko knyttet til flere av miljøpåvirkningene fra fiskeoppdrett, og risikoreduserende tiltak bør vurderes for disse for å sikre et bærekraftig havbruk i produksjonsområdet.

12.3 - Dødelighet hos oppdrettslaks i sjø

Det ble satt ut ca. 30 millioner laks i produksjonsområde 10 i 2020, ca. 32 millioner i 2021 og ca. 32 millioner i 2022 (data fra Fiskeridirektoratets biomassedatabase). Ved utgangen av 2022 var det ikke lenger laks igjen i sjø fra 2020-generasjonen, men det var fortsatt ca. 40 % og 95 % igjen av 2021- og 2022-generasjonene. Rapportert dødelighet (inkl. utkast) for 2020-generasjonen var 12 %, ned fra 23 % for 2018-generasjonen, og fra 14 % for 2019-generasjonen. Den uvanlig høye dødeligheten for 2018-generasjonen skyldes oppblomstring av algen Chrysochromulina leadbeateri i 2019, som også ga noe økt dødelighet for første del av 2019-generasjonen. Lignende algeoppblomstringer har også hendt i 1991 og en mindre oppblomstring i 2008 i denne landsdelen. For 2021-generasjonene er dødeligheten foreløpig 10 %, og siden mye av den gjenstående fisken vil bli slaktet ut i løpet av det neste halve året, forventes ikke den endelige dødeligheten å bli vesentlig over 12 %. Produksjonsområde 10 er dermed tilbake til en dødelighet rundt 12 % per generasjon.

De siste årene har utsett av triploid laks bidratt til økt dødelighet i produksjonsområde 10. Triploid laks er steril og dermed ønsket som et alternativ til vanlig diploid laks for å beskytte ville laksestammer ved eventuell rømming. Omfattende utprøving har imidlertid vist at triploid laks er mer sårbar for sår og sykdom enn vanlig laks under de miljøforholdene som den blir tilbudt i produksjonsområde 10. Utfasingen av triploid laks vil dermed sannsynligvis gi lavere dødelighet i produksjonsområdet for fremtidige generasjoner. Sannsynligheten vurderes som lav for at en laks i en oppdrettsmerd i produksjonsområde 10 har til å få så dårlig velferd at den dør eller blir regnet som utkast i 2023 (vesentlig under landsgjennomsnittet).

Det var ingen påvisninger av ILA for 2020-generasjonen, så langt er det to påvisninger for 2021-generasjonen, og ingen for 2022-generasjonen. Selv om dødelighetstallene i området er på vei ned, så er det en del usikkerhet om den videre utviklingen, og vi setter derfor kunnskapsstyrken til moderat. Risiko knyttet til dødelighet hos laks i oppdrettsmerder vurderes som lav for produksjonsområde 10, men det bemerkes at overraskelser i form av algeoppblomstring kan forekomme i dette området også i fremtiden.

12.4 - Dødelighet hos utvandrende postsmolt laks og negative effekter på sjøørret og sjørøye som følge av utslipp av lakselus fra fiskeoppdrett

Utslippene av lakselus i produksjonsområde 10 har i tidsperioden 2012-2022 holdt seg lave, men med høyere utslipp i perioden 2016-2022. Området har, foruten i den nasjonale laksefjorden Malangen, i liten grad brakkvannslag som vil skape område uten lus. Under ugunstige strømforhold kan lus transporteres inn i Malangen, men undersøkelser av sjøørret indikerer at dette i liten grad skjer. Det er en del ferskvann i utvandringsruten for laksen fra Målselv, hvilket sørger for beskyttelse mot lus i deler av området.

Det antas at utvandringen av laks fra elvene i området hovedsakelig foregår i tidsrommet 22. mai – 20. juli, mens dato for median utvandring (dato når halvparten av smolten har vandret ut) er satt til 22. juni. Tidspunkt for utvandring er godt kartlagt for enkelte elver i området, men utvandringsrutene er ikke kartlagt. Modellestimater indikerer at det for årene 2019-2022 bare er området på sørsiden av Senja som er påvirket av mye lakselus under smoltutvandringen, og da i 2019 og spesielt i 2021. Området med moderat og høy tetthet av lakselus vil trolig dekke utvandringsruten for smolt fra en del elver. Totalt sett for området vurderes det derfor at det er moderat grad av overlapp mellom utvandrende postsmolt laks og forhøyede tettheter av lakselus.

Den estimerte dødeligheten er moderat (10-30 % dødelighet) for mange av elvene i området i 2017-2020, samt høy dødelighet (>30 %) for noen få elver i 2021-2022. Enkelte elver i Vesterålen er moderat påvirket noen år. Det er ikke data fra trålfangst i produksjonsområdet, men oftest liten smitte på garn og rusefanget sjøørret og sjørøye under smoltutvandringen, med unntak av Folda. Sannsynlighet for dødelighet hos utvandrende postsmolt laks som følge av utslipp av lakselus fra fiskeoppdrett vurderes totalt sett som moderat i produksjonsområde 10.

Kunnskapen om utslipp av lakselus er basert på omfattende tellinger i oppdrettsanleggene over flere år av voksne lakselus som er enkle å telle. Antall fisk i oppdrettsanleggene vurderes også som relativ sikre data. Beregningene av tetthet av lakselus er basert på godt utprøvde hydrodynamiske modeller som dekker hele landet. Utvandringstider er relativt godt kjent i området, men utvandringsrutene til laksen er lite kjent i området. Variabiliteten i modellene mellom år er også relativt stor og totalt sett vurderes kunnskapsstyrken som svak.

Sjøørret og sjørøye antas å vandre ut om våren omtrent på samme tid som laks, men at fisken oppholder seg i området over en lengre periode. Modellene indikerer et redusert marint leveområde for årene 2019-2022 på 10-30 % (moderat) ved normal utvandring. Sannsynlighet for negative effekter for sjøørret og sjørøye som følge av utslipp av lakselus fra fiskeoppdrett vurderes derfor som moderat i produksjonsområde 10. Kunnskapen om utslipp og tetthet av lakselus er basert på det samme datagrunnlaget som for utvandrende postsmolt laks. Kunnskap knyttet til beiteperiode for sjøørreten vurderes som god, mens det er manglende kunnskap knyttet til fiskens tålegrenser og atferdsrespons for lakselus og kunnskapsstyrken totalt sett vurderes som moderat. Risiko knyttet til negative effekter på beitende sjøørret og sjørøye, som følge av lakselussmitte fra oppdrett vurderes som moderat i produksjonsområde 10.

12.5 - Endring i forekomst av infeksiøs lakseanemi og pankreassykdom hos villaks som følge av virussmitte fra fiskeoppdrett

Det var tre rapporterte utbrudd av infeksiøs lakseanemi (ILA) i produksjonsområde 10 i 2021, mens det i 2022 er indikert ett ILA-tilfelle. Det er ikke rapportert tilfeller av pankreassykdom (PD) for produksjonsområdet verken i 2021 eller 2022. Forekomst av ILAV og SAV ble ikke undersøkt av Havforskningsinstituttets overvåkingsprogram for virus i villaks og rømt oppdrettslaks i produksjonsområde 10.

ILA PO10
Figur 12.3. Påviste og mistenkte funn av infeksiøs lakseanemi (ILA) i 2021 og 2022 i produksjonsområde 10. (Kilde Fiskeridirektoratet og BarentsWatch, januar 2023).

 

Det er kun rapportert inn et lite antall rømt oppdrettslaks for området i 2021 og 2022. Det ble rapportert få rømte oppdrettslaks i de tilstøtende produksjonsområdene 9 og 11, og det vurderes å være sannsynlighet for at rømt oppdrettslaks med ILAV utgjør en smittefare i produksjonsområde 10.

Med få utbrudd av ILA i 2021-2022 og få rapporterte rømt oppdrettslaks, vurderes sannsynligheten for endring i forekomst av ILA hos vill laksefisk som følge av smitte fra oppdrett, som lav i produksjonsområde 10. Det er lite kunnskap om hvor mye ILAV som slippes ut fra anleggene og om hvor mye smittet oppdrettslaks det faktisk er i elvene. Kunnskapen om hvor smittsomme de to virusene er i naturen, om virusets robusthet, minste infeksiøse dose og graden av spredning og fortynning av viruset i området, vurderes også som svak. Det finnes en del erfaringskunnskap og data om konsekvenser fra oppdrett og fra laboratorieforsøk med oppdrettsfisk og noe på villaks, men ingen fra villaks i naturen. Forekomst av ILAV hos villaks og rømt oppdrettslaks ble ikke undersøkt av Havforskningsinstituttets overvåkingsprogram i produksjonsområdet. Kunnskapsstyrken knyttet til vurderingen av forekomst av ILA hos villaks som følge av virussmitte fra fiskeoppdrett vurderes derfor totalt sett å være svak og kan gi opphav til overraskende hendelser med kritisk store konsekvenser. Til tross for manglende kunnskap er det relativt få utbrudd av ILAV hos villfisk i perioden 2021-2022 og et fåtall rømt fisk både i området og i tilstøtende produksjonsområde, og risikoen knyttet til endring i forekomst av ILA som følge av virussmitte fra fiskeoppdrett vurderes som lav i produksjonsområde 10.

Foreløpige data for sykdom og rømming for 2022 er hentet fra Veterinærinstituttet og karttjenestene BarentsWatch og Yggdrasil (Fiskeridirektoratet). Disse data er ennå ikke kvalitetssikret og det er variasjon mellom kildene.

12.6 - Ytterligere genetisk endring hos villaks som følge av innkryssing av rømt oppdrettslaks

Det ble rapportert om totalt 187 624 rømte oppdrettslaks i produksjonsområde 10 i perioden 2017–2021, hvorav 182 417 rømte i 2019. Disse var i hovedsak tilknyttet én enkelt rømmingsepisode av ungfisk fra et landanlegg. I 2021 ble rapportert om to rømte fisk, og foreløpig statistikk fra Fiskeridirektoratet viser at det har vært rapportert noen mindre rømmingshendelser i området i 2022. Av totalt 26 laksevassdrag i området overvåkes gjennomsnittlig 14 vassdrag årlig. Det er 7 % av vassdragene i området med høy andel og 26 % med moderat andel rømt oppdrettslaks i perioden 2017-2021. Det har vært en nedgang i antall vassdrag med høye og moderate andeler av rømt oppdrettslaks i området. I 2021 var det ingen vassdrag med høy og to vassdrag med moderat andel rømt oppdrettslaks. Av vassdrag med høy og middels andel av rømt laks, ble det samme år gjennomført utfisking i gjennomsnittlig 80 % og 83 % av vassdragene i perioden 2017-2021. Til sammen er 114 rømte oppdrettslaks fjernet og verifisert fra vassdragene i området i samme periode (7 ble fjernet i 2021).

 

Andel PO10
Figur 12.4. Lokalisering av elver hvor andel rømt oppdrettslaks i 2021 ble vurdert av Overvåkningsprogrammet for rømt oppdrettslaks i vassdrag og lokaliteter som rapporterte om rømming av oppdrettslaks til Fiskeridirektoratet i 2021 og 2022 (foreløpig statistikk 1.1.2023).

