Gå til hovedinnhold

Afrikansk fisk er rik på mange viktige næringsstoffer

Sardiner, ansjos, hestmakrell og sølvpagell er populære arter langs den afrikanske kysten. En ny studie viser at disse artene er fulle av viktige mineraler og vitaminer, spesielt når fisken spises hel.

– Alle artene inneholdt viktige vitaminer, mineraler og fettsyrer, både de små fiskene som spises hel og de større artene der kun fileten spises, sier forsker Inger Aakre.

Prøvene ble tatt langs kysten av Nordvest-Afrika på tokt med «Dr. Fridtjof Nansen» i mai 2017. Sardiner, ansjos, hestmakrell og sølvpagell er alle arter som er populære blant lokalbefolkningen, i tillegg til at de er lett tilgjengelige.

Men en oversikt over næringsstoffer i lokal fisk har ikke vært tilgjengelig før nå. 

– Generelt sett vet vi lite om næringsstoffer fra det hele afrikanske kontinentet. De har lokale oversikter tilsvarende Matvaretabellen her i Norge, men over 90 prosent av disse verdiene er lånt fra andre land, som for eksempel USA, sier Aakre.

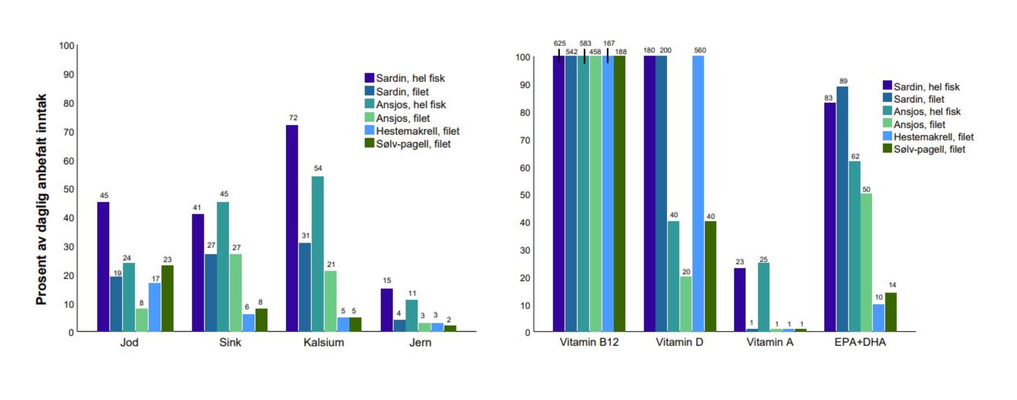
Hel sardin er mest næringsrik

I analysene var det sardin som utpekte seg som den mest næringsrike fisken, og spesielt når den spises hel.

100 gram hel sardin inneholdt 45 prosent av det anbefalte daglige inntaket for jod, 41 prosent for sink, 72 prosent for kalsium og 15 prosent for jern. Til sammenligning var disse tallene 19 prosent, 27 prosent, 31 prosent og 4 prosent når kun fileten ble analysert.  

– Alle fiskeslagene er gode kilder til det viktige vitamin B12, og sardin og hestmakrell er i tillegg veldig gode kilder til vitamin D, sier Aakre.

 

Figurene viser næringsinholdet i de ulike artene, og hvor mye 100 gram av de ulike fisketypene bidrar til det daglige anbefalte inntaket. 

Mye vitamin A i fiskeøyne

Både sardiner og ansjos er arter som ofte tilberedes og spises hele i flere afrikanske land. Og det var kun hel fisk av sardiner og ansjos som inneholdt mye vitamin A. 

Sardin som ble analysert som hel fisk inneholdt 20 ganger mer vitamin A enn fileten fra alle de fire artene.

– Det er nok fordi vitamin A sitter i øyet og i leveren. Når fisken spises hel med bein, hode og innvoller, vil dette også føre til mer næringsstoffer, sier Aakre.

Hel sardin og ansjos inneholdt også tre ganger så mye jern og kalsium.

– Både mangel på vitamin A og jernmangel er utbredte sykdommer i utviklingsland, og blant de vanligste mangelsykdommene på verdensbasis, sier Aakre.

 

Fisken ble sortert og bearbeidet før den ble sendt til HIs laboratorier for analyse. Foto: Annbjørg Bøkevoll/HI. 

 

Fikk hjelp av lokalbefolkningen

Toktet i mai 2017 var det første i Nansenprogrammet der lokal fisk skulle fiskes og deretter analyseres for næringsstoffer.

– Dette var helt i starten og vi visste ikke hva vi kom til å finne, eller hva som var de vanligste artene i disse områdene, til tross for at vi planla på forhånd, forteller Annbjørg Bøkevoll.

Hun er leder for næringsstofflaboratoriet, og sammen med kollega Anette Kausland var hun ansvarlig for prøvetakingen og forbehandlingen som ble gjort av fisken om bord. Deretter ble fisken sendt til Havforskningsinstituttet for videre analyser av næringsstoffer.

Med på toktet var også lokale forskere og studenter som hjalp til med og fikk opplæring i å sortere, veie, måle og artsbestemme fisken.

– Etter hvert fikk vi opp veldig mye fangst, og kunne derfor spørre de lokale om dette var arter som var vanlig å spise, og ikke minst hvordan disse ble tilberedt. Det var nyttig kunnskap å ha med seg, sier Bøkevoll.

Og med hjelp fra lokalbefolkningen fikk de raskt etablert rutiner og prosedyrer for uttak og forbehandling av fisken, noe som ble nyttig for de neste toktene. 

 Sortering av fangsten om bord. Foto: Reidar Toresen/Havforskningsinstituttet

Kan bidra til å nå bærekraftsmål

I dag er det rundt 800 millioner i verden som ikke har nok mat, og rundt 2 milliarder mennesker som har et kosthold med for lite mikronæringsstoffer, slik som for eksempel jod, vitamin A, sink og jern.

En slik mangel på viktige vitaminer og mineraler kalles for skjult sult. Dette er ikke alltid like lett å se, men skjult sult kan gi varige og uopprettelige helseskader.

– Derfor er denne studien veldig viktig for mange utviklingsland, der mange lider av ernæringsmangel. Det er også viktig for FNs bærekraftsmål om å bekjempe sult, sier Aakre.

 

Referanse: 

Aakre, I., Bøkevoll, A., Chaira, J., Bouthir, F. Z., Frantzen, S., Kausland, A., & Kjellevold, M. (2020). Variation in Nutrient Composition of Seafood from North West Africa: Implications for Food and Nutrition Security. Foods9(10), 1516.

Lenke: https://doi.org/10.3390/foods9101516

 

Reksten, A. M., Bøkevoll, A., Frantzen, S., Lundebye, A. K., Kögel, T., Kolås, K., ... & Kjellevold, M. (2020). Sampling protocol for the determination of nutrients and contaminants in fish and other seafood–The EAF-Nansen Programme. MethodsX7, 101063.

Lenke: https://doi.org/10.1016/j.mex.2020.101063