Minimum stocking size of cleaner fish in salmonid sea cages in order to prevent escape
Part 1: Goldsinny wrasse and small corkwing wrasse
This report describes the minimum size of goldsinny wrasse (Ctenolabrus rupestris) and corkwing wrasse (Symphodus melops) that must be used in aquaculture net cages of a given mesh opening to prevent escape. The minimum fish sizes are based on net penetration trials in tanks and modelling using the FISHSELECT analysis tool (only for goldsinny wrasse). The calculations were made for untreated (i.e. non-impregnated), knotless polyamide (PA) netting with nominal mesh openings of 26, 30, 40, and 50 mm. The mesh openings in net certificates were measured on dry netting. Measurements showed that the mesh openings were approximately 10 % larger in wet than in dry state.
The penetration trials were conducted using a net cage mounted onto a metal frame and placed in a 1000 l tank. Wild-caught goldsinny wrasse and corkwing wrasse from the vicinity of the Austevoll Research Station were used for the experiments. For each mesh size, the fish that escaped were collected and their length and weight recorded. Retention was then modelled as a function of fish length by fitting a logistic selection model. The predicted length at 99 % retention (L99) was calculated from the fitted model and used as measure of the maximum length of specimen that can escape from the given mesh opening.
The calculations for the smallest nominal mesh opening showed an L99 of 12.4 cm, significantly above the minimum legal length of 11 cm for the species. For a 30 mm nominal mesh opening L99 was calculated at 13.5 cm. Modelled L99 using FISHSELECT and the measured wet net mesh openings were 11.8, 12.9, and 17,8 cm for the 26, 30 and 40 mm nominal mesh openings, respectively.
For the experimental populations of corkwing wrasse there was no escape observed for for smallest mesh opening (26 mm nominal) and one fish only for the second smallest (30 mm nominal). Retention could therefore not be modelled for these. However, the data indicate that L99 for corkwing wrasse is close to the current minimum legal size (12 cm) for this species. For the 40 mm nominal mesh opening there was significant escape of fish above the minimum legal size but there were not enough large fish to estimate L99. The largest corkwing wrasse that escaped was 16.2 cm.
As part of the study, variations in the condition factor (Fulton's K) of the experimental fish were investigated by comparing with data from previous experiments. The average K for the fish in the penetration and FISHSELECT trials was relatively low, but the variation was considerable and similar to the experimental populations in the other studies. The effect of the fish's condition factor on retention was studied by including the K as an explanatory variable in the modelling of retention. Such calculations could only be made for goldsinny wrasse. The model results showed a significant impact of condition factor on retention. A change in K from 1.2 to 1.6 increased L99 by 0.9 cm for a net with 26 mm nominal mesh opening.
19 September 2005: Revised report. The measurement force when measuring mesh opening of netting should be 10 N (NS 9415:2021). The previous version used force values for netting of active fishing gears (20 N for meshesr < 35 mm and 50 N for meshes >= 35 og < 125 mm; NS-EN ISO 16663-1:2009). New measurements of the experimental net cages have been made and the report updated accoringly.
Sammendrag
Rapporten beskriver hvilken minstestørrelse av bergnebb (Ctenolabrus rupestris) og grønngylte (Symphodus melops) som må benyttes ved utsett i oppdrettsnøter med en gitt maskeåpning for å hindre rømming. Minstestørrelsene er basert på trengingsforsøk i tank og modellberegninger med analyseverktøyet FISHSELECT (kun bergnebb). Beregningene ble gjort for ubehandlet (dvs. uten impregnering), knuteløst oppdrettsnotlin av polyamid med en nominell maskeåpning på hhv 26, 30, 40 og 50 mm. Maskeåpningene som er oppgitt i notsertifikatet er målt på tørt notlin. Målinger viste at maskeåpningen i våt tilstand var ca 10 % større enn i tørr tilstand.
Trengingsforsøket ble gjort ved bruk av en notpose som var spent opp i ei ramme og satt ut i et 1000 liters kar. Til forsøket ble det benyttet villfanget bergnebb og grønngylte fra nærområdet til Forskningsstasjonen Austevoll. For hver maskeåpning ble det registrert hvilke fisk som rømte og lengde og vekt for disse. Tilbakeholdelse (retensjon) ble så modellert som funksjon av fiskelengde ved tilpasning av en seleksjonsmodell. Predikert lengde ved 99 % retensjon (L99) ble deretter beregnet fra den tilpassede modellen og benyttet som mål på største lengde som muliggjør rømming for gitte maskeåpning.
Beregningene for den minste maskeåpningen (26 mm nominell) viste en L99 for bergnebb på 12,4 cm; betydelig over minstemålet på 11 cm for arten. For 30 mm nominell maskeåpning ble L99estimert til 13,5 cm. Ved utsett av bergnebb i samsvar med dagens minstemål må det derfor påregnes betydelig rømming i nøter med disse maskeåpningene. For de to største maskestørrelsene (40 og 50 mm nominell maskeåpning) rømte alle bergnebbene. Modellert L99 ved bruk av FISHSELECT og de målte maskeåpningene for vått notlin var hhv 11,8, 12,9 og 17,8 for 26, 30 og 40 mm nominell maskeåpning.
For forsøkspopulasjonen av grønngylte var det ingen rømming for den minste maskeåpningen (26 mm nominell) og kun en fisk for den nest minste (30 mm nominell). Retensjonen kunne derfor ikke modelleres for disse maskeåpningene. Data indikerer imidlertid at L99for grønngylte ligger nær gjeldende minstemål (12 cm) for disse maskeåpningene. For 40 og 50 mm nominell maskeåpning var det betydelig rømming av fisk over minstemål, men ikke nok stor fisk i prøvematerialet til å modellere retensjonen og dermed estimere L99.
Som en del av studien ble det også gjort undersøkelser av variasjoner i fiskens kondisjonskoeffisient (K) ved å sammenstille lengde/vekt data fra tidligere forsøk. Sammenliknet med tidligere forsøk var gjennomsnittlig K for fiskene i trengnings- og FISHSELECT-forsøkene relativt lav, men det var stor spredning i materialet, og variasjonen antas å være dekkende for hva man vil kunne forvente hos vill-fanget grønngylte og bergnebb brukt som rensefisk, både nylig fanget og etter en periode i fangenskap. Effekten av fiskens kondisjonskoeffisient på rømmingssannsynlighet ble undersøkt ved at kondisjonskoeffisienten ble inkludert som en forklaringsvariabel i modellen for retensjon. Disse beregningen kunne kun gjøres for bergnebb. Beregningene viste en signifikant effekt av kondisjon på rømmingssannsynlighet. En endring i kondisjonskoeffisient fra 1,2 til 1,6 endret predikert L99med 0,9 cm for ei not med 26 mm nominell maskeåpning.
19. september 2025. Rapporten revidert. Strekkraft ved måling av maskeåpning i oppdrettsnøter skal være 10 N (NS 9415:2021). I tidligere versjon var det benyttet 20 N for masker < 35 mm og 50 N for masker >= 35 og < 125 mm (standard for aktive fiskeredskaper; NS-EN ISO 16663-1:2009). Nye maskemålinger er gjort for forsøksposene, og rapporten er oppdatert i henhold til disse.