 

Det er gjort vurdering av genetisk status i 15 av totalt 26 villaksbestander i produksjonsområdet som utgjør 92 % av produksjonsområdets totale gytebestandsmål. I fem av villaksbestandene i området er det observert stor genetisk endring, mens to bestander har moderat genetisk endring som følge av innkryssing av oppdrettslaks. I fire av vassdragene er det indikert genetiske endringer og det er fire bestander der det ikke er observert noen genetisk endring, og det vurderes at villaksbestandene i området har et høyt nivå av innkryssing fra oppdrettslaks. På tross av svært høye rømmingstall (knyttet til én spesifikk hendelse) og dårlig effekt av utfisking for området, har det vært en nedgang i innslag av rømt oppdrettslaks i elvene i området. Det er alt dokumentert et høyt nivå av genetisk endring i villaksbestandene i området, men bestandsstatus er moderat og konkurranse på gyteplassen kan gi den rømte oppdrettslaksen lavere gytesuksess i produksjonsområdet. Det vurderes totalt sett at sannsynligheten for ytterligere genetisk endring som følge av innkryssing fra oppdrettslaks i produksjonsområdet er moderat.

Overvåkingsprogrammet dekker kun gjennomsnittlig 14 av 26 elver i perioden 2017-2021, og derav manglende kunnskap knyttet til om det forekommer rømt oppdrettslaks i disse vassdragene. Selv om det vurderes å være god dekning av bestander der genetisk status er undersøkt, er kunnskap knyttet til bestandsstatus og robusthet mot ny innkryssing moderat. Det vurderes at den totale kunnskapsstyrken for området er moderat. Risiko knyttet til ytterligere genetiske endringer som følge av innkryssing fra rømt oppdrettslaks vurderes som moderat i produksjonsområde 10.

12.7 - Miljøeffekter som følge av utslipp av løste næringssalter fra fiskeoppdrett

Produksjonsområde 10 hadde i 2021 en produksjon av laksefisk på 126 933 tonn fisk. Estimerte årlige utslipp fra fiskeoppdrett i området var på 4874 tonn nitrogen og 657 tonn fosfor fordelt på et sjøareal på 4386 km². Dette vil gi et utslipp på 1112 kg løst nitrogen og 150 kg løst fosfor per km² årlig. Beregnet økning av planteplanktonproduksjonen som skyldes utslipp fra fiskeoppdrett er 11,3 % i produksjonsområdet.

Produksjonen av laksefisk foregår hovedsakelig på bølgeeksponert og middels eksponert kyst og noe i fjorder. De fleste anleggene ligger i områder med god overflatestrøm der løste næringssalter spres og fortynnes effektivt. Sannsynligheten for miljøeffekter som følge av utslipp av løste næringssalter fra fiskeoppdrett vurderes som lav i produksjonsområdet. Marin overvåking i Nordland (MON) har stasjoner i Nordfoldfjorden, Sagfjorden, Tysfjorden, Ofotfjorden og Øksfjorden som har vært overvåket siden 2013. ØKOKYST-programmet har kun noen stasjoner som overvåkes i produksjonsområdet. Overvåkningsprogrammene viser «svært god» eller «god» miljøtilstand for næringssalter, men det er få stasjoner totalt sett. Kunnskapsstyrken vurderes totalt sett som svak. Selv om det mangler måledata, er beregnet økning i planteplanktonproduksjon lav. Risiko knyttet til miljøeffekter av løste næringssalter fra fiskeoppdrett vurderes derfor som lav i produksjonsområde 10.

12.8 - Miljøeffekter som følge av partikulære organiske utslipp fra fiskeoppdrett

Forbruket av fôr i produksjonsområde 10 var på 165 813 tonn i 2021. Basert på massebalansebudsjett der estimert utslipp av fekalier er beregnet til 29,2 % og estimert fôrspill til 5-11 % av fôrmengden, utgjør dette et utslipp av 48 417 tonn fekalier og 8291-18 239 tonn spillfôr i produksjonsområdet fordelt på 57 matfiskanlegg, som gir et snitt på 849 tonn fekalier og 145-320 tonn spillfôr per matfiskanlegg. I 2022 er fôrforbruket estimert til 156 076 tonn i området.

Det ble gjennomført totalt 25 B-undersøkelser i produksjonsområde 10 i 2021, alle vurdert til tilstandsklasse «meget god» og «god», bortsett fra en lokalitet i tilstandsklasse «dårlig». I 2022 ble det gjennomført 33 B-undersøkelser der tre lokaliteter var i tilstandsklasse «dårlig» og resten i tilstandsklasse «meget god» og «god». Det ble gjennomført totalt 41 C-undersøkelser i produksjonsområdet i perioden 2017 til 2021, der 39 var i tilstandsklasse «svært god» og «god» og to i «moderat». I 2022 ble det gjennomført C-undersøkelser ved ni lokaliteter i området.

Basert på at 54 av 58 B-undersøkelser (93 %) og 39 av 41 (95 %) C-undersøkelser i området ble vurdert som «meget/svært gode» og «gode», vurderes sannsynligheten for miljøeffekter som følge av partikulære organiske utslipp fra fiskeoppdrett som lav i produksjonsområde 10. Beregningene av omtrentlig utslippsmengde basert på fôrforbruket vurderes som god. Resultatene fra B- og C-undersøkelsene vurderes som gode for lokalitetene som ligger over bløtbunn og kunnskapsstyrken vurderes totalt sett som god. Risikoen knyttet til miljøeffekter på bløtbunn som følge av partikulære organiske utslipp fra fiskeoppdrett vurderes som lav for produksjonsområde 10.

Foreløpige data for B- og C-undersøkelsene for 2022 er hentet fra Fiskeridirektoratet.

12.9 - Miljøeffekter som følge av utslipp av kobber fra fiskeoppdrett

Estimert utslipp av kobber brukt som antibegroingsmiddel basert på oppdrettsandel (8 %) og areal (4386 km2) er på 16 kg kobber per km² i 2021, og vurderes som moderat. Utslipp fra fisken på grunn av kobber i fôret utgjør 0,1 kg per km2. Det ble gjennomført 41 C-undersøkelser i produksjonsområde 10 i perioden 2017 til 2021. Miljøundersøkelsene viste at ingen av anleggene hadde forhøyede kobberverdier i anleggssonen. Forklaringen kan ligge i at produksjonen av laksefisk hovedsakelig er lokalisert på bølgeeksponert og middels eksponert kyst med god spredning og fortynning. Mange av lokalitetene er også nye med kortere periode med belastning, slik at kobber ennå ikke har akkumulert rundt lokalitetene.

Modellsimuleringer der vi har antatt at 28 % av kobber fra impregnert not lekker ut til vannsøylen uten spyling, viser at passivt utlekket kobber kan gi et vesentlig bidrag til den totale kobberkonsentrasjonen i et fjordsystem, i størrelsesorden 0,2-0,4 μg/l. I trange fjorder med dårlig vannutveksling kan bidraget periodevis være opptil 1 μg/l. Spyling eller høytrykksspyling av kobberimpregnerte nøter vil kunne gi pulser med høyere konsentrasjoner. Totalt sett vurderes det å være lav sannsynlighet for negative effekter på miljøet som følge av bruk av kobber i fiskeoppdrett i produksjonsområde 10.

Det mangler overvåkingsdata på kobberverdier i vannsøylen, og det er derfor heller ikke mulig å vurdere hvordan løst kobber påvirker marine organismer som lever i vannmassene. Det er også manglende kunnskap om hvor mye av kobberet i sedimentet som er tilgengelig for organismer som lever i og på havbunnen nær anleggene og hva toleransegrensen for kobber er i disse organismene. Totalt sett vurderes kunnskapsstyrken som moderat. Risiko knyttet til miljøeffekter som følge av utslipp av kobber fra fiskeoppdrett vurderes som lav i produksjonsområde 10.

13 - Produksjonsområde 11, Kvaløy til Loppa

13.1 - Beskrivelse av produksjonsområdet

I produksjonsområde 11 var det i 2021 og 2022 henholdsvis 35 og 38 oppdrettslokaliteter som i løpet av året rapporterte inn laks. Området hadde i 2021 en gjennomsnittlig månedlig stående biomasse på 43 450 tonn laks med en produksjon (totalt uttak til slakt) på 85 626 tonn laks. Produksjonstall for 2022 er på 43 698 tonn gjennomsnittlig månedlig stående biomasse med et uttak til slakt i samme periode på 80 559 tonn (Fiskeridirektoratets biomassestatistikk, 25.1.2023). Det ble ikke produsert regnbueørret i området. Totalt areal for produksjonsområdet er på 17 628 km2, sjøareal er 7071 km2 og sjøareal innenfor grunnlinjen er på 6539 km2.

Produksjonsintensitet PO11
Figur 13.1. Godkjente akvakulturlokaliteter for laks, ørret og regnbueørret og produksjonsintensitet (gjennomsnittlig biomasse per måned i tonn per km2) i vannforekomstene i produksjonsområde 11 Kvaløy til Loppa i perioden 2020-2021. Kilde Fiskeridirektoratet.

 

Middeltemperaturen i de øvre vannmassene i produksjonsområde 11 ligger normalt på rundt 11 oC om sommeren og rundt 4 oC om vinteren. Vinteren og våren 2021 fra januar til mai var kald, mens juni og juli hadde relativt normale temperaturer. Mens januar og februar 2022 var noe kald, hadde våren nær normale temperaturer, mens sommeren fra og med juni var noe varmere enn normalt. Ferskvannsavrenningen og brakkvannsstyrken hadde relativt høye verdier gjennom vår og sommer 2021, mens i 2022 var ferskvannsavrenningen til området høyere enn normalt hele våren. Dette ga en brakkvannsstyrke som også var sterkere enn normalt i 2022. Mai var preget av lave saltholdigheter i så å si hele produksjonsområdet, mens i juni var det spesielt lave saltholdigheter i Lyngen og Kvænangen, mens Balsfjorden og Ullsfjorden hadde mer normale saltholdigheter.

Produksjonen av laksefisk foregår hovedsakelig på bølgeeksponert og middels eksponert kyst og i fjorder og de fleste anleggene ligger i områder med god overflatestrøm. Det er en vannforekomst i produksjonsområdet med produksjonsintensitet (gjennomsnittlig biomasse per måned, tonn/km2) over 100 tonn/km2 (Rotsundet nord, 148 tonn/km2), ellers ligger produksjonsintensiteten under 100 tonn/km2. Det er ingen områder med fiskeoppdrett der det er modellert og/eller observert moderat eller sjelden utskiftning av bunnvann i produksjonsområde 11.

Det er totalt 20 laksevassdrag i produksjonsområdet. Gytebestandsmålene blir nådd for mange av vassdragene i perioden 2017-2021, men det høstbare overskuddet er imidlertid lavt i mange vassdrag. Det største vassdraget i produksjonsområdet (Reisaelva) har dårligere status enn de små. Vassdragene i Skibotnregionen er under reetablering etter behandling mot Gyrodactylus salaris. Vassdragene med full vurdering utgjør 61 % av det samlede gytebestandsmålet i regionen. Vurdering av bestandsstatus er basert på årlige vurderinger gjort av Vitenskapelig råd for lakseforvaltning (VRL), aggregert per produksjonsområder for «Rømt oppdrettslaks – risikovurdering og kunnskapsstatus 2023». 

13.2 - Oppsummering av risiko knyttet til dyrevelferd og miljøeffekter av fiskeoppdrett for produksjonsområde 11

PO11 oppsummering
Figur 13.2. Oppsummering av risiko knyttet til miljøeffekter og dyrevelferd i fiskeoppdrett for produksjonsområde 11.

For produksjonsområde 11 har det vært rapportert lite rømming, men likevel er det observert et høyt innslag av rømt oppdrettslaks i elvene og dårlig effekt av utfisking i perioden 2017-2021. Villfiskens bestandsstatus vurderes som dårlig, og det er alt påvist et høyt nivå av genetisk endring i villaksbestandene i området grunnet tidligere innkryssing. Det mangler kunnskap knyttet til omfanget av rømming og påvirkning fra rømming i andre produksjonsområder, det er moderat dekning i overvåkingsprogrammet, men god dekning for vurdering av bestandsstatus og genetisk status i området. Risikoen vurderes som høy knyttet til ytterligere genetiske endringer som følge av innkryssing fra oppdrettslaks i produksjonsområde 11.