1 - Innedning
1.1 - Sakshistorikk
I en bestilling datert 11. september 2018 ba Fiskeridirektoratet Havforskningsinstituttet om å utarbeide en oversikt over minstestørrelsen på rensefisk som bør benyttes ved utsett i oppdrettsnøter av gitt maskestørrelse for å unngå at fisk rømmer. I bestillingen refereres det til en tidligere bestilling fra 2012 der Fiskeridirektoratet ba Havforskningsinstituttet om å undersøke en tilsvarende sammenheng for laksesmolt. Den sistnevnte bestillingen resulterte i en rapport (Rapport fra Havforskningen, nr. 22-2013) der det presenteres en tabell med største rømte fisk for en serie maskestørrelser med maskeåpning fra 30,7 til 53,3 mm. Fiskeridirektoratet ber i bestillingen fra 2018 om at det utarbeides en lignende tabell for de ulike rensefiskartene som brukes i merdbaserte akvakulturanlegg.
Havforskningsinstituttet svarte opp på bestillingen fra 2018 med rapporten «Maskeåpning ved oppdrett av rensefisk av ulik størrelse og art» (Rapport fra Havforskningen, 2022-17). I brev datert 31. januar 2022 påpeker Fiskeridirektoratet mangler ved rapporten og ber om en revidert rapport. Etter en statusgjennomgang med Fiskeridirektoratet i juni 2023, ble det konkludert med at det måtte gjøres supplerende forsøk i 2024 for å svare opp bestillingen. For bergnebb og små grønngylte er det imidlertid et tilfredsstillende datagrunnlag.
Den reviderte rapporten deles derfor i to delrapporter. Den første omfatter bergnebb og små grønngylte og var planlagt levert innen desember 2023, mens den resterende rapportering gjøres innen desember 2024. I samsvar med den reviderte bestillingen tok Havforskningsinstituttet inn relevante, foreløpige resultat fra forsøkene i instituttets kunnskapsstøtte og Råd for fisket etter leppefisk 2024, som ble presentert på reguleringsmøtet i oktober 2023 (Rapport fra havforskningen 2023-59).
1.2 - Omfang av rensefiskbruk
I 2022 ble i underkant av 14,4 millioner villfangede leppefisk satt ut i oppdrettsmerder til bruk som rensefisk, samt 1,4 millioner oppdrettede berggylter og 17,6 millioner rognkjeks (Fiskeridirektoratet). I 2023 ble det fisket færre leppefisk enn året før, og reduksjonen kom i fangstområdene Sørlandet og nord for 62 grader nord. På Sørlandet ble det fisket i underkant av 633 000 fisk av en kvote på 4 millioner, og nord for 62 grader nord i overkant av 2 053 000 av en kvote på 4 millioner fisk (Fiskeridirektoratet).
1.3 - Rømming av rensefisk fra merd
Et høyt svinn av rensefisk i merder hvor nota ikke har vært skadet og hvor dødeligheten ikke er høy, indikerer at det kan være en stor andel av fisk som rømmer gjennom maskene i nota. I tillegg observeres det rensefisk som står fast i selve notmaskene. Rømming av rensefisk innebærer en risiko for genetisk påvirkning og smittespredning. Nyere studier viser at det er store genetiske forskjeller mellom populasjoner av grønngylte og berggylte i artenes utbredelsesområde i Norge, og den skarpeste skillelinjen er lokalisert rundt Jæren (Faust et al. 2021, Seljestad et al. 2020). Det er ikke like tydelig geografiske skiller for bergnebb, men også her øker de genetiske forskjellene med geografisk avstand (Jansson et al. 2017). Transport av fisken over store avstander kan gi en situasjon hvor oppdretterne har leppefisk med en annen genetisk bakgrunn enn det som forekommer naturlig i området hvor merdene er lokalisert. Dersom denne fisken rømmer eller slippes ut, så flyttes fisk mellom ulike bestander. Imidlertid er fangst av leppefisk på Sørlandet, som for det meste blir brukt av oppdrettere i andre fangstområder, redusert betraktelig de seneste årene. Havforskningsinstituttets "Risikorapport norsk fiskeoppdrett 2024" konkluderer med at det er moderat sannsynlighet for at transport og påfølgende rømning av leppefisk fra oppdrett kan gi varige, negative endringer i de ville bestandene. Det er manglende kunnskap om omfang og konsekvenser av rømming.
1.4 - Gjeldende reguleringer og tidligere undersøkelser og anbefalinger
Oppdretter plikter å vise aktsomhet så fisk ikke rømmer fra oppdrettsnøtene (Forskrift om drift av akvakulturanlegg, § 37, 1. ledd, 1. setning). Det er også presisert i samme paragraf at maskeåpningen i nøtene må tilpasses størrelsen på fisken som settes ut i dem (4. ledd, 1. setning).
Det har tidligere vært utført flere forsøk for å bestemme anbefalt minstestørrelse av leppefisk som kan settes ut i nøter av ulike maskestørrelse (Bjordal & Mikkelsen 1993, Moe & Ildhusøy 2006, Woll m.fl. 2013). I de omtalte forsøkene er det benyttet ulike mål i forbindelse med beskrivelse av maskestørrelse, og det er ikke beskrevet hvordan disse er målt. Det brukes omfar, halvmaske og helmaske, men det sies ikke om det er utført målinger i forbindelse med selve forsøket/-ene eller om det er tall oppgitt av produsent. Det er heller ikke oppgitt hvilket materiale nota er laget av. I forsøket fra 1993 er minste fisk som ikke rømmer gjennom maskene i nota kriteriet for hvilken minstestørrelse av fisk en kan bruke i nota. Fra egne forsøk (Jørgensen m. fl. 2017) vet en at ikke alle fiskene som kan rømme fra ei not med en gitt maskeåpning, velger å rømme. Det er den største fisken som rømmer som bestemmer hvilken minstestørrelse som må velges for å unngå rømming. Woll m.fl. (2013) beskriver rømningsforsøk der det i det ene forsøket ble brukt bergnebb fraktet fra Sverige for utsett i et anlegg på Møre, og i det andre forsøket lokalfanget grønngylte. En 38 omfars (33 mm maskelengde) forsøksnot ble brukt, men det er ikke oppgitt om maskestørrelsen ble målt i forbindelse med forsøkene. Anlegget fisken skulle settes ut i hadde 38 omfars not. Ingen grønngylte rømte gjennom noten. Størrelsen på grønngylten som ble testet i dette forsøket var fra 11,0 til 14,5 cm. Bergnebbene testet i rømningsforsøket var fra 10,5 til 14,5 cm. 51 av 65 bergnebb under 12,0 cm rømte ut av forsøksnota, og 4 av 32 bergnebb over 12,0 cm rømte. Disse 4 var i størrelsesområde 12,0 til 12,5 cm.
1.5 - Nøter og maskestørrelse
Oppdrettsnøter laget av polyamid (PA) er dominerende i oppdrett av laksefisk, men det lages også del nøter av polyetylen. UHMWPE (Ultra-High Molecular Weight PolyEthylene), også betegnet HMPE, er av utseende svært likt polyamid og blir solgt under merkenavn som Dyneema og Spectra. En liten andel nøter lages også av HDPE (High Density Polyethylene) som er en PE-plast som er mer likt det som brukes i tau og trål-nett (Dag Davik, Mørenot Aquaculture AS, personlig meddelelse). Av nøtene Akva Group AS solgte i 2022, var 85 % laget av PA og 15 % av UHMWPE (Karen Kvalheim, AKVA Group AS, personlig meddelelse), mens halvparten av nøtene Mørenot selger er laget av polyamid og de resterende hovedsakelig av HMPE/UHMWPE (Dag Davik, Mørenot Aquaculture AS, personlig meddelelse). Knuteløst (strikket/flettet) notlin med firkantmasker er mest brukt, men det selges også nøter av notlin med knuter og nøter av knuteløst notlin med sekskantmasker. Notlin av firkantmasker monteres oftest stolperett, slik at maskene får en kvadratisk form. Dette gjøres for å sikre mest mulig åpne masker og dermed god vanngjennomstrømning.
I næringen brukes ulike mål og begrep for å angi maskestørrelsen i nøtene. I «Bransjeveileder lakselus" benyttes f.eks. omfar, halv- og helmaske, mens Norsk standard for flytende oppdrettsanlegg (NS 9415:2021) bruker maskeside og maskeåpning. I "testrapport notlin" fra AKVA Group benyttes maskeåpning, halvmaske og omfar. I Appendiks 1 er det gitt en oversikt over de mest brukte målene for maskestørrelse. Da maskeseleksjonen for fisk er direkte relatert til maskeåpningen (Reeves et al. 1992, Wileman et al. 1996), er det dette målet som er brukt i vitenskapelig studier og i de fleste tekniske reguleringer av maskestørrelsen i fiskeredskaper (se Forskrift om gjennomføring av fiske, fangst og høsting av viltlevende resurser (høstingsforskriften), https://lovdata.no/dokument/SF/forskrift/2021-12-23-3910?q=høstingsforskriften. Det er derfor også benyttet i denne rapporten. Maskeåpning ble også brukt som mål for maskestørrelsen i en tidligere rapport om sammenhengen mellom maskestørrelse og minstestørrelse ved utsett av smolt (Harboe og Skulstad, 2013). Merk at Høstingsforskriften bruker den ikke-standardiserte betegnelsen maskevidde om det som i den standardiserte litteraturen betegnes maskeåpning).
Maskeåpning er definert som den største avstanden mellom to motstående knuter/ sammenføyninger i en strukket maske (Fig.1, NS-EN 1107:2017, NS 9415:2021). For diamantmasker (firkantmasker) skal notlinet ved måling strekkes i dets N-retning, dvs. langs maskens lengste akse (NS_EN ISO 1107:2017). Dersom N-retning ikke kan bestemmes for knuteløst notlin, skal maskeåpningen måles langs maskens lengste akse. For kvadratmasker skal notlinet først strekkes og masken måles langs den ene maskediagonalen og deretter strekkes og måles langs den andre maskediagonalen. Maskeåpningen fastsettes som den største av de to målingene (Op.cit.).
Figur 1. Illustrasjonen som viser en maske med angivelse av maskeåpningen, Avstanden måles som største innvendige avstand mellom to motstående sammenføyningen/knuter når notlinet er strukket i N-retning.
Oppdrettsnøter leveres med et produktsertifikat. Her er nominell maskeåpning angitt, dvs. den maskeåpningen produsenten har innstilt maskinene på for å ende opp med ønsket maskeåpning. Notlin av PA blir ofte kokt og så tørket, dette for å hindre seinere krymping. Når notlinet kommer ut av tørketårnet måles det og skal da være mest mulig likt målverdien. Notlin av PA vil imidlertid utvide seg når det tar opp fuktighet. Målinger gjort av AKVA Group AS viste en økning på 1,7 % i maskeåpning for notlin som har ligget noen dager i forhold til notlin som kommer direkte fra tørketårnet (Karen Kvalheim, AKVA Group, personlig meddelelse). Målt maskeåpning på vått notlin av PA vil derfor generelt forventes å være større enn maskeåpningen som er oppgitt i notsertifikatet, men økningen er ikke kvantifisert eller hensyntatt i tidligere anbefalinger. I tillegg vil det i samme notlinsparti alltid være små forskjeller i maskeåpning. For beregning av rømmingssannsynlighet i forhold til fiskelengde er det den faktiske maskeåpningen når nøtene står i sjøen som er avgjørende. Maskeåpning bør derfor oppgis i samsvar med dette.
2 - Materiale og metoder
2.1 - Trengningsforsøk
I samsvar med den tidligere nevnte undersøkelsen av sammenhengen mellom maskestørrelse og smoltstørrelse (Harboe og Skulstad, 2013), ble det det gjennomført trengningsforsøk for å bestemme tilsvarende sammenheng for leppefisk. Ved bruk av denne metodikken settes fisk av et bredt lengdespekter ut i et notbur av den maskeåpningen som rømmingssannsynligheten skal beregnes for. Notburet plasseres i et stort kar. Etter avsluttet forsøk fjernes notburet fra karet og fiskene som har rømt samles opp, lengdemåles og veies. Ofte vil fisk ikke rømme selv om de er små nok til å passere gjennom maskene. Fisk stimuleres derfor til å rømme ved at det benyttes et lite notvolum og/eller at notvolumet gradvis minkes (trenging) og ved at det plassere mat og skjul på utsiden.
Etter rådføring med en notprodusent ble det valgt å beregne rømmingsannsynlighet for PA notlin med de fire kommersielt mest brukte maskestørrelsene i oppdrettsnøter, dvs. maskeåpning på henholdsvis 26, 30, 40 og 50 mm. Forsøksplanen var å benytte kvadratmasker i alle forsøksposene, men ved en inkurie ble notlinet montert som diamantmasker for den minste maskeåpningen og som T-90 masker (rotert 90-grader i forhold til diamantmasker) for 30 mm maskeåpning. For posene med de to største maskeåpningene var notlinet korrekt montert med kvadratmasker. Notlinet med de to minste maskestørrelsene var laget av tråd nr 24, mens notlinet i posene med 40 og 50 mm maskeåpning var laget av tråd nr 40 (se Appendiks 2 for testrapporter for notlinet). Alle notposene ble laget med form som et rektangulært prisme med størrelse 40x50x80 cm (b x d x h). Notposen ble spent opp i ei aluminiumsramme og plassert i et 1000 liters transportkar (Fig. 2). I karet var det plassert både skjul og mat for å stimulere fisken til å svømme ut av notposen.
Figur 2. Oppsettet ved trenging av fisk. Skjematisk tegning (venstre bilde) og faktisk oppsett (høyre bilde).
Rensefisk til forsøkene ble fanget med teiner/ruser i nærområdet til Forskningsstasjonen Austevoll. Det ble under innfangningen lagt vekt på å samle fisk med størst mulig spredning i størrelse. Forsøksfiskene (bergnebb og grønngylte) ble først satt ut i notposen med den minste maskeåpningen (26 mm). Fisken ble gitt 15 minutter på å rømme. Ofte vil fisk ikke rømme selv om de er små nok til å passere gjennom maskene. På slutten av perioden ble fisken derfor trengt ved at ramma med pose ble løftet slik at vannvolumet i posen ble redusert.Notposen ble så fjernet fra ramma og deretter snurpet sammen i toppen. Fiskene som hadde rømt fra posen ble samlet opp med en håv, artsbestemt og lengde (i millimeter) og vekt (i gram) registrert. Lengde ble målt fra snute til halespiss med halen liggende i en naturlig posisjon. Notposen med den nest minste maskeåpningen (30 mm) ble så montert, og de tilbakeholdte fiskene i den først testede posen ble overført til den sist monterte posen. Samme prosedyre ble fulgt for posene med de to største maskeåpningene.