Rapportert dødelighet (inkl. utkast) for oppdrettslaksen i produksjonsområde 11 var 13–17 % for 2018 til 2020-generasjonene og ligger dermed rundt landsgjennomsnittet på 15 % for 2020-generasjonen. Basert på dødelighetstallene vurderes risiko knyttet til dødelighet hos oppdrettslaks i sjø som moderat.

Det var få rapporterte utbrudd av infeksiøs lakseanemi (ILA) i området i 2021 og 2022. Forekomst av ILAV hos villaks og rømt oppdrettslaks ble ikke undersøkt av Havforskningsinstituttets overvåkingsprogram i perioden. Risiko for endring i forekomst av ILA hos villaks som følge av virussmitte fra fiskeoppdrett vurderes å være lav. Kunnskapsstyrken vurderes imidlertid som svak og kan gi opphav til overraskende hendelser med kritisk store konsekvenser, her markert som en sort svane (Figur 13.2).

Utslippene av lakselus i produksjonsområde 11 er hovedsakelig lave, men noe høyere i perioden 2016—2022 og høyest i 2021. Smittepresset i området varierer fra lavt til moderat. Dødelighet hos utvandrende postsmolt laks som følge av lakselussmitte fra oppdrett er estimert til å være lavt frem til 2018 (< 10 % dødelighet), mens fra 2019 var estimert dødelighet moderat (10-30 % dødelighet). Kunnskapsstyrken vurderes som sterk, og risiko knyttet til dødelighet av postsmolt laks grunnet lakselus i produksjonsområde 11 vurderes totalt sett som lav.

For beitende sjøørret og sjørøye indikerer modellresultatene at det er lite eller ingen reduksjon i marint leveområde i perioden 2019-2022. Risiko knyttet til negative effekter på sjøørreten grunnet lakselussmitte fra oppdrett vurderes å være moderat i produksjonsområde 11.

Produksjonen av laksefisk er moderat høyt sammenlignet med andre produksjonsområder, noe som medfører moderat høye utslipp både av spillfôr, fekalier og næringssalter. Overvåkingsdata indikerer imidlertid at miljøtilstanden er god og risiko knyttet til miljøeffekter som følge av både utslipp av næringssalter og partikulært organisk materiale vurderes som lav. Også for kobberverdier er miljøtilstanden god og risiko knyttet til miljøeffekter av kobberverdier vurderes som lav i produksjonsområde 11.

Det vurderes å være høy risiko knyttet til ytterligere genetiske endringer som følge av innkryssing fra oppdrettslaks og moderat risiko knyttet til dødelighet hos oppdrettslaks i sjø. Risikoreduserende tiltak bør vurderes for å holde rømmingshendelsene i området nede og for å sikre dyrevelferden til oppdrettsfisken i produksjonsområdet.

13.3 - Dødelighet hos oppdrettslaks i sjø

Det ble satt ut ca. 18 millioner laks i produksjonsområde 11 i 2020, ca. 23 millioner i 2021, og ca. 19 millioner i 2022 (estimat fra Fiskeridirektoratets biomassedatabase). Ved utgangen av 2022 var det ikke lenger laks igjen i sjø fra 2020-generasjonen. Fra utsett til slakt hadde denne generasjonen en rapportert dødelighet (inkl. utkast) på 15 %, det samme som landsgjennomsnittet. De to tidligere generasjonene, 2018- og 2019-generasjonene, hadde en rapportert dødelighet på henholdsvis 17 % og 13 %. 2021-generasjonen, som ikke er ferdig produsert og hvor fortsatt nesten 30 % av fisken var igjen i sjø ved utgangen av 2022, har foreløpige dødelighet på 12 %. I Nord-Norge er sjøtemperaturene lave og produksjonene tar dermed lenger tid enn lenger sør. Det forventes dermed at noen av disse fiskegruppene fortsatt vil bli stående mange måneder til i sjø for å oppnå ønsket slaktevekt, og at dødeligheten dermed vil nærme seg 15 % også for 2021-generasjonen.

For produksjonsområde 11 er det et generelt mønster at dødeligheten er høyest om vinteren, og at det er viktig å unngå å produsere fiskegrupper i settefiskanleggene som må settes ut sent om høsten eller om vinteren, da disse er særlig utsatt. Dette har en unngått for 2022-generasjonen, og det forventes dermed at denne generasjonen vil få lavere dødelighet enn de foregående. Det var en ILA-påvisning for 2020-generasjonen, og en for 2021-generasjonen, hvor begge påvisingene ble gjort i 2021. Det var ingen påvisninger i 2022. Totalt sett vurderes sannsynligheten som moderat for at en laks i en oppdrettsmerd i produksjonsområde 11 skal oppleve så dårlig velferd at den dør eller blir regnet som utkast (nær landsgjennomsnittet). Selv om dødeligheten per generasjon har vært relativ stabil de siste årene, er det en del usikkerhet om den videre utviklingen. Vi vurderer derfor kunnskapsstyrken til moderat. Risiko knyttet til dårlig dyrevelferd vurderes som moderat i produksjonsområde 11.

13.4 - Dødelighet hos utvandrende postsmolt laks og negative effekter på sjøørret og sjørøye som følge av utslipp av lakselus fra fiskeoppdrett

Utslippene av lakselus i produksjonsområde 11 er generelt lave, men var i 2016-2022 noe høyere enn i 2012-2015, og høyest i 2021. Det er svært begrensede områder hvor det akkumuleres høy tetthet av lakselus under smoltutvandringen. Brakkvannslaget i området er begrenset til de indre delene av enkelte fjorder i mai, har noe større utbredelse i juni og juli, man avtar igjen i august. Den begrensede utbredelsen av brakkvannslaget gir lite beskyttet mot lakselus for fisken i området.

Det antas at utvandringen av laks fra elvene i produksjonsområde 11 hovedsakelig foregår i tidsrommet 3. juni–20. juli, mens dato for median utvandring er satt til 25. juni (dato når halvparten av smolten har vandret ut). Vandringsruter og utvandringstider i området er dårlig kartlagt.

I perioden 2012-2018 var den estimerte dødeligheten lav (< 10 % dødelighet) på den utvandrende laksen i området, mens fra 2019 var estimert dødelighet moderat (10-30 % dødelighet) de fleste år. For enkeltelver er det økende antall moderat påvirkede elver i 2019 og 2022, spesielt i Lyngen og Kvænangen. Sannsynligheten for dødelighet på utvandrende postsmolt laks vurderes totalt sett å være lav i produksjonsområde 11.

Kunnskapen om utslipp av lakselus er basert på omfattende tellinger i oppdrettsanleggene over flere år av voksne lakselus som er enkle å telle. Antall fisk i oppdrettsanleggene vurderes også som relativ sikre data. Beregningene av tetthet av lakselus er basert på godt utprøvde hydrodynamiske modeller som dekker hele landet. Selv om det er manglende kunnskap rundt vandringsruter og utvandringstider vurderes kunnskapsstyrken totalt sett som god. Risikoen knyttet til dødelighet hos utgående postsmolt laks som følge av lakselussmitte fra oppdrett vurderes som lav i produksjonsområde 11.

Det antas det at sjøørret og sjørøye vandrer ut om våren omtrent på samme tid som laks i produksjonsområde 11. Utvandring og varigheten av sjøoppholdet for sjøørret og sjørøye er godt kartlagt i dette området og sjøoppholdet er relativt kort. For beitende sjøørret og sjørøye indikerer modellresultatene at det er lite eller ingen reduksjon i marint leveområde for fisk som utvandrer tidlig, normalt eller sent i perioden 2019-2022. Det vurderes å være lav sannsynlighet for negative effekter på beitende sjøørret og sjørøye som følge av lakselussmitte fra oppdrett i produksjonsområde 11.

Kunnskapen om utslipp og tetthet av lakselus er basert på det samme datagrunnlaget som for utvandrende postsmolt laks, og både den og kunnskapen knyttet til utvandring og varigheten av sjøoppholdet vurderes som god. Selv om det mangler kunnskap om sjøørretens tålegrenser og atferdsrespons for lakselus, er utslippene av lakselus så lave at toleransen gis mindre betydning. Totalt sett vurderes kunnskapsstyrken som god. Risiko knyttet til negative effekter på sjøørret som følge av lakselussmitte fra oppdrett vurderes som lav i produksjonsområde 11.

13.5 - Endring i forekomst av infeksiøs lakseanemi og pankreassykdom hos villaks som følge av virussmitte fra fiskeoppdrett

Det var to rapporterte utbrudd av infeksiøs lakseanemi (ILA) i produksjonsområde 11 i 2021, mens det ikke ble rapportert noen ILA-tilfelle for 2022. Det ble ikke rapportert tilfeller av pankreassykdom (PD) for produksjonsområdet verken i 2021 eller 2022. Forekomst av ILAV og SAV hos villaks og rømt oppdrettslaks ble ikke undersøkt av Havforskningsinstituttets overvåkingsprogram for virus i villaks og rømt oppdrettslaks i produksjonsområde 11.

 

ILA PO11
Figur 13.3. Påviste og mistenkte funn av infeksiøs lakseanemi (ILA) i 2021 og 2022 i produksjonsområde 11. (Kilde Fiskeridirektoratet og BarentsWatch, januar 2023).

 

Det er kun rapportert inn et lite antall rømt oppdrettslaks for området i 2021 og 2022 for produksjonsområde 11. I produksjonsområde 12 var det flere større rømminger i 2021, mens det i 2022 er rapportert få rømt oppdrettslaks. I produksjonsområde 10 var det rapportert få rømt oppdrettslaks i begge år. Det var ikke registrert sykdom på fisken fra de større rømmingsepisodene rundt rømmingstidspunkt. Det vurderes derfor å være lav sannsynlighet for at rømt oppdrettslaks med ILAV skal utgjøre en smittefare i produksjonsområde 11.

Med få utbrudd av ILA i 2021-2022 og lite rømt fisk, vurderes sannsynligheten for endring i forekomst av ILA hos vill laksefisk som følge av smitte fra oppdrett som lav. Det er lite kunnskap om hvor mye virus som slippes ut fra anlegg med smittet og syk fisk, og uten data fra overvåkingsprogrammet er det vanskelig å vurdere hvor mye smittet oppdrettslaks det faktisk er i elvene. Kunnskapen om smittsomhet i naturen, om virusets robusthet, minste infeksiøse dose og graden av spredning og fortynning av viruset i området, vurderes også som dårlig. Det finnes en del erfaringskunnskap og data om konsekvenser fra oppdrett og fra laboratorieforsøk med oppdrettsfisk og noe på villaks, men ingen fra villaks i naturen. Kunnskapsstyrken knyttet til vurderingen av forekomst av sykdom hos villaks som følge av virussmitte fra fiskeoppdrett vurderes derfor totalt sett å være svak og kan gi opphav til overraskende hendelser med kritisk store konsekvenser. Til tross for manglende kunnskap er det relativt få utbrudd av ILAV hos villfisk i perioden 2021-2022 og ikke registrert sykdom på fisken fra de større rømmingsepisodene. Risikoen knyttet til endring i forekomst av ILA som følge av virussmitte fra fiskeoppdrett vurderes som lav i produksjonsområde 11.

Foreløpige data for sykdom og rømming for 2022 er hentet fra Veterinærinstituttet og karttjenestene BarentsWatch og Yggdrasil (Fiskeridirektoratet). Disse data er ennå ikke kvalitetssikret og det er variasjon mellom kildene.