2.2 - Måling av maskeåpning
Måling av maskeåpning ble foretatt i henhold til NS-EN ISO 16663-1:2009. Til målingene ble det benyttet en Omega maskemåler (https://www.marelec.com/industries/marine/omega-mesh-gauge/; Fonteyne et al. (2007); Fig. 3). Målingene ble gjort med en strekkraft på 10 N (NS 9415:2021). Verifisering av maskeåpningsmålingene ble foretatt med den tilhørende kalibrertingsplata av stål (Fig. 3). For notposene med hhv diamantmasker og T-90 masker (26 mm og 30 mm nominell maskeåpning) ble maskeåpningen målt som den største avstanden mellom to motstående hjørner i N-retning for strekt maske. For notposene hvor notlinet var montert stolperett (kvadratmasker), ble begge diagonalene målt for strukket maske. Maskeåpning ble satt til den største av de to målingene. For alle notposene ble det målt 2 serier à 20 masker. Målingene ble gjort i et vilkårlig valgt sidepanel i posen ved at det ble målt 20 sekvensielle masker vertikalt. Målingene startet 4 masker fra nedre sidekant og 4 masker fra sidekanten. Det var også 4 masker horisontal avstand mellom maskene i de to maskeseriene. Maskene ble først målt for tørt notlin. Notlinet ble så lagt i en beholder med ferskvann med en temperatur på 20 oC. Etter 18 timer ble det tatt opp og maskene målt i våt tilstand. To nye serier à 20 masker ble målt. Horisontal avstand fra sist målte serie for tørr tilstand var på hhv 4 og 8 masker.
Figur 3. Venstre bilde: Måling av notlinet i en av forsøksposene med en Omega maskemåler. Høyre bilde: Kalibreringsplata for Omega-måleren.
2.3 - Analyse
Basert på trengingsforsøkene får vi et anslag for den største fisken som klarer å rømme. For å unngå rømming, må fisk som settes ut i oppdrettsnøter med denne maskestørrelsen derfor være større enn den største rømningslengde for maskestørrelsen.
Generelt er en testobservator basert på den observerte maksimumsverdien lite robust. Vi beregnet derfor et estimat for minstestørrelse som ikke kan rømme basert på seleksjonskurven til den gitte maskeåpningen. Seleksjonskurven angir tilbakeholdessannsynlighet (retensjonssannsynlighet) som funksjon av fiskens lengde. For maskeseleksjon har kurven er sigmoid form (Fig. 4). I beregningene av minste fiskelengde som kan settes ut i ei oppdrettsnot uten fare for rømming, har vi benyttet lengde ved 99 % retensjon (L99). L99 er benyttet fordi 100 % retensjon er en asymptotisk størrelse og L100 derfor ikke har en endelig verdi. Formelt sett vil 1 % av fiskene med en lengde svarende til L99 kunne rømme. For helt å unngå rømming, må minste rømmingssikre fiskelengde derfor settes høyere enn estimert L99.
Figur 4. Konseptuell framstilling av en seleksjonskurve. Kurven angir tilbakeholdelses-sannsynlighet som funksjon av fiskens lengde. Ved fiskelengde svarende til L99 vil 99 prosent av fiskene med denne lengden holdes tilbake i nota og 1 prosent vil kunne rømme.
Fra trengingsforsøkene beregnes andelen fisk som holdes tilbake i notposen (retensjon) som funksjon av fiskens lengde. Til disse dataene ble det tilpasset en seleksjonsmodell. Tre alternative modeller (logit, probit, og Richards; se Wileman et al. (1996 ) for detaljer om modellene) ble tilpasset og den med lavest AIC (Akaike Information Criterion) ble valgt. Modelleringen ble gjort i R 3.6.3 (R Core Team, 2020) og Selfisher (versjon 1.1.0; Brooks et al. 2020). For å undersøke effekten av fiskens kondisjonskoeffisient på retensjonen, ble denne inkludert som forklaringsvariabel i logistisk modell.
2.4 - FISHSELECT metoden
FISHSELECT (Herrmann et al., 2009; 2012) er en sammensetting av metoder, verktøy og programvare som er utviklet for å bestemme om en fisk av en gitt art kan trenge gjennom en gitt maske eller annen åpning av definert form. Først samles det inn data på lengde og vekt, samt målinger av fiskens tverrsnittkonturer. Disse modelleres så som funksjon av fiskens lengde. Deretter gjøres det droptester («fall through») for et stort utvalg åpninger av forskjellig form og størrelse. En seleksjonsmodell tilpasses så droptest-dataene og seleksjons-parametrene estimeres. Til sist etableres en relasjon mellom maskeåpning og fiskelengden for ønsket retensjon (f.eks. middelseleksjonslengden, eller som i denne studien, lengden ved 99 % retensjon) for den gitte maskeformen og -størrelsen. Metoden ble opprinnelig utviklet for å studere ulike fiskeredskapers selektivitet (sannsynligheten for å holde tilbake eller slippe ut undermåls fisk).
FISHSELECT beregninger for bergnebb ble utført 12.-14. september 2017 (Sistiaga et al., 2020). Fisk til beregningene ble samlet inn av en fisker på Hitra. Det ble benyttet 100 fisk som dekket lengdeintervallet fra 78 til 160 mm lengde. Basert på forsøkene ble det etablert lineære relasjoner mellom maskeåpningen og fiskelengden som gir 99 % retensjon for denne maskeåpningen. Relasjonen ble beregnet for slakke og stive kvadrat- og sekskantmasker (Fig. 5). Ei stiv maske er rigid og kan ikke endre fasong når en fisk prøver å trenge gjennom (Fig. 6a). Ei halvslakke maske er ei maske der de horisontale stolpene kan endre fasong, mens de vertikale holder seg ”rette” (Fig. 6b). Halvslakke masker er representert med hexagonale masker i FISHSELECT-simuleringene. For ei slakk maske er alle stolper slakke, og maska vil forme seg helt etter fiskens tverrsnitt (Fig. 6c).
Figur 5. Bergnebb. Fiskelengden som vil gi mindre enn 1 % rømningsrisiko for ulike maskeåpninger. Regresjonslinjene viser sammenhengen for stive og slakke kvadratmasker. Beregningene er basert på resultater fra Sistiaga et al. (2021).
Regresjonsligninger:
Slakke masker: L99 = 3,5574*maske + 20,8726 (1)
Stive masker: L99 = 2,8417*maske + 16,0955 (2)
Figur 6. Stiv, halv-slakk og slakk maske. Illustrasjon av ei bergnebb (ved dens tverrsnitt) som prøver å trenge gjennom ei a) stiv, b) halv-slakk og c) slakk maske. Rød ellipsoide representer en ukomprimert og grønn en maksimalt komprimert fisk. Figuren er hentet fra Sistiaga et al. (2021).
2.5 - Variasjon i kondisjon hos leppefisk
Det er fastsatt minstemål for leppefisk, og det er leppefisk ved minstemålet som antas å ha størst rømningssannsynlighet. Rømmingssannsynligheten er i stor grad bestemt av fiskens største tverrsnitt. På grunn av naturlige forskjeller i fødetilgang, konkurranse og andre miljøforhold kan man forvente at kroppsfasong og dermed kondisjonsfaktoren (K = lengde/vekt3 ) varierer geografisk og gjennom året både for både nylig fangede leppefisk og for de som har gått under oppdrettsbetingelser i ulike tidsintervall. Vi sammenliknet derfor variasjonen i K for fisk som inngikk i trengningsforsøket og FISHSELECT-forsøket med kondisjonsmålinger fra tidligere forsøk med leppefisk gjort på ulike tider av året og under varierende forutsetninger, og hvor K ble målt både ved start og slutt av forsøkene.
3 - Resultater
3.1 - Målinger av maskeåpning
Generelt var det godt samsvar mellom maskeåpning oppgitt i notsertifikatet og målt maskeåpning for tørt notlin (Tabell 1). Det var også liten variasjon i maskeåpning mellom masker i en og samme pose. Målinger av maskeåpning i notposene i tørr og våt tilstand viste imidlertid at maskeåpningen var 8,5-10,1 % større i våt tilstand enn i tørr tilstand (Tabell 1). Forskjellen mellom maskeåpning i tørr og våt tilstand var signifikant for alle notposene (ANOVA; p< 0.0001).
Nominell maskeåpning
Tilstand
n
Middel (mm)
SD (mm)
Variasjonsbredde
Prosentvis forskjell
26
Tørr
40
25,00
0,52
24-26
9,2
Våt
40
27,32
0,47
27-28
30
Tørr
40
27,77
0,69
27-29
10,1
Våt
40
30,35
0,48
31-33
40
Tørr
40
40,67
0,62
41-43
8,5
Våt
40
44,12
0,40
49-50
Tabell 1. Målt maskeåpning i tørr og våt tilstand for notposene som ble brukt i trengingsforsøket. n er antall masker som ble målt.Nominell maskeåpning er maskeåpningen målt av produsent for tørt notlin.
3.2 - Trengingsforsøk
Det var tilgjengelig 383 bergnebb og 215 grønngylte til trengingsforsøkene. Bergnebbene dekket lengdeintervallet mellom 11 cm og 15 cm, de kommersielt vanlig forekommende lengdegruppene. For grønngylte var det fisk i intervallet 11-16 cm (Fig. 7), dvs. at det her manglet stor fisk (16-20 cm).
De tilpassede modellene for seleksjonen til bergnebb i de uttestede notposene er vist i Fig. 8. For notposen med 26 mm nominell maskeåpning var estimert L99 12,4 cm, mens den for posen med 30 mm nominell maskeåpning var 13,5 cm. For de to største maskeåpningene (40 og 50 mm) var det ingen retensjon. Observert lengde for største bergnebb som rømte var 12,1 og 13,1 cm for posene med henholdsvis 26 og 30 mm nominell maskeåpning.
Figur 7. Lengdefordelingene til bergnebbene og grønngyltene som ble benyttet i trengingsforsøket. Fiskelengde ble målt til nærmes
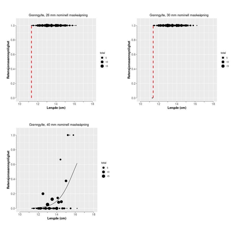
Trengingsforsøkene med grønngylte viste at alle fiskene i forsøksgruppa ble holdt tilbake i posen med 26 mm nominell maskeåpning (Fig. 9). For posen med 30 mm nominell maskeåpning rømte kun den minste fisken i forsøksgruppa. Denne hadde en lengde på 11,4 cm. Grunnet mangel på data i seleksjonsintervallet, kunne det ikke tilpasses retensjonsmodell for hverken 20 eller 30 mmmaskeåpning. L99 kan derfor heller ikke estimeres. For posen med 40 mm nominell maskeåpning var det svært få fisk i øvre del av seleksjonsintervallet. Uten data her vil den tilpassede modellen ikke gi en god beskrivelse av øvre halvdel av seleksjonskurven. L99 kunne derfor ikke bestemmes. Største grønngylte som rømte i posen med 40 mm nominell maskeåpning hadde en lengde på 16,2 cm. Dette var også den største fisken i forsøkspopulasjon.
Figur 8. Bergnebb. Modellert retensjon som funksjon av fiskelengde for bergnebb for en notpose med 26 mm nominell maskeåpning (øvre venstre panel), 30 mm nominell maskeåpning (øvre høyre panel) og 40 mm nominell maskeåpning (nedre venstre panel). Punktene angir andel fisk som holdes tilbake i hvert 1 mm lengdeintervall. Den stiplede, røde linjen angir lengde ved 99 % retensjon.
Figur 9. Grønngylte. Modellert retensjon som funksjon av fiskelengde for bergnebb for en notpose med 26 mm nominell maskeåpning (øvre venstre panel) og 30 mm nominell maskeåpning (øvre høyre panel). For 40 mm nominell maskeåpning var det ingen retensjon (nedre venstre panel). Punktene angir andel fisk som holdes tilbake i hvert 1 mm lengdeintervall. Den stiplede, røde linjen angir lengde ved 99 % retensjon.
3.3 - FISHSELECT metoden
Basert på relasjon 1 og 2 mellom maskeåpning og tilhørende fiskelengde som gir 99 % retensjon, ble L99 for bergnebb beregnet for nøtene med nominell maskeåpning på 26, 30 og 40 mm. I beregningene ble den faktiske, målte maskeåpningen i våt tilstand (Tabell 1) benyttet.
Beregningene viste stor forskjell mellom estimert 99 % retensjonslengde for slakk og stiv maske Tabell 2). FISHSELECT-estimatene for slakk maske for 26 og 30 mm nominell maskeåpning var 0,6 cm lavere enn estimatene fra trengingsforsøkene. For 40 mm nominell maskeåpning må bergnebb være over 17,8 cm for å bli holdt tilbake i nøter med slakke masker, og selv med stive masker må fiskene være over 14,1 cm for å bli holdt tilbake.
Nominell maskeåpning (mm)
Målt maskeåpning (mm)
Lengde (cm) ved 99 % retensjon
Trengingsforsøk
Slakk
Stiv
26
27,3
12,4
11,8
9,4
30
30,4
13,5
12,9
10,2
40
44,1
NA
17,8
14,1
Tabell 2. Bergnebb. Estimert lengde ved 99 % retensjon basert på trengingsforsøkene og FISHSELECT modellering. Slakk og Stiv henviser til FISHSELECT-beregninger for slakke og stive kvadratmasker.
3.4 - Variasjon i fiskens kondisjonsfaktor og effekt på rømmingssannsynlighet
Tidligere forsøk ble benyttet som referansemateriale for å vurdere nivået på kondisjonskoeffisienten til leppefiskene som inngikk i trengings- og FISHSELECT-forsøkene (Tabell 3). Gjennomsnittlig K for Bergnebb varierte mellom 1,25 og 1,5 i ulike forsøk (Fig. 10). Snittet for trengingsforsøket var på K=1,3, og dette var signifikant lavere K enn i 8 av 12 tidligere forsøkspopulasjoner (Tabell 4). For grønngylte var gjennomsnittlig K (1.31) i trengningsforsøket lavere enn i de andre forsøkene bortsett fra et forsøk der fisken hadde gått i merd fra august til mai (Overvintring19, Fig. 11, Tabell 4). Generelt viser sammenlikningen at spredningen i K i trengningsforsøket har god overlapp med K målt på andre tidspunkt og under andre forsøksbetingelser.