13.6 - Ytterligere genetisk endring hos villaks som følge av innkryssing av rømt oppdrettslaks

Det ble rapportert om totalt 648 rømte oppdrettslaks i produksjonsområde 11 i perioden 2017–2021, hvorav 641 ble registrert rømt i 2018. I 2021 ble rapportert om én rømt fisk, og foreløpig statistikk fra Fiskeridirektoratet viser at det har vært rapportert få rømt oppdrettslaks i området i 2022. Det er 15 % av vassdragene i området med høy andel og 15 % med moderat andel av rømt oppdrettslaks i perioden 2017-2021, men det er kun gjennomsnittlig 11 av 20 vassdrag som overvåkes årlig. I 2021 var det ingen vassdrag med høy og ett vassdrag med moderat andel rømt oppdrettslaks. Av vassdrag med høy og middels andel av rømt oppdrettslaks ble det samme år gjennomført utfisking i gjennomsnittlig 88 % av vassdragene i perioden 2017-2021. Til sammen er 84 rømte oppdrettslaks fjernet og verifisert fra vassdragene i området i samme periode (5 ble fjernet i 2021).

 

Andel PO11
Figur 13.4. Lokalisering av elver hvor andel rømt oppdrettslaks i 2021 ble vurdert av Overvåkningsprogrammet for rømt oppdrettslaks i vassdrag og lokaliteter som rapporterte om rømming av oppdrettslaks til Fiskeridirektoratet i 2021 og 2022 (foreløpig statistikk 1.1.2023).

 

Det er gjort vurdering av genetisk status i ni av totalt 20 villaksbestander i produksjonsområdet som utgjør 88 % av produksjonsområdets totale gytebestandsmål. I seks av villaksbestandene i området er det observert stor genetisk endring (som inkluderer flere store bestander), mens en bestand har moderat genetisk endring som følge av innkryssing av oppdrettslaks. I ett av vassdragene er det indikert svake genetiske endringer og det er en bestand (Reisa) der det ikke er observert noen genetisk endring. Totalt sett vurderes det at villaksbestandene i området har et høyt nivå av tidligere innkryssing fra oppdrettslaks.

På tross av lave rømmingstall er det både høyt innslag av rømt oppdrettslaks i elvene og dårlig effekt av utfisking for området, ettersom det er elver med høyt og middels innslag hvor det ikke har vært utfisking og vassdrag hvor utfisking ikke fungerer optimalt. Det vurderes totalt sett å være høy sannsynlighet for forekomst av rømt oppdrettslaks på gyteplassene i produksjonsområde 11.

Det er alt dokumentert et høyt nivå av genetisk endring i villaksbestandene i området. Gytebestandsmålene blir nådd for mange av vassdragene i området, men det høstbare overskuddet er lavt i mange vassdrag og bestandsstatus vurderes å være dårlig. Robusthet mot ny innkryssing vurderes derfor også som dårlig. Med mye rømt oppdrettslaks på gyteplassene og dårlig robusthet i bestandene for ny innkryssing, vurderes det at sannsynligheten for ytterligere genetisk endring som følge av innkryssing fra oppdrettslaks i produksjonsområdet er høy. Det mangler kunnskap knyttet til påvirkning fra rømming i andre produksjonsområder og overvåkingsprogrammet dekker kun 11 av 20 elver og derav manglende kunnskap knyttet til om det forekommer rømt oppdrettslaks i disse vassdragene. Kunnskapen knyttet både til genetisk status og bestandsstatus vurderes som god, men kunnskapen knyttet til den kombinerte effekten av bestandsstatus og genetisk status er derimot begrenset. Kunnskapsstyrken vurderes totalt sett å være moderat for området. I sum vurderes risiko knyttet til ytterligere genetiske endringer som følge av innkryssing fra rømt oppdrettslaks som høy i produksjonsområde 11.

13.7 - Miljøeffekter som følge av utslipp av løste næringssalter fra fiskeoppdrett

Produksjonsområde 11 hadde i 2021 en produksjon av laksefisk på 85 526 tonn fisk. Estimerte årlige utslipp fra fiskeoppdrett i området var på 3288 tonn nitrogen og 437 tonn fosfor fordelt på et sjøareal på 6539 km². Dette vil gi et utslipp på 503 kg løst nitrogen og 67 kg løst fosfor per km² årlig. Beregnet økning av planteplanktonproduksjonen som skyldes utslipp fra fiskeoppdrett er 5,3 % i produksjonsområdet. Produksjonen av laksefisk foregår hovedsakelig på bølgeeksponert og middels eksponert kyst og i fjorder. De fleste anleggene ligger i områder med god overflatestrøm der løste næringssalter spres og fortynnes effektivt. Sannsynlighet for miljøeffekter som følge av utslipp av løste næringssalter fra fiskeoppdrett i produksjonsområde 11 vurderes å være lav.

Det finnes ingen overvåkningsdata for næringssalter i områdene der fiskeoppdrett foregår, men basert på relativt sikre produksjonstall, godt utprøvde hydrodynamiske modeller som beregner vannutskiftning i områder med oppdrett og kunnskap om hvor høye konsentrasjoner av næringssalter som må til for å få negative miljøeffekter, vurderes kunnskapsstyrken totalt sett som moderat. Risiko knyttet til miljøeffekter som følge av utslipp av løste næringssalter fra fiskeoppdrett vurderes som lav i produksjonsområde 11.

13.8 - Miljøeffekter som følge av partikulære organiske utslipp fra fiskeoppdrett

Forbruket av fôr i produksjonsområde 11 var på 92 273 tonn i 2021. Basert på massebalansebudsjett der estimert utslipp av fekalier er beregnet til 29,2 % og estimert fôrspill til 5-11 % av fôrmengden, utgjør dette et utslipp av 26 944 tonn fekalier og 4614-10 150 tonn spillfôr i produksjonsområdet, fordelt på 35 matfiskanlegg, som gir et snitt på 770 tonn fekalier og 132-290 tonn spillfôr per matfiskanlegg. I 2022 er fôrforbruket estimert til 98 431 tonn i området.

Det ble gjennomført totalt 19 B-undersøkelser i produksjonsområde 11 i 2021, alle vurdert til tilstandsklasse «meget god» og «god», bortsett fra en lokalitet i tilstandsklasse «dårlig». I 2022 ble det gjennomført 13 B-undersøkelser alle vurdert til tilstandsklasse «meget god» og «god», bortsett fra en lokalitet i tilstandsklasse «dårlig». Det ble gjennomført totalt 40 C-undersøkelser i produksjonsområdet i perioden 2017 til 2021 der 39 var i tilstandsklasse «svært god» og «god» og en lokalitet i «moderat». I 2022 ble det gjennomført C-undersøkelser ved fem lokaliteter i området.

Basert på at 30 av totalt 32 B-undersøkelser (94 %) og 39 av 40 C-undersøkelser (97,5 %) i området ble vurdert som «meget/svært gode» og «gode», vurderes sannsynligheten for miljøeffekter som følge av partikulære organiske utslipp fra fiskeoppdrett som lav i produksjonsområde 11. Beregningene av omtrentlig utslippsmengde basert på fôrforbruket vurderes som god. Resultatene fra B- og C-undersøkelsene vurderes som gode for lokalitetene som ligger over bløtbunn og kunnskapsstyrken vurderes totalt sett som god. Risikoen knyttet til miljøeffekter på bløtbunn som følge av partikulære organiske utslipp fra fiskeoppdrett vurderes som lav for produksjonsområde 11.

Foreløpige data for B- og C-undersøkelsene for 2022 er hentet fra Fiskeridirektoratet.

13.9 - Miljøeffekter som følge av utslipp av kobber fra fiskeoppdrett

Estimert utslipp av kobber basert på oppdrettsandel (5 %) og areal (6539 km2) i produksjonsområde 11 er på 6 kg kobber per km² i 2021, og vurderes som lavt. Utslipp fra fisken på grunn av kobber i fôret utgjør 0,1 kg per km2. I produksjonsområde 11 ble det gjennomført 37 C-undersøkelser i perioden 2017–2021. Miljøundersøkelsene viser at 4 % av lokalitetene i området har dårlig miljøtilstand i anleggssonen som vurderes å gi en lav sannsynlighet for økte konsentrasjoner av kobber i sedimentet.

Modellsimuleringer der vi har antatt at 28 % av kobber fra impregnert not lekker ut til vannsøylen uten spyling, viser at passivt utlekket kobber kan gi et vesentlig bidrag til den totale kobberkonsentrasjonen i et fjordsystem, i størrelsesorden 0,2-0,4 μg/l. I trange fjorder med dårlig vannutveksling kan bidraget periodevis være opptil 1 μg/l. Spyling eller høytrykksspyling av kobberimpregnerte nøter vil kunne gi pulser med høyere konsentrasjoner. Produksjonen av laksefisk i dette området foregår hovedsakelig på bølgeeksponert og middels eksponert kyst og i noen åpne fjorder med god gjennomstrømming. I tillegg er mange av lokalitetene i disse produksjonsområdene nye, med kortere periode med belastning. Totalt vurderes det derfor å være lav sannsynlighet for negative miljøeffekter av kobber i produksjonsområde 11.

Det mangler overvåkingsdata på kobberverdier i vannsøylen og det er derfor heller ikke mulig å vurdere hvordan løst kobber påvirker marine organismer som lever i vannmassene. Det er også behov for mer kunnskap om hvor mye av kobberet i sedimentet som er tilgengelig for organismer som lever i og på havbunnen nær anleggene og hva toleransegrensen for kobber er i disse organismene. Kunnskapsstyrken som ligger til grunn for sannsynlighetsbetraktningen vurderes som moderat. Risiko knyttet til miljøeffekter som følge av utslipp av kobber fra fiskeoppdrett vurderes som lav i produksjonsområde 11.

14 - Produksjonsområde 12, Vest-Finnmark

14.1 - Beskrivelse av produksjonsområdet

I produksjonsområde 12 var det i 2021 og 2022 henholdsvis 64 og 58 oppdrettslokaliteter som i løpet av året rapporterte inn fisk. Området hadde i 2021 en gjennomsnittlig månedlig stående biomasse på 82 282 tonn laks med et totalt uttak til slakt på 140 581 tonn laks. Produksjonstall for 2022 er på 70 703 tonn gjennomsnittlig månedlig stående biomasse med et uttak til slakt i samme periode på 116 481 tonn (Fiskeridirektoratets biomassestatistikk, 25.1.2023). Det ble ikke produsert regnbueørret i området. Totalt areal for produksjonsområdet er på 27 764 km2, sjøareal er 11 187 km2 og sjøareal innenfor grunnlinjen er på 10 073 km2.

Produksjonsintensitet PO12
Figur 14.1. Godkjente akvakulturlokaliteter for laks, ørret og regnbueørret og produksjonsintensitet (gjennomsnittlig biomasse per måned i tonn per km2) i vannforekomstene i produksjonsområde 12 Vest-Finnmark i perioden 2020-2021. Kilde Fiskeridirektoratet.

 

Middeltemperaturen i de øvre vannmassene i produksjonsområde 12 ligger normalt på 10-11 oC om sommeren og rundt 4 oC om vinteren. Vinteren og våren 2021 fra januar til mai var kald, mens juni og juli hadde relativt normale temperaturer. Mens vinteren og våren 2022 var relativt kald, var sommeren f.o.m. juni noe varmere enn normalt. Ferskvannsavrenningen og brakkvannsstyrken hadde relativt høye verdier i juni 2021, men mer normale før og etter. I 2022 var ferskvannsavrenningen til området høyere enn normalt, spesielt i juni, og dette ga en brakkvannsstyrke som også var sterkere enn normalt. Mens mai 2022 hadde relativt normale overflatesaltholdigheter, var juni preget av lave saltholdigheter i forhold til referanseårene for hele produksjonsområdet.