Forsøknavn
Prosjekt
Start
Slutt
Dager
Trengingsforsøk
Rømningssannsynlighet
2020.11.26
2020.11.28
3
FISHSELECT
Rømningssannsynlighet
2017.09.12
2017.09.14
3
Samspill
FHF-prosjekt 902017/09978
2014.12.16
2015.06.10
181
Lys1
FHF-prosjekt 901146
2015.12.17
2016.02.10
55
Lys2
FHF-prosjekt 901146
2016.11.17
2017.01.12
54-56
Cleancatch19
FHF-prosjekt 901560
2019.11.19
2019.12.17
30
Cleancatch20
FHF-prosjekt 901560
2020.09.14
2020.10.14
30
Dokumentar21
FHF-prosjekt 901692
2021.08.20
2021.11.26
99
Overvintring19
Rømningssannsynlighet
2019.08.07
2020.05.01
269
Tabell 3. Tidligere forsøk med bergnebb og grønngylte ved Havforskningsinstituttet der kondisjonskoeffisient er målt for enkeltfisk. For de fleste forsøkene er kondisjonskoeffisient bestemt både ved forsøksstart og ved avslutning av forsøket. (Samspill, FHF-prosjekt 902017/09978; Lys1 og Lys2, FHF-prosjekt 901146; Cleancatch 19 og Cleancatch 20, FHF-prosjekt 901560; Dokumentar21, FHF-prosjekt 901692).
Figur 10. Variasjon i kondisjonsfaktor for bergnebb. Fiolin-plott som viser 25, 50 og 75 percentil av fordelingen av kondisjonsfaktor i trengingsforsøket (helt til venstre) og FISHSELECT (nr. 2 fra venstre) sammenliknet mot tidligere forsøk hvor villfanget rensefisk er målt og veid ved start og slutt av forsøket. Punkter viser individuelle målinger. En oversikt over forsøkene og deres varighet er gitt i Tabell 3.
Bergnebb
Grønngylte
Koeffisienter
Estimater
p
Estimater
P
Intercept (Trengingsforsøk)
1.3
<0.001
1.31
<0.001
FISHSELECT
0.04
0.001
Samspill start
0.18
<0.001
Samspill slutt
0.07
<0.001
Cleancatch19 start
0.04
0.001
Cleancatch19 slutt
0.07
<0.001
Cleancatch20 start
0.06
<0.001
Cleancatch20 slutt
0.13
<0.001
0.15
<0.001
Lys1 Start
0
0.717
0.12
<0.001
Lys1 Slutt
0.05
<0.001
0.06
0.003
Lys2 start
-0.02
0.048
Lys2 slutt
0.03
0.001
Overvintring Start
-0.01
0.692
0.07
<0.001
Overvintring Slutt
0.03
0.095
-0.1
<0.001
Dokumentar2021 start
0.13
<0.001
Dokumentar2021 slutt
0.02
0.064
Observasjoner
1691
1593
R 2
0.141
0.354
Tabell 4. Estimert gjennomsnitt for kondisjonskoeffisient (K) for bergnebb og grønngylte i trengingsforsøket (lineær modell) sammenliknet med K i FISHSELECT og andre tidligere forsøk ved Havforskningsinstituttet hvor kondisjonskoeffisient er målt for enkeltfisk. For de fleste forsøkene er kondisjonskoeffisient bestemt både ved forsøksstart og ved avslutning av forsøket.
Figur 11. Variasjon i kondisjonsfaktor for grønngylte. Fiolin-plott som viser 25, 50 og 75 percentil av fordelingen av kondisjonsfaktor i trengingsforsøket (helt til venstre) sammenliknet mot tidligere forsøk hvor villfanget rensefisk er målt og veid ved start og slutt av forsøket. Punkter viser individuelle målinger. En oversikt over forsøkene og deres varighet er gitt i Tabell 3.
Inkludering av kondisjonskoeffisient som en forklaringsvariabel ved modellering av retensjon for bergnebb viste at effekten av denne var signifikant. Basert på resultatene fra modelleringen, er retensjon som funksjon av lengde beregnet for forskjellige verdier av K (Fig. 12). Tilhørende L99 verdier er vist i Tabell 5.
Figur 12. Modellert retensjon for bergnebb for forskjellige verdier for kondisjonskoeffisienten (K). Den svarte kurven er retensjonskurven for modellen uten K som forklaringsvariabel.
Kondisjonskoeffisient
Estimert L99 (cm)
1,0
13,00
1,2
12,58
1,4
12,16
1,6
11,74
Modell uten K
12,49
Tabell 5. Predikert lengde ved 99 % retensjon for en modell der kondisjonskoeffisienten er inkludert som forklaringsvariabel. Estimat for modell uten kondisjonskoeffisient er også gitt.
4 - Diskusjon
Forsøkene viste at for ubehandlet notlin av polyamid (nylon), er maskeåpningen 18,5-10 % større i våt tilstand enn i tørr tilstand. I notsertifikat er den oppgitte verdier for maskeåpning målt når notlinet kommer ut av tørketårnet. Det er da på sitt tørreste (Karen Kvalheim, AKVA Group, personlig meddelelse). Før nøter settes ut i sjøen blir de normalt impregnert for å hindre begroing. Impregnering, marin påvekst og annet som trenger inn i tråden, samt bevegelser av notlinet ved f.eks. vask, fører til krymping (Føre og Gaarder, 2018). Når notlinet krymper, blir tråden tykkere og maskeåpningen mindre. Så vidt vi kjenner til, er graden av krymping ikke kvantifisert. Krymping vil føre til at forskjellen mellom målt maskeåpning for tørt, ubehandlet notlin slik dette rapporteres i notsertifikatet og impregnert notlin under oppdrettsbetingelser vil være mindre enn differansen vi målte mellom tørt og vått ubehandlet notlin. For seleksjon er det den faktiske maskeåpningen som nota har når den står i sjøen som bestemmer seleksjonen. Oppdretter bør derfor måle faktisk maskeåpning ved utsett der det er tvil om fiskestørrelsen er stor nok til at rømming kan unngås.
For bergnebb ble minste rømmingssikre lengde (L99) beregnet ved både trengingsforsøk og modellering ved bruk av FISHSELECT. FISHSELECT-beregningene for slakk maske viste best samsvar med resultatene fra trengingsforsøkene med 0,6 cm lavere verdi enn estimatene fra trengingsforsøkene for 26 og 30 mm nominell maskeåpning. For slakke masker kan masken forme seg etter fiskens omkrets, og derfor forventes maskeformen (kvadrat vs. diamant eller T90) ikke å ha betydning for rømmingssannsynligheten. Større fisk vil derfor kunne slippe gjennom ei slakk kvadratmaske enn gjennom ei stiv kvadratmaske. Dette vises tydelig i FISHSELECT-estimatene, der L99 for ei stiv maske er 20 % lavere enn L99 for ei slakk maske. Hvorvidt maskene i ei oppdrettsnot også er slakke, er ikke kjent, men det synes rimelig å anta maskene i enkelte områder av nota, f. eks. nær hoved- og løftetau vil være slakke. Ved håndtering av nota ved f.eks. notskift vil også notlinet i andre deler av nota tidvis kunne ha slakke masker. I en rømmingssammenheng er det derfor rimelig å betrakte maskene i ei oppdrettsnot som slakke. Forsøkene bekrefter at FISHSELECT gir realistiske estimat for L99 og at verktøyet kan brukes for å beregne L99 for vilkårlige maskestørrelse og maskefasonger.