Produksjonen av laksefisk foregår hovedsakelig på bølgeeksponert og middels eksponert kyst og i noen åpne fjorder og de fleste anleggene ligger i områder med god overflatestrøm. Det er mange små vannforekomster (3-17 km2), særlig rundt Sørøya, med til dels svært høy produksjonsintensitet (gjennomsnittlig biomasse per måned, tonn/km2) på grunn av plassering av ett oppdrettsanlegg i vannforekomsten. Vannforekomstene ligger i områder med god vannutskiftning og produksjonsintensiteten i nærliggende områder er lav (< 100 tonn/km2). Det er ingen områder med fiskeoppdrett der det er modellert og/eller observert moderat eller sjelden utskiftning av bunnvann i produksjonsområde 12.

Det er totalt 26 laksevassdrag i produksjonsområdet. Gytebestandsmålene blir nådd i de fleste vassdragene i produksjonsområdet. Det høstbare overskuddet er også godt i de fleste vassdragene. Vassdragene med full vurdering utgjør 95 % av det samlede gytebestandsmålet i produksjonsområdet. Vurdering av bestandsstatus er basert på årlige vurderinger gjort av Vitenskapelig råd for lakseforvaltning (VRL), aggregert per produksjonsområder for «Rømt oppdrettslaks – risikovurdering og kunnskapsstatus 2023». 

14.2 - Oppsummering av risiko knyttet til dyrevelferd og miljøeffekter av fiskeoppdrett for produksjonsområde 12

PO12 risiko
Figur 14.2. Oppsummering av risiko knyttet til dyrevelferd og miljøeffekter av fiskeoppdrett for produksjonsområde 12.

Rapportert dødelighet (inkl. utkast) for oppdrettslaksen i produksjonsområde 12 var moderat 13-18 %) for 2019 til 2020-generasjonene og ligger rundt landsgjennomsnittet på 15 % for 2020-generasjonen. Basert på at dødelighetstallene vurderes risiko knyttet til dødelighet hos laks i sjø som moderat for oppdrettslaks i området.

Utslippene av lakselus i produksjonsområde 10 var totalt sett lave i perioden 2012-2022 og smittepresset i området vurderes å være lavt. Dødelighet hos utvandrende postsmolt laks som følge av lakselussmitte fra oppdrett er estimert til å være lavt de fleste år (<10 % dødelighet). Risiko knyttet til dødelighet av postsmolt laks grunnet lakselus i produksjonsområde 12 vurderes som lav.

Sjøørret oppholder seg i sjøen over en lang periode utover sommeren, og smittepresset i mesteparten av området er moderat gjennom beitesesongen. For området som helhet estimeres redusert marint verneområde til å være lav (<10 %). Risiko knyttet til negative effekter på sjøørreten grunnet lakselussmitte fra oppdrett vurderes å være lav i produksjonsområde 12.

Det var få rapporterte utbrudd av infeksiøs lakseanemi (ILA) i produksjonsområde 10 i 2021 og 2022. Risiko for endring i forekomst av ILA hos villaks som følge av virussmitte fra fiskeoppdrett vurderes å være lav. Kunnskapsstyrken vurderes imidlertid som svak og kan gi opphav til såkalte overraskende hendelser med kritisk store konsekvenser (sort svane fig 11.2).

For produksjonsområde 12 har det vært rapportert moderate rømmingstall, moderat innslag av rømt oppdrettslaks i elvene og dårlig effekt av utfisking i perioden 2017-2021. Villfiskens bestandsstatus vurderes som god og det er påvist et moderat nivå av genetisk endring i villaksbestandene i området. Det mangler kunnskap knyttet til omfanget av rømming og påvirkning fra rømming i andre produksjonsområder, det er moderat dekning i overvåkingsprogrammet og god dekning for vurdering av bestandsstatus og genetisk status i området. Risikoen vurderes som moderat knyttet til ytterligere genetiske endringer som følge av innkryssing fra oppdrettslaks i produksjonsområde 12.

Produksjonen av laksefisk i produksjonsområde 12 er høy, noe som medfører høye utslipp både av spillfôr, fekalier og næringssalter. Overvåkingsdata indikerer i midlertidig at miljøtilstanden er god og risiko knyttet til miljøeffekter som følge av utslipp av næringssalter og partikulært organisk materiale vurderes som lav. Hvordan bruken av kobberimpregnering fordeler seg i området er ukjent, men basert på miljøundersøkelsene har vi til en viss grad oversikt over lokalitetene med forhøyede kobberverdier. For produksjonsområde 12 vurderes risikoen som lav knyttet til miljøeffekter av kobberutslipp fra fiskeoppdrett.

Det vurderes å være moderat risiko knyttet til ytterligere genetiske endringer som følge av innkryssing fra oppdrettslaks og til dødelighet hos oppdrettslaks i sjø. Risikoreduserende tiltak bør vurderes for å holde rømmingshendelsene i området nede og for å sikre dyrevelferden til oppdrettsfisken i produksjonsområdet.

14.3 - Dødelighet hos oppdrettslaks i sjø

De ble satt ut over 33 millioner laks i produksjonsområde 12 i 2020, over 28 millioner i 2021, og ca. 35 millioner i 2022 (estimat fra Fiskeridirektoratets Biomassestatistikk). Ved utgangen av 2022 var det ikke lenger laks igjen i sjø fra 2020-generasjonen, all denne laksen var ferdig produsert. Fra utsett til slakt hadde denne generasjonen en rapportert dødelighet på 13 % (inkl. utkast), rett under landsgjennomsnittet på 15 %, men betydelig bedre enn 2019-generasjonen som hadde enn akkumulert dødelighet på 18 % for produksjonsområde 12. På samme måte som for produksjonsområde 10 har utsett av triploid laks bidratt til økt dødelighet i produksjonsområde 12. For 2019-generasjonen var det imidlertid vanlig diploid laks som stod for mye av dødeligheten. Særlig fiskegrupper som har blitt satt ut senhøstes eller tidlig vinter har hatt høy dødelighet første vinter i sjø. For 2021-generasjonen er dødeligheten foreløpig 13 %. Dette er relativt høyt siden over 40 % av denne generasjonen fortsatt er i sjø, og på grunn av de lave sjøtemperaturene i Nord-Norge trolig ikke vil bli sendt til slakt før langt ut i 2023. En del av denne økningen i dødelighet kan forklares med utbrudd av parasittsykdommen systemisk spironukleose som har blitt et problem i produksjonsområde 12 det siste året.

Produksjonsområde 12 har hatt relativt mange påvisninger av ILA de siste årene, men var forskånet for dette i 2022, muligens grunnet økt bruk av ILA-vaksine. Totalt sett vurderes sannsynligheten som moderat for at en laks i en oppdrettsmerd i produksjonsområde 12 i 2023 skal oppleve så dårlig velferd at den dør eller blir regnet som utkast (nær landsgjennomsnittet). Selv om dødeligheten per generasjon har vært relativ stabil de siste årene, er det en del usikkerhet om den videre utviklingen, og vi vurderer derfor kunnskapsstyrken som moderat. Risiko knyttet til dødelighet hos laks i norske oppdrettsmerder vurderes som moderat for produksjonsområde 12.

14.4 - Dødelighet hos utvandrende postsmolt laks og negative effekter på sjøørret og sjørøye som følge av utslipp av lakselus fra fiskeoppdrett

Utslippene av lakselus i produksjonsområde 12 er lave, selv om det har vært en økende trend 2012-2022. I Altafjordsystemet, som har en del oppdrett, kan det være noe høyere utslipp. Det er svært begrensede områder hvor det akkumuleres høy tetthet av lakselus under smoltutvandringen. Området har i liten grad brakkvannslag som gir fisken beskyttelse mot lakselus.

Det antas at utvandringen av laks fra elvene i produksjonsområde 11 hovedsakelig foregår i tidsrommet 3. juni – 27. juli, mens dato for median utvandring er satt til 29. juni (dato når halvparten av smolten har vandret ut). Utvandringsperiode og utvandringsruter er godt kartlagt for elver i Altafjorden. Smoltmodellen indikerer relativt lavt smittepress på utvandrende smolt, som bekreftes av tråldata fra Altafjorden. Også observasjonene fra smoltbur indikerer lav smitte i tiden postsmolten vandrer gjennom fjorden.

I perioden 2012-2018 var den estimerte dødeligheten lav (< 10 % dødelighet) på den utvandrende laksen i området, men i 2019 og 2021 var estimert dødelighet moderat (10-30 % dødelighet). Dette støttes av observasjoner fra ruse, og garnfangst av sjøørret og sjørøye som indikerer liten, unntaksvis moderat estimert dødelighet under smoltutvandringen.

Kunnskapen om utslipp av lakselus er basert på omfattende tellinger i oppdrettsanleggene over flere år av voksne lakselus som er enkle å telle. Antall fisk i oppdrettsanleggene vurderes også som relativ sikre data. Beregningene av tetthet av lakselus er basert på godt utprøvde hydrodynamiske modeller som dekker hele landet. Det er god kunnskap rundt vandringsruter og utvandringstider, og totalt sett vurderes kunnskapsstyrken som god. Risikoen knyttet til dødelighet hos utgående postsmolt laks som følge av lakselussmitte fra oppdrett vurderes som lav i produksjonsområde 12.

Det antas det at sjøørret og sjørøye vandrer ut om våren omtrent på samme tid som laks i produksjonsområde 12. Kombinasjonen kort oppholdstid i sjø og relativt lave temperaturer gjør at lakselus i liten grad vil utvikles til voksne stadier før fisken vandrer tilbake til elven. For beitende sjøørret og sjørøye indikerer modellresultatene at det er lite reduksjon i marint leveområde for fisk som utvandrer tidlig, normalt eller sent i perioden 2019-2022 (<10 %). Det vurderes å være lav sannsynlighet for negative effekter på beitende sjøørret og sjørøye som følge av lakselussmitte fra oppdrett i produksjonsområde 12.

Kunnskapen om utslipp og tetthet av lakselus er basert på det samme datagrunnlaget som for utvandrende postsmolt laks, og både den og kunnskapen knyttet til utvandring og varigheten av sjøoppholdet vurderes som god. Selv om det mangler kunnskap om sjøørretens tålegrenser og atferdsrespons for lakselus, er utslippene av lakselus så lave at toleransen gis mindre betydning. Totalt sett vurderes kunnskapsstyrken som god. Risiko knyttet til negative effekter på sjøørret som følge av lakselussmitte fra oppdrett vurderes som lav i produksjonsområde 12.

14.5 - Endring i forekomst av infeksiøs lakseanemi og pankreassykdom hos villaks som følge av virussmitte fra fiskeoppdrett

Det var fire rapporterte utbrudd av infeksiøs lakseanemi (ILA) i produksjonsområde 12 i 2021, mens det i 2022 ikke er indikert noen ILA-tilfeller. Det er ikke rapportert tilfeller av pankreassykdom (PD) for produksjonsområdet verken i 2021 eller 2022. Forekomst av ILAV og SAV hos villaks og rømt oppdrettslaks ble ikke undersøkt av Havforskningsinstituttets overvåkingsprogram for virus i villaks og rømt oppdrettslaks i produksjonsområde 12.

ILA PO12
Figur 14.3. Påviste og mistenkte funn av infeksiøs lakseanemi (ILA) i 2021 og 2022 i produksjonsområde 12. (Kilde Fiskeridirektoratet og BarentsWatch, januar 2023)

 

Det er rapportert inn et høyt antall rømt oppdrettslaks for området i 2021 som følge av flere større rømminger, mens det ble rapportert om få rømt oppdrettslaks i 2022. Det er ikke registrert sykdom på fisken fra de større rømmingsepisodene rundt rømmingstidspunktet. Det er rapportert få rømt oppdrettslaks i de tilstøtende produksjonsområdene 11 og 13, noe som tilsier lav sannsynlighet for at rømt oppdrettslaks med ILAV skal vandre inn og utgjøre en smittefare.

Med få utbrudd av ILA i 2021-2022 og få rapporterte rømt oppdrettslaks, vurderes sannsynligheten for endring i forekomst av ILA hos vill laksefisk som følge av smitte fra oppdrett som lav i produksjonsområde 12. Det er lite kunnskap om hvor mye ILAV som slippes ut fra anleggene og om hvor mye smittet oppdrettslaks det faktisk er i elvene. Kunnskapen om hvor smittsomme de to virusene er i naturen, om virusets robusthet, minste infeksiøse dose og graden av spredning og fortynning av viruset i området, vurderes også som svak. Det finnes en del erfaringskunnskap og data om konsekvenser fra oppdrett og fra laboratorieforsøk med oppdrettsfisk og noe på villaks, men ingen fra villaks i naturen. Forekomst av ILAV hos villaks og rømt oppdrettslaks ble ikke undersøkt av Havforskningsinstituttets overvåkingsprogram i produksjonsområdet. Kunnskapsstyrken knyttet til vurderingen av forekomst av ILA hos villaks som følge av virussmitte fra fiskeoppdrett vurderes derfor totalt sett å være svak og kan gi opphav til overraskende hendelser med kritisk store konsekvenser. Til tross for manglende kunnskap er det relativt få utbrudd av ILAV hos villfisk i perioden 2021-2022 og ikke registrert sykdom på fisken fra de større rømmingsepisodene. Risikoen knyttet til endring i forekomst av ILA som følge av virussmitte fra fiskeoppdrett vurderes som lav i produksjonsområde 12.

Foreløpige data for sykdom og rømming for 2022 er hentet fra Veterinærinstituttet og karttjenestene BarentsWatch og Yggdrasil (Fiskeridirektoratet). Disse data er ennå ikke kvalitetssikret og det er variasjon mellom kildene.

14.6 - Ytterligere genetisk endring hos villaks som følge av innkryssing av rømt oppdrettslaks

Det ble rapportert om totalt 41 621 rømte oppdrettslaks i produksjonsområde 12 i perioden 2017–2021, der de største rømmingene forekom i 2021 og 2021 med henholdsvis 9042 og 26 813 rømt laks. Foreløpig statistikk fra Fiskeridirektoratet viser at det har vært rapportert et par mindre rømminger i området i 2022. Det er ingen av vassdragene i området med høy andel og 17 % med moderat andel av rømt oppdrettslaks i perioden 2017-2021. I 2021 var det ingen vassdrag med høy og to vassdrag med moderat andel rømt oppdrettslaks. Av vassdrag med middels andel rømt laks ble det samme år gjennomført utfisking i gjennomsnittlig 75 % av vassdragene i perioden 2017-2021. Til sammen er kun 14 rømte oppdrettslaks fjernet og verifisert fra vassdragene i området i samme periode (4 ble fjernet i 2021).

Andel PO12
Figur 14.4. Lokalisering av elver hvor andel rømt oppdrettslaks i 2021 ble vurdert av Overvåkningsprogrammet for rømt oppdrettslaks i vassdrag og lokaliteter som rapporterte om rømming av oppdrettslaks til Fiskeridirektoratet i 2021 og 2022 (foreløpig statistikk 1.1.2023).

 

Det er gjort vurdering av genetisk status i ni av totalt 26 villaksbestander i produksjonsområdet som utgjør 95 % av produksjonsområdets totale gytebestandsmål. I tre av villaksbestandene i området er det observert stor genetisk endring, mens én bestand har moderat genetisk endring som følge av innkryssing av oppdrettslaks. I fire av vassdragene er det indikert svake genetiske endringer og det er én bestand (Børselva) der det ikke er observert noen genetisk endring. Totalt sett vurderes det at villaksbestandene i området har et moderat nivå av tidligere innkryssing fra oppdrettslaks.

Basert på moderate rømmingstall, moderat innslag av rømt oppdrettslaks i elvene og det faktum at kun få oppdrettslaks er fjernet fra eleven under utfisking, vurderes det totalt sett å være moderat sannsynlighet for forekomst av rømt oppdrettslaks på gyteplassene. Det er dokumentert et moderat nivå av genetisk endring i villaksbestandene i området, men bestandsstatus er god og robusthet mot ny innkryssing er derfor vurdert som god. Det vurderes totalt sett at sannsynligheten for ytterligere genetisk endring som følge av innkryssing fra oppdrettslaks i produksjonsområdet er moderat. Det mangler kunnskap knyttet til omfang av rømming og påvirkning fra rømming i andre produksjonsområder. Overvåkingsprogrammet dekker i gjennomsnitt kun 10 av 26 elver i perioden 2017-2021 og det er derav manglende kunnskap knyttet til om det forekommer rømt oppdrettslaks i disse vassdragene. Selv om det vurderes å være god kunnskap knyttet til utfisking, bestandsstatus og genetisk status, vurderes den totale kunnskapsstyrken for området som moderat. Risiko knyttet til ytterligere genetiske endringer som følge av innkryssing fra rømt oppdrettslaks vurderes som moderat i produksjonsområde 12.

14.7 - Miljøeffekter som følge av utslipp av løste næringssalter fra fiskeoppdrett

Produksjonsområde 12 hadde i 2021 en produksjon av laksefisk på 139 593 tonn fisk. Estimerte årlige utslipp fra fiskeoppdrett i området var på 5360 tonn nitrogen og 712 tonn fosfor fordelt på et stort sjøareal på 10 073 km². Dette vil gi et utslipp på 532 kg løst nitrogen og 70 kg løst fosfor per km² årlig. Beregnet økning av planteplanktonproduksjonen som skyldes utslipp fra fiskeoppdrett er 5,4 % i produksjonsområdet.

Produksjonen av laksefisk foregår hovedsakelig på bølgeeksponert og middels eksponert kyst og i noen åpne fjorder. De fleste anleggene ligger i områder med god overflatestrøm der løste næringssalter spres og fortynnes effektivt. Sannsynligheten for miljøeffekter som følge av utslipp av løste næringssalter fra fiskeoppdrett vurderes som lav i produksjonsområdet. Det finnes ikke miljødata fra oppdrettstette områder i dette produksjonsområde, og kunnskapsstyrken vurderes som svak. Selv om det mangler måledata, er beregnet økning i planteplanktonproduksjon lav. Risiko knyttet til miljøeffekter av løste næringssalter fra fiskeoppdrett vurderes derfor som lav i produksjonsområde 12.

14.8 - Miljøeffekter som følge av partikulære organiske utslipp fra fiskeoppdrett

Forbruket av fôr i produksjonsområde 12 var på 166 730 tonn i 2021. Basert på massebalansebudsjett der estimert utslipp av fekalier er beregnet til 29,2 % og estimert fôrspill til 5-11 % av fôrmengden, utgjør dette et utslipp av 48 685 tonn fekalier og 8337-18 340 tonn spillfôr i produksjonsområdet, fordelt på 64 matfiskanlegg, som gir et snitt på 761 tonn fekalier og 130-287 tonn spillfôr per matfiskanlegg. I 2022 er fôrforbruket estimert til 138 616 tonn i området.

Det ble gjennomført totalt 20 B-undersøkelser i produksjonsområde 12 i 2021. Tre ble vurdert til tilstandsklasse «dårlig», resten ble vurdert til tilstandsklasse «meget god» og «god». I 2022 ble det gjennomført 46 B-undersøkelser på totalt 45 lokaliteter, der fem lokaliteter ble vurdert som «dårlig» og to som «meget dårlig», resten som «meget god» eller «god». Det ble gjennomført totalt 64 C-undersøkelser i produksjonsområdet i perioden 2017 til 2021 der 60 var i tilstandsklasse «svært god» og «god», tre i «moderat» og en lokalitet i «dårlig». I 2022 ble det gjennomført C-undersøkelser ved 13 lokaliteter i området.

Basert på at 56 av 66 B-undersøkelser (85 %) og 60 av 64 (94 %) C-undersøkelser i området ble vurdert som «meget/svært gode» og «gode», vurderes sannsynligheten for miljøeffekter som følge av partikulære organiske utslipp fra fiskeoppdrett som lav i produksjonsområde 12. Massebalansebudsjettet som brukes til estimering av utslipp og fekalier vurderes som god. Resultatene fra B-undersøkelsene viser at 15 % ligger i «dårlig» eller «meget dårlig» tilstand. Anlegg med slik tilstand blir imidlertid tettere overvåket og dermed registrert flere ganger over perioden 2021-2022. Det vil bli innført ytterligere endringer så miljøtilstanden kan forbedres. Beregningene av omtrentlig utslippsmengde basert på fôrforbruket vurderes som god og kunnskapsstyrken vurderes totalt sett som god. Risikoen knyttet til miljøeffekter på bløtbunn som følge av partikulære organiske utslipp fra fiskeoppdrett vurderes som lav for produksjonsområde 12.

Foreløpige data for B- og C-undersøkelsene for 2022 er hentet fra Fiskeridirektoratet.

14.9 - Miljøeffekter som følge av utslipp av kobber fra fiskeoppdrett

Estimert utslipp av kobber basert på oppdrettsandel (9 %) og areal (10073 km2) i produksjonsområde 11 er på 8 kg kobber per km² i 2021, og vurderes som lavt. Utslipp fra fisken på grunn av kobber i fôret utgjør 0,1 kg per km2. I produksjonsområde 12 ble det gjennomført 59 C-undersøkelser i perioden 2017–2021. Miljøundersøkelsene viser at 9 % av lokalitetene i området har dårlig miljøtilstand i anleggssonen som vurderes å gi en lav sannsynlighet for økte konsentrasjoner av kobber i sedimentet.

Modellsimuleringer der vi har antatt at 28 % av kobber fra impregnert not lekker ut til vannsøylen uten spyling, viser at passivt utlekket kobber kan gi et vesentlig bidrag til den totale kobberkonsentrasjonen i et fjordsystem, i størrelsesorden 0,2-0,4 μg/l. I trange fjorder med dårlig vannutveksling kan bidraget periodevis være opptil 1 μg/l. Spyling eller høytrykksspyling av kobberimpregnerte nøter vil kunne gi pulser med høyere konsentrasjoner. Produksjonen av laksefisk foregår hovedsakelig på bølgeeksponert og middels eksponert kyst og i noen åpne fjorder med god gjennomstrømming. I tillegg er mange av lokalitetene i disse produksjonsområdene nye, med kortere periode med belastning. Totalt vurderes det å være lav sannsynlighet for negative miljøeffekter av kobber i produksjonsområde 12.

Det mangler overvåkingsdata på kobberverdier i vannsøylen og det er derfor heller ikke mulig å vurdere hvordan løst kobber påvirker marine organismer som lever i vannmassene. Det er også behov for mer kunnskap om hvor mye av kobberet i sedimentet som er tilgengelig for organismer som lever i og på havbunnen nær anleggene og hva toleransegrensen for kobber er i disse organismene. Kunnskapsstyrken vurderes totalt sett som moderat. Risiko knyttet til miljøeffekter som følge av utslipp av kobber fra fiskeoppdrett vurderes som lav i produksjonsområde 12.