De beregnede L99 verdiene for bergnebb for de to minste maskestørrelsene (26 og 30 mm nominell maskeåpning) viser at det ved utsett av bergnebb i samsvar med gjeldende minstemål (11 cm), kan det forventes en betydelig grad av rømming ved bruk av nøter med de nevnte maskeåpningene. Beregning med FISHSELECT (ligning 1) viser at maskeåpningen (reell maskeåpning, vått notlin) i nøter med kvadratmaskenotlin maksimalt kan være 25 mm dersom det skal unngås rømming ved utsett av bergnebb i samsvar med dagens minstemål (11 cm). For de to største maskeåpningene (40 og 50 mm nominell) var det ingen retensjon av bergnebb i trengingsforsøkene, men FISHSELECT-beregningene for slakk maske estimerte L99-verdien for 40 mm nominell maskeåpning til 17,8 cm. Nøter med disse maskeåpningene er derfor i oraksis ikke egnet til utsett av bergnebb,
For grønngylte kunne L99 ikke estimeres for 26 og 30 mm nominell maskeåpning. Det skyldes sammensetningen av forsøkspopulasjonen, hvor det manglet fisk i seleksjonsintervallet. For 26 mm nominell maskeåpning var det ingen rømming, og for 30 mm rømte kun den minste fisken i forsøkspopulasjonen (11,4 cm). Dette indikerer at L99 for den minste maskeåpningen er under 12 cm (gjeldende minstemål) og at den for 30 mm nominell maskeåpning er rundt 12 cm. Grønngylte fanget i samsvar med gjeldende minstemål kan derfor trolig brukes som rensefisk i nøter med disse maskeåpningene uten høy risiko for rømming. For nøter med en nominell maskeåpning på 40 mm eller mer, kunne L99 ikke beregnes på grunn av mangel på stor grønngylte i forsøkspopulasjonen. Største grønngylte som rømte i posen med 40 mm nominell maskeåpning hadde en lengde på 16,2 cm. Som et midlertidig råd anbefales derfor ikke utsett av fisk under 16 cm i nøter med nominell maskeåpning på 40 mm. For større nominelle maskeåpninger enn 40 mm anbefales ikke utsett av grønngylte, uansett størrelse. For å kunne gi en mer presis anbefaling for grønngylte bør det gjøres nye forsøk med grønngylte som dekker hele størrelsesspekteret for arten, inkludert stor fisk opp til 21 cm (Halvorsen et al. 2023). Betinget av finansiering av forsøkene, planlegges det å gjøre både FISHSELECT-beregninger og nye trengingsforsøk for grønngylte.
I FISHSELECT beregnes sannsynligheten for at en fisk fysisk kan passere gjennom en gitt maskeåpning. Det samme gjelder trolig trengingsforsøkene, ved at fisken ble stimulert til å rømme ved at volumet av notposen gradvis ble minket i trengingsprosessen. I en oppdrettsmerd er situasjonen annerledes. Her er det stort volum med skjul der fisken kan gjemme seg, mens det på utsiden av notveggen kun er frie vannmasser. Det kan også være predatorer på utsiden av merden (f.eks. sei, torsk og annen villfisk), som også demotiverer rømming. I uttesting av seleksjonsspalter i leppefiskteiner observerte vi ofte at småfisk som enkelt kunne ha rømt, ble værende i teina (Jørgensen et al, 2017). Anslagene for L99 i denne rapporten er derfor å betrakte som «verst tenkelige situasjon»-estimat når det gjelder rømming.
Innsamling av data for FISHSELECT-beregninger for en art er relativt arbeidskrevende og dermed kostbart. Fordelen med denne metoden er imidlertid at når slike data først er samlet inn, kan ønsket seleksjonsobservator (her L99 ) i ettertid beregnes både for andre maskeåpninger og andre maskeformer uten ytterligere forsøk. Oppdretter eller forvaltning kan derfor enkelt gjøre beregninger for den aktuelle maskeform og maskeåpning.
Det var stor individuell variasjon i kondisjonsfaktor og denne varierte også mellom forsøk. For grønngylte var gjennomsnittskondisjonen lavere ved sluttmålingen for to av tre forsøk, mens for bergnebb økte derimot kondisjonen i 5 av 6 forsøk. Det tyder på at bergnebb i større grad evner å legge på seg i fangenskap under oppdrettsbetingelser, og at rømmings-sannsynligheten antageligvis ikke vil øke med tiden for denne arten. Modelleringen viste at kondisjon i betydelig grad endrer retensjonssannsynligheten. Det var god spredning i individuell variasjon i forsøkene som lå til grunn for modellene, og vi vurderer resultatene til å være gyldige for å kunne trekke generelle konklusjoner for de artene, størrelsene og maskeåpningene som undersøkt.
Havforskningsinstituttet anbefaler at det innføres artsspesifikke bestemmelser for hvilke størrelser av grønngylte og bergnebb som kan brukes i nøter med ulike maskestørrelser. En konsekvens av dette kan være at oppdretterne reduserer maskestørrelsen, eller at de velger å kjøpe større leppefisk. Ved øking av minstemålet for bergnebb til f. eks. 13 cm vil en stor andel av bergnebbfangstene ikke kunne benyttes som rensefisk. Dette vil derfor ha store implikasjoner for tilgjengelig rensefisk av bergnebb. Bergnebb har en maksimalstørrelse på 21 cm (T. Larsen & K. Halvorsen; personlige observasjoner), men det er sjeldent å fange individer større enn 15 cm i Norge (Halvorsen m.fl. 2023). Endring i beskatningsmønsteret ved heving av minstemålet vil trolig over tid øke andelen stor fisk i populasjon, men dette avhenger av hvor stor andel naturlig dødelighet (M) utgjør av den totale dødeligheten for stor bergnebb. En mulig negativ konsekvens av økt minstemål er at en betydelig større andel av fangsten vil være undermåls fisk som må sorteres fra og gjenutsettes enn ved det som er dagens praksis, hvor andelen undermåls leppefisk er relativt lav. Det er manglende kunnskap om effekten av gjenutsetting for bifangst i leppefisket, samt hvordan bifangsthåndtering praktiseres i fiskeriet.
4.1 - Oppsummering av hovedresultater og Havforskningsinstituttets råd
Maskeseleksjon er bestemt av maskeåpning. Maskeåpning er et standardisert mål på maskestørrelse og bør benyttes i notsertifikat og veiledere.
Faktisk maskeåpning under oppdrettsbetingelser må benyttes når minstestørrelse for utsett skal beregnes. Polyamid notlin strekker seg når det blir vått og maskeåpningen for ubehandlet notlin er ca. 10 % større i våt enn i tørr tilstand.
FISHSELECT-prediksjoner ga godt samsvar med resultater fra trengingsforsøk. Med de beregnede relasjoner mellom maskeåpning og lengde ved 99 % retensjon (L99 ), kan anbefalt minstelengde ved utsett beregnes for en vilkårlig maskeåpning.
Små endringer i maskeåpning gir relativt store økninger i L99 for bergnebb. F. eks. vil en øking av maskeåpning med 5 mm gir en øking i L99 på 17-18 mm.
Stor forskjell i seleksjon mellom slakke og stive masker.
L99 for bergnebb i nøter med en nominell maskeåpning på 26 og 30 mm (mye brukte maskeåpninger i smoltnøter) ble estimert til hhv. 12,4 og 13,5 cm. For å unngå rømming, anbefales det derfor en øking av minstemålet fra dagens 11 cm til 13 cm, subsidiært bruk av nøter med en faktisk maskeåpning på 25 mm.
Uansett størrelse bør bergnebb ikke settes ut i nøter med de to største maskestørrelsene som ble testet i forsøket; 40 og 50 mm nominell maskeåpning.
Fiskens ernæringsstatus må hensyntas når minstelengde for utsett skal bestemmes. Modellprediksjon viste at en reduksjon i K fra 1,6 til 1,2 økte L99 med 0,84 cm.
Forsøkene indikerer at for 26 og 30 mm nominell maskeåpning ligger L99 for grønngylte nær gjeldende minstemål på 12 cm, men grunnet mangel på små fisk kunne en retensjonsmodell ikke tilpasses.
Det anbefales å utføre FISHSELECT- og trengingsforsøk for grønngylte og oppdrettsbergylte.
5 - Referanser
Bjordal, Å. og Mikkelsen, K.O. 1993. Sortering av leppefisk i høve til maskevidde. Havforskningsnytt Nr. 8-93
Brooks, M.E., Melli, V., Savina, E., Santos, J., Millar, R., O’Neill, F.G., Veiga-Malta, T., Krag, L.A. og Feekings, J.P. 2020. Introducing selfisher: open source software for statistical analyses of fishing gear selectivity. Canadian Journal of Fisheries and Aquatic Sciences, 79(8): 1189-1197. DOI: 10.1101/2020.12.11.421362 .
Faust, E., Jansson, E., André, C., Halvorsen, K.T., Dahle, G., Knutsen, H., Quintela, M. & Glover, K.A. 2021. Not that clean: aquaculture mediated translocation of cleaner fish has led to hybridization on the northern edge of the species’ range. Evolutionary Applications 10.1111/eva.13220.
Foneyne, R., Buglioni, G., Leonori, I., O’Neill, F.G. og Fryer, R.J.20 07. Laboratory and field trials of OMEGA, a new objective mesh gauge. Fisheries Research, 85(1-2):197-201.
Føre, H.M. og Gaarder, R.H. 2018. RobustNot. Dokumentasjon av mekaniske egenskaper og dimensjoner til notlin i oppdrettsnøter. Sintef Ocean AS. Rapport 2018:00971.
Halvorsen, K, Jørgensen, T,, Ruud, M.M. og Skiftesvik, A.B. 2023. Kunnskapsstøtte og råd for regulering av fisket etter leppefisk i 2024. Rapport fra havforskningen 2023-59.
Jansson, E., Quintela, M., Dahle, G., Albretsen, J., Knutsen, H., André, C., Strand, Å., Mortensen, S., Taggart, J.B., Karlsbakk, E., Kvamme, B.O., Glover, K.A. 2017. Genetic analysis of goldsinny wrasse reveals evolutionary insights into population connectivity and potential evidence of inadvertent translocations via aquaculture. ICES Journal of Marine Science. doi:10.1093/icesjms/fsx046
Jørgensen, T., Bjelland, R., Halvorsen, K., Durif, C., Shema, S., Larsen, T., Thompson, T. og Anne Berit Skiftesvik, A.B. 2017. Seleksjon i leppefiskredskap. Nytt fra Havforskningen, 32-2017. ISSN 1893-4536 (online).
Karsen, L. 1989. Redskapsteknologi i fiske. 3. opplag. Universitetsforlaget, Oslo. ISBN 82-00-43175-4.
Moe, M. & Ildhusøy, E. 2006. Rømming av Leppefisk i forhold til Maskevidde på Not. Kandidatoppgave ved Høgskolen i Ålesund, 23 sider.
Prado, J. and Dremière, P.Y. 1990. Fisherman’s workbook. FAO, Rome. Fishing News Books, Oxford, UK.
Reeves, S. A., Armstrong, D. W., Fryer, R. J., and Coull, K. A. 1992. The effects of mesh size, cod-end extension length and cod-end diameter on the selectivity of Scottish trawls and seines. - ICES J. mar. Sci., 49: 279-288
Seljestad, G.W., Quintela, M., Faust, E., Halvorsen, K.T., Besnier, F., Jansson, E., Dahle, G., Knutsen,H., Andre, C., Folkvord, A. & Glover, K.A. 2020. “A cleaner break”: Genetic divergence between geographic groups and sympatric phenotypes revealed in ballan wrasse ( Labrus bergylta ). Ecology and Evolution, 10(12): 6120-6135. https://doi.org/10.1002/ece3.6404.
Sistiaga, M., Herrmann, B. og Jørgensen, T. 2021. Prediction of goldsinny wrasse ( Ctenolabrus rupestris ) minimum size required to avoid escape through salmon ( Salmo salar ) farm nets. Aquaculture, 543. https://doi.org/10.1016/j.aquaculture.2021.737024.
Wileman, D.A., Ferro, R.S.T., Fonteyne, R., Millar, R.B. (Eds.) 1996. Manual of methods of measuring the selectivity of towed fishing gears. ICES Cooperative Research Report, 215. ICES: Copenhagen. 126 pp.Woll, A., Solevåg, S.E., Hansen Aas, G., Bakke, S., Skiftesvik, A.B. og Bjelland, R. 2013. Velferd leppefisk i merd. Rapport fra Møreforsking, rapport MA 13-07, 30 sider + vedlegg. https://www.moreforsk.no/publikasjoner/rapporter/marin/velferd-leppefisk-i-merd/1074/1156/.
6 - Appendiks
APPENDIKS 1. Oversikt over fagtermer for maskestørrelse.
I både dagligtale og faglitteratur benyttes det flere forskjellige betegnelser og målemetoder for å angi størrelsen på masker. For definisjonene under har vi benyttet norske ISO standarder for definisjon av maskeåpning og maskelengde, FAO-litteratur (FAO Fisherman’s Workbook) og norsk faglitteratur (Karlsen 1989)
Halvmaske : Avstanden mellom midtpunktene av to påfølgende knuter eller sammenføyninger. For firkantmasker er halvmaske identisk med maskeside og stolpelengde. To halvmasker utgjør en helmaske.
Helmaske : Avstanden mellom midtpunktene på to motstående knuter i en strukket maske i N-retning. Identisk med maskelengde.
Maskeåpning (eng. Opening of mesh): Største innvendige avstand mellom to motstående knuter i en strukket maske i N-retning (NS-EN-ISO 16663-1:2009; ).
Maskelengde (eng. Length of mesh): Avstanden mellom midtpunktene på to motstående knuter i en strukket maske i N-retning (ISO 16663-2:2003). I FAO Fisherman’s Workbook brukes betegnelsen Stretched mesh om maskelengde.
Maskeside: Standardisert mål definert somt rettlinjet senteravstand mellom to påfølgendeknuter/sammenføyninger (NS-9415: 2021). Identisk med halvmaske og stolpelengde for firkantmasker.
Maskestørrelse : Generelt begrep om størrelsen på masker, jfr. maskevidde.
Maskevidde : Et generelt begrep om størrelsen på masker (NS-EN-ISO 16663-1:2009, ISO 16663-2:2003). Høstingsforskriften (Forskrift om gjennomføring av fiske, fangst og høsting av viltlevende marine ressurser, §2, andre ledd) bruker maskevidde om det som i NS-EN-ISO 16663-1:2009 er definert som maskeåpning.
Omfar: Antall halvmasker på en alen (627,4 mm).
Stolpelengde ( eng. Bar length): Avstanden mellom midtpunktene av to påfølgende knuter/sammenføyninger. Identisk med halvmaske og maskeside for firkantmasker.
APPENDIKS 2. Testrapporter for notlinet brukt i forsøksposene.