15 - Produksjonsområde 13, Øst-Finnmark

15.1 - Beskrivelse av produksjonsområdet

I produksjonsområde 13 var det i både 2021 og 2022 fem oppdrettslokaliteter som i løpet av året rapporterte inn fisk. Området hadde i 2021 en gjennomsnittlig månedlig stående biomasse på 3816 tonn laks med et totalt uttak til slakt på 8903 tonn laks. Produksjonstall for 2022 er på 5743 tonn gjennomsnittlig månedlig stående biomasse med et uttak til slakt i samme periode på 5114 tonn (Fiskeridirektoratets biomassestatistikk, 25.1.2023). Det ble ikke produsert regnbueørret i området. Totalt areal for produksjonsområdet er på 14 600 km2, sjøareal er 4171 km2 og sjøareal innenfor grunnlinjen er på 3600 km2.

 

Produksjonsintensitet PO13
Figur 15.1. Godkjente akvakulturlokaliteter for laks, ørret og regnbueørret og produksjonsintensitet (gjennomsnittlig biomasse per måned i tonn per km2) i vannforekomstene i produksjonsområde 13 Øst-Finnmark i perioden 2020-2021. Kilde Fiskeridirektoratet.

 

Middeltemperaturen i de øvre vannmassene i produksjonsområde 13 ligger normalt på 10-11 oC om sommeren og rundt 4 oC om vinteren. Vinteren og våren 2021 fra januar til mai var kald, mens juni og juli hadde relativt normale temperaturer. Mens vinteren og våren 2022 var relativt kald, var sommeren f.o.m. juni noe varmere enn normalt. Ferskvannsavrenningen og brakkvannsstyrken hadde relativt normale verdier gjennom vår og sommer 2021, mens i 2022 var ferskvannsavrenningen til området høyere enn normalt, både i mai og juni. Dette ga en brakkvannsstyrke som også var noe sterkere enn normalt i 2022. Mens mai 2022 hadde relativt normale overflatesaltholdigheter, så var juni preget av lave saltholdigheter i forhold til referanseårene for hele produksjonsområdet.

Produksjonen av laksefisk foregår hovedsakelig i Varangerfjorden på middels eksponerte lokaliteter med god spredningsstrøm i overflatelaget. Produksjonsintensitet (gjennomsnittlig biomasse per måned, tonn/km2) er svært lav i hele området, med høyest intensitet i Jarfjorden (69 tonn/km2). Det er ingen områder med fiskeoppdrett der det er modellert og/eller observert moderat eller sjelden utskiftning av bunnvann i produksjonsområde 13.

Det er totalt 20 laksevassdrag i produksjonsområdet. Gytebestandsmålene blir nådd i de fleste vassdragene og det høstbare overskuddet er også godt i de fleste vassdragene. Imidlertid har den største bestanden i produksjonsområdet, Tanavassdraget, som også er det viktigste nasjonale laksevassdraget i Norge, redusert gytebestandsmåloppnåelse og redusert høstbart overskudd, trolig som følge av overbeskatning gjennom en årrekke. Vassdragene med full vurdering utgjør 96 % av det samlede gytebestandsmålet i produksjonsområdet. Vurdering av bestandsstatus er basert på årlige vurderinger gjort av Vitenskapelig råd for lakseforvaltning (VRL), aggregert per produksjonsområder for «Rømt oppdrettslaks – risikovurdering og kunnskapsstatus 2023». 

15.2 - Oppsummering av risiko knyttet til dyrevelferd og miljøeffekter av fiskeoppdrett for produksjonsområde 13

PO13 oppsummering
Figur 15.2. Oppsummering av risiko knyttet til dyrevelferd og miljøeffekter av fiskeoppdrett for produksjonsområde 13.

Rapportert dødelighet (inkl. utkast) for oppdrettslaksen i produksjonsområde 13 varierer sterkt fra generasjon til generasjon (9–26 %) fra 2018 til 2020, men snittet ligger på 14 %, nær landsgjennomsnittet for 2020-generasjonen på 15 %. Basert på dødelighetstallene vurderes risiko knyttet til dødelighet hos oppdrettslaks i sjø som moderat.

Utslippene av lakselus i produksjonsområde 13 er lave i hele perioden 2016-2022. Smittepresset i området er lavt og dødelighet hos utvandrende postsmolt laks som følge av lakselussmitte fra oppdrett er estimert til å være lavt (< 10 % dødelighet). Risiko knyttet til dødelighet av postsmolt laks grunnet lakselus i produksjonsområde 13 vurderes som lav.

For beitende sjøørret og sjørøye indikerer modellresultatene at det er lite eller ingen reduksjon i marint leveområde i perioden 2012-2022. Det er godt samsvar mellom modellresultater og observasjoner, og risiko knyttet til negative effekter på sjøørreten grunnet lakselussmitte fra oppdrett vurderes å være lav.

Det ingen rapporterte utbrudd av infeksiøs lakseanemi (ILA) i området i 2021 og 2022. Forekomst av ILAV hos villaks og rømt oppdrettslaks ble ikke undersøkt av Havforskningsinstituttets overvåkingsprogram i perioden. Risiko for endring i forekomst av ILA hos villaks som følge av virussmitte fra fiskeoppdrett vurderes å være lav. Kunnskapsstyrken vurderes imidlertid som svak og kan gi opphav til overraskende hendelser med kritisk store konsekvenser (sort svane fig 13.2).

For produksjonsområde 13 har det vært rapportert lite rømming og lavt innslag av rømt oppdrettslaks i elvene i perioden 2017-2021. Villfiskens bestandsstatus vurderes som moderat og det er påvist et moderat nivå av genetisk endring i villaksbestandene i området grunnet tidligere innkryssing av rømt oppdrettslaks. Det mangler kunnskap knyttet til omfanget av rømming og påvirkning fra rømming i andre produksjonsområder, det er god dekning i overvåkingsprogrammet, men dekning for vurdering av bestandsstatus og dårlig for genetisk status i området. Risikoen vurderes som lav knyttet til ytterligere genetiske endringer som følge av innkryssing fra oppdrettslaks i produksjonsområde 13.

Produksjonen av laksefisk er lav sammenlignet med andre produksjonsområder, utslipp av både spillfôr, fekalier og næringssalter er lave. Overvåkingsdata indikerer at miljøtilstanden er god, og risiko knyttet til miljøeffekter som følge av utslipp av næringssalter og partikulært organisk materiale vurderes som lav. Også for kobberverdier er miljøtilstanden god og risiko knyttet til miljøeffekter av kobberverdier vurderes som lav i produksjonsområde 13.

Det vurderes å være moderat risiko knyttet til dødelighet hos oppdrettslaks i sjø og risikoreduserende tiltak bør vurderes for å sikre dyrevelferden til oppdrettsfisken i produksjonsområdet.

15.3 - Dødelighet hos laks i norske oppdrettsmerder

Produksjonsområde 13 er lite i oppdrettssammenheng. Det ble kun satt ut ca. 1,4 millioner laks i 2020, ca. 3,1 millioner i 2021 og ca. 1,7 millioner i 2022 (estimat fra Fiskeridirektoratets Biomassestatistikk). Rapportert dødelighet var 9 % for 2020-generasjonen, mens den for 2021-generasjonen allerede er oppe i 15 % til tross for at nesten 40 % av denne generasjonen fortsatt er i sjø. Det er imidlertid svært få anlegg i produksjonsområde 13 og dødeligheten per generasjon blir dermed svært avhengig av om produksjoner har vært vellykket på enkeltanlegg. Dødeligheten for 2018-generasjonen var f.eks. 26 %, mens den for 2019-generasjonen var 8 %. Vi vurderer derfor sannsynligheten en oppdrettslaks har for å dø i 2023 i produksjonsområde 13 som moderat (nær landsgjennomsnittet), men siden det her er få anlegg og stor variasjon fra generasjon til generasjon vurderes kunnskapsstyrken som ligger til grunn for denne vurderingen som svak. Risiko knyttet til dødelighet i sjø vurderes som moderat for oppdrettslaks i sjø.

15.4 - Dødelighet hos utvandrende postsmolt laks og negative effekter på sjøørret og sjørøye som følge av utslipp av lakselus fra fiskeoppdrett

Det antas at utvandringen av laks fra elvene i området hovedsakelig foregår i tidsrommet 27. juni – 27. juli, mens dato for median utvandring (dato når halvparten av smolten har vandret ut) er satt til 9. juli. Vandringsruter og utvandringstider ikke er godt beskrevet for dette området og området har i liten grad brakkvannslag som vil skape område uten lus. Utslipp av lakselus fra anlegg har vært tilnærmet null i perioden 2016-2022. Modeller viser ikke områder med økt tettet av lakselus. Grunnet lave utslipp vurderes det å være lite overlapp mellom tilstedeværelse av villfisk og lakselus. Modellestimater viser lav dødelighet (<10 %) for alle elvene i området. Sannsynlighet for dødelighet hos utvandrende postsmolt laks som følge av utslipp av lakselus fra fiskeoppdrett vurderes totalt sett som lav i produksjonsområde 13.

Kunnskapen om utslipp av lakselus er basert på omfattende tellinger i oppdrettsanleggene over flere år av voksne lakselus som er enkle å telle. Antall fisk i oppdrettsanleggene vurderes også som relativ sikre data. Beregningene av tetthet av lakselus er basert på godt utprøvde hydrodynamiske modeller som dekker hele landet. Utvandringsrutene til laksen er lite kjent i området, men siden både modellestimat og observasjoner samsvarer vurderes kunnskapsstyrken totalt sett vurderes som god.

Det antas det at sjøørret og sjørøye vandrer ut om våren omtrent på samme tid som laks, og sjøoppholdet for sjøørret og sjørøye er relativt kort i produksjonsområde 13. Kombinasjonen kort oppholdstid i sjø og relativt lave temperaturer gjør at lakselus i liten grad vil utvikles til voksne stadier før fisken vandrer tilbake til elven. For beitende sjøørret og sjørøye indikerer modellresultatene at det er lite eller ingen reduksjon i marint leveområde for fisk ved tidlig utvandring i perioden 2012-2022. For enkelte områder er det tidvis observert moderat økt smittepress for beitende sjøørret og sjørøye utover sommeren. Det vurderes å være lav sannsynlighet for negative effekter på beitende sjøørret og sjørøye som følge av lakselussmitte fra oppdrett i produksjonsområde 13.

Kunnskapen om utslipp og tetthet av lakselus er basert på det samme datagrunnlaget som for utvandrende postsmolt laks, og vurderes som god. Selv om det mangler kunnskap om sjøørretens tålegrenser og atferdsrespons for lakselus, vurderes kunnskapsstyrken totalt sett som sterk. Risiko knyttet til negative effekter på sjøørret som følge av lakselussmitte fra oppdrett vurderes som lav i produksjonsområde 13.

15.5 - Endring i forekomst av infeksiøs lakseanemi og pankreassykdom hos villaks som følge av virussmitte fra fiskeoppdrett

Det var ingen rapporterte utbrudd av infeksiøs lakseanemi (ILA) i produksjonsområde 13 i 2021, og ingen er indikert for 2022. Det er ikke rapportert tilfeller av pankreassykdom (PD) for produksjonsområdet verken i 2021 eller 2022. Forekomst av ILAV og SAV ble ikke undersøkt av Havforskningsinstituttets overvåkingsprogram for virus i villaks og rømt oppdrettslaks i produksjonsområde 13. Det er ikke rapportert inn rømt oppdrettslaks for området i 2021 og 2022. Det var flere større rømming i produksjonsområde 12 i 2021, men det ble ikke registrert sykdom på fisken fra disse episodene rundt rømmingstidspunktet. Det vurderes å være lav sannsynlighet for at rømt oppdrettslaks med ILAV skal utgjøre en smittefare i produksjonsområde 13. Sannsynlighet for endring i forekomst av ILA hos vill laksefisk som følge av smitte fra oppdrett henholdsvis som lav.

Det er lite kunnskap om hvor mye virus som slippes ut fra anlegg med smittet og syk fisk og uten data fra overvåkingsprogrammet er det vanskelig å vurdere hvor mye smittet oppdrettslaks det faktisk er i elvene. Kunnskapen om smittsomhet i naturen, om virusets robusthet, minste infeksiøse dose og graden av spredning og fortynning av viruset i området vurderes også som dårlig. Det finnes en del erfaringskunnskap og data om konsekvenser fra oppdrett og fra laboratorieforsøk med oppdrettsfisk og noe på villaks, men ingen fra villaks i naturen. Kunnskapsstyrken knyttet til vurderingen av forekomst av sykdom hos villaks som følge av virussmitte fra fiskeoppdrett vurderes derfor totalt sett å være svak og kan gi opphav til overraskende hendelser med kritisk store konsekvenser. Med ingen rapporterte utbrudd i området, ingen rømming og ingen registrert sykdom på fisken fra rømmingsepisodene i produksjonsområde 13 vurderes risikoen knyttet til endring i forekomst av ILA hos villaks som følge av virussmitte fra fiskeoppdrett samlet sett som lav i produksjonsområde 13.

Foreløpige data for sykdom og rømming for 2022 er hentet fra Veterinærinstituttet og karttjenestene BarentsWatch og Yggdrasil (Fiskeridirektoratet). Disse data er ennå ikke kvalitetssikret og det er variasjon mellom kildene.

15.6 - Ytterligere genetisk endring hos villaks som følge av innkryssing av rømt oppdrettslaks

Det ble rapportert om totalt 19 rømte oppdrettslaks i produksjonsområde 13 i perioden 2017–2021, der alle rømte i 2019. Foreløpig statistikk fra Fiskeridirektoratet viser at det ikke har vært rapportert rømminger i området i 2022. Gjennomsnittlig 9 av 20 elver overvåkes årlig for andel rømt oppdrettslaks. Det er ingen av vassdragene i området med høy andel og 5 % med moderat andel rømt oppdrettslaks i perioden 2017-2021. I 2021 var det ingen vassdrag med høy og et vassdrag med moderat andel rømt oppdrettslaks. Siden det har vært minimalt med rømming i området har det heller ikke blitt gjennomført utfisking i perioden 2017-2021 og dermed ble heller ingen rømt oppdrettslaks fjernet.

Andel PO13
Figur 15.3. Lokalisering av elver hvor andel rømt oppdrettslaks i 2021 ble vurdert av Overvåkningsprogrammet for rømt oppdrettslaks i vassdrag og lokaliteter som rapporterte om rømming av oppdrettslaks til Fiskeridirektoratet i 2021 og 2022 (foreløpig statistikk 1.1.2023).

 

Det er gjort vurdering av genetisk status i 16 av totalt 20 villaksbestander som utgjør 99 % av produksjonsområdets totale gytebestandsmål. I en av villaksbestandene i området er det observert stor genetisk endring, mens seks bestander har moderat genetisk endring som følge av innkryssing av oppdrettslaks. I seks av vassdragene er det indikert svake genetiske endringer og det er tre bestander (deriblant Tanaelva som er den dominerende bestanden i området) der det ikke er observert noen genetisk endring. Totalt sett vurderes det at villaksbestandene i området har et moderat nivå av innkryssing fra oppdrettslaks (svake genetiske endringer indikert).

Basert på lave rømmingstall og lavt innslag av rømt oppdrettslaks i elvene vurderes det å være lav sannsynlighet for tilstedeværelse av rømt oppdrettslaks på gyteplassene. Bestandsstatus hos villaksen i området vurderes som moderat, og det er dokumentert å være et moderat nivå av genetisk endring i villaksbestandene i området grunnet tidligere innkryssing. Bestandenes robusthet mot innkryssing vurderes derfor å være moderat. Samlet sett vurderes det at sannsynligheten for ytterligere genetisk endring som følge av innkryssing fra oppdrettslaks i produksjonsområdet er lav.

Det mangler kunnskap knyttet til påvirkning fra rømming i andre områder. Overvåkingsprogrammet dekker kun 9 av 20 elver og derav manglende kunnskap knyttet til om det forekommer rømt oppdrettslaks i disse vassdragene, men ytterligere kunnskap er hentet inn fra finske forskere. Selv om vurderingen av genetisk status dekker 99 % av områdets totale gytebestandsmål, tas det forbehold i resultatene fra Tanavassdraget siden prøvene er fra få individer og ble tatt i perioden 2005-2014. Basert på dette vurderes den totale kunnskapsstyrken for området som moderat.

I sum vurderes risiko knyttet til ytterligere genetiske endringer som følge av innkryssing fra rømt oppdrettslaks som lav i produksjonsområde 13.

15.7 - Miljøeffekter som følge av utslipp av løste næringssalter fra fiskeoppdrett

Produksjonsområde 13 hadde i 2021 en liten produksjon av laksefisk på 8903 tonn fisk. Estimerte årlige utslipp fra fiskeoppdrett i området var på 342 tonn nitrogen og 45 tonn fosfor fordelt på et sjøareal på 3600 km². Dette vil gi et utslipp på 95 kg løst nitrogen og 12 kg løst fosfor per km² årlig. Beregnet økning av planteplanktonproduksjonen som skyldes utslipp fra fiskeoppdrett er 1 % i produksjonsområdet. Produksjonen av laksefisk foregår hovedsakelig i Varangerfjorden på middels eksponerte lokaliteter med god spredningsstrøm i overflatelaget. Sannsynlighet for miljøeffekter som følge av utslipp av løste næringssalter fra fiskeoppdrett i produksjonsområde 13 vurderes å være lav.

ØKOKYST-programmet overvåker flere stasjoner i Varangerfjorden (siden 2016) der klorofyllverdier og hardbunnsindikatoren makroalger viser svært god miljøtilstand. Målinger av næringssalt viser derimot samlet en moderat tilstand, hovedsakelig på grunn av økte fosforverdier. Høye fosforverdier kan forekomme naturlig innerst i fjorder med stor tilførsel av ferskvann. Løst fosfor vil naturlig være i overskudd langs kysten av Norge, og økte tilførsler vil ikke gi respons i for av økt mengde planteplankton. Det finnes gode data gjennom overvåkingsprogrammet og kunnskapsstyrken vurderes som god. Basert på kunnskap om hvor høye konsentrasjoner av næringssalter som må til for å få negative miljøeffekter, vurderes risikoen som lav knyttet til miljøeffekter som følge av utslipp av løste næringssalter fra fiskeoppdrett i produksjonsområde 13.

15.8 - Miljøeffekter som følge av partikulære organiske utslipp fra fiskeoppdrett

Forbruket av fôr i produksjonsområde 13 var på 7786 tonn i 2021. Basert på massebalansebudsjett der estimert utslipp av fekalier er beregnet til 29,2 % og estimert fôrspill til 5-11 % av fôrmengden, utgjør dette et utslipp av 2274 tonn fekalier og 389-856 tonn spillfôr i produksjonsområdet, fordelt på fem matfiskanlegg, som gir et snitt på 455 tonn fekalier og 78-171 tonn spillfôr per matfiskanlegg. I 2022 er fôrforbruket estimert 12 171 tonn i området.

Det ble gjennomført totalt to B-undersøkelser i produksjonsområde 13 i 2021 begge vurdert til tilstandsklasse «meget god» og «god». I 2022 ble det gjennomført en B-undersøkelse der tilstanden ble vurdert som «dårlig». Det ble gjennomført totalt åtte C-undersøkelser i produksjonsområdet i perioden 2017 til 2021, og alle var i tilstandsklasse «svært god» og «god». Det ble ikke gjennomført C-undersøkelser ved noen av lokalitetene i området i 2022.

Basert på at to av totalt tre B-undersøkelser og alle åtte C-undersøkelser i området ble vurdert som «meget/svært gode» og «gode», vurderes sannsynligheten for miljøeffekter som følge av partikulære organiske utslipp fra fiskeoppdrett som lav i produksjonsområde 13. Beregningene av omtrentlig utslippsmengde basert på fôrforbruket vurderes som god. Resultatene fra B- og C-undersøkelsene vurderes som gode for lokalitetene som ligger over bløtbunn og kunnskapsstyrken vurderes totalt sett som god. Risikoen knyttet til miljøeffekter på bløtbunn som følge av partikulære organiske utslipp fra fiskeoppdrett vurderes som lav for produksjonsområde 13.

Foreløpige data for B- og C-undersøkelsene for 2022 er hentet fra Fiskeridirektoratet.

15.9 - Miljøeffekter som følge av utslipp av kobber fra fiskeoppdrett

Estimert utslipp av kobber basert på oppdrettsandel (0,6 %) og areal (3600 km2) i produksjonsområde 13 er på 1 kg kobber per km² i 2021, og vurderes som lavt. Utslipp fra fisken på grunn av kobber i fôret utgjør 0,03 kg per km2. I produksjonsområde 13 ble det gjennomført åtte C-undersøkelser i perioden 2017–2021. Miljøundersøkelsene viste at ingen av lokalitetene i området hadde dårlig miljøtilstand i anleggssonen, som vurderes å gi en lav sannsynlighet for økte konsentrasjoner av kobber i sedimentet.

Modellsimuleringer der vi har antatt at 28 % av kobber fra impregnert not lekker ut til vannsøylen uten spyling, viser at passivt utlekket kobber kan gi et vesentlig bidrag til den totale kobberkonsentrasjonen i et fjordsystem, i størrelsesorden 0,2-0,4 μg/l. I trange fjorder med dårlig vannutveksling kan bidraget periodevis være opptil 1 μg/l. Spyling eller høytrykksspyling av kobberimpregnerte nøter vil kunne gi pulser med høyere konsentrasjoner. Produksjonen av laksefisk foregår hovedsakelig på bølgeeksponert og middels eksponert kyst og i noen åpne fjorder med god gjennomstrømming. I tillegg er mange av lokalitetene i disse produksjonsområdene nye, med kortere periode med belastning. Totalt vurderes det å være lav sannsynlighet for negative miljøeffekter av kobber i produksjonsområde 13.

Det mangler overvåkingsdata på kobberverdier i vannsøylen og det er derfor heller ikke mulig å vurdere hvordan løst kobber påvirker marine organismer som lever i vannmassene. Det er også behov for mer kunnskap om hvor mye av kobberet i sedimentet som er tilgengelig for organismer som lever i og på havbunnen nær anleggene og hva toleransegrensen for kobber er i disse organismene. Totalt sett vurderes kunnskapsstyrken som moderat. Risiko knyttet til miljøeffekter som følge av utslipp av kobber fra fiskeoppdrett vurderes som lav i produksjonsområde 13.

16 - Takk til bidragsytere

En stor takk til alle som har bidratt til denne rapporten.

Fra Havforskningsinstituttet (i alfabetisk rekkefølge):

Jon Albretsen, Lars Asplin, Ingunn Bakketeig, Sussie Dalvin, Katherine Dunlop, Ole Folkedal, Kevin A. Glover, Søren Grove, Kim Halvorsen, Beate Hoddevik, Per Arne Horneland, Eeva Jansson, Ingrid Askeland Johnsen, Egil Karlsbakk, Nigel Keeley, Tore Kristiansen, Tina Kutti, Abdullah Madhun, Craig Morton, Kjell Nedreaas, Rune Nilsen, Jonatan Nilsson, Michelle Penaranda, Anne Dagrun Sandvik, Rosa Maria Serra-Llinares, Øystein Skaala, Anne Berit Skiftesvik, Elisabeth Stöger, Terje Svåsand, Øystein Sæle, Kjell R. Utne, Vidar Wennevik

Fra Norsk institutt for naturforskning:

Ola H. Diserud, Peder Fiske, Kjetil Hindar og Sten Karlsson