Gå til hovedinnhold

Lakselusinfestasjon på vill laksefisk langs Norskekysten i 2025

— Sluttrapport til Mattilsynet

Sammendrag

Årlig undersøker Havforskningsinstituttet sammen med NINA og NORCE omfanget av lakselus på vill laksefisk langs kysten. Påslaget av lakselus på utvandrende postsmolt av laks undersøkes ved tråling i 5-6 fjorder. Infestasjonen av lakselus på sjøørret og sjørøye undersøkes på ruse- og garnfanget fisk i alle produksjonsområdene. I tillegg undersøkes fordelingen av lus i enkelte fjorder ved å sette ut oppdrettssmolt i små lukkede merder (vaktbur) i enkelte fjorder. Data fra overvåkingen publiseres på nmdc.no.

Tråldata viser moderat infestasjon av lakselus på vill utvandrende postsmolt av laks i Boknafjorden (PO2), høy i Hardangerfjorden (PO3), moderat i Sognefjorden (PO4), og lav i Romsdalsfjorden (PO5). Fanget antall laks var svært lavt i både Sogne- og Romsdalsfjorden, og det knyttes derfor stor usikkerhet til estimatene fra disse to fjordene. I Altafjorden (PO12) estimeres lav lakselusrelatert dødelighet på trålt postsmolt laks. I flere av fjordene var det variasjoner både i forhold til når fisken ble fanget og mellom regioner fisken utvandret fra. For Boknafjorden er dødelighetsestimatene høyere enn i fjor, men omtrent som estimert for 2022-2023, mens i Hardangerfjorden er estimatene omtrent som i 2023-2024. For Altafjorden er estimatene omtrent som observert i tidligere år. Trålingen gjøres i de ytre delene av fjordene, men dekker ikke hele vandringsruten. I tillegg forventes det tap av lus ved fangst og håndtering av fisken. Estimatene er derfor trolig underestimater.

Ruse og garndata indikerer at det er mer lus på sjøørret og sjørøye enn for laksen. Sjøørret og sjørøye står i fjordene og langs kysten lenge etter at laksen har utvandret, og perioden det fiskes dekker ikke hele denne perioden. Sammenholder en hvor stasjonene ligger med beregnet tetthet av smittsomme lakselus, indikerer dette at stasjonene dekker områder med både høyere og lavere smittepress enn andre områder. Helt overordnet observeres det at det er så mye lus at det estimeres mer enn 30% dødelighet (høy) på en eller flere stasjoner i alle produksjonsområdene fra Ryfylke i PO2 til Kvaløya i PO11. I de øvrige (PO1, PO12 og PO13) estimeres det mindre enn 10% dødelighet (lav) på alle de undersøkte stasjonene.

Vaktburene ble satt ut i Hardangerfjorden, samt to bur i Austevoll, i 2 runder fra 27. mai til 26. juni. Data fra første runden indikerer et høyt smittepress i midtre deler av Hardanger samt på begge burene i Austevoll. I siste halvdel av juni indikerer antall lus på fisken i vaktburene et relativt lavt smittepress i både Hardangerfjorden og i de to burene ved Austevoll. 

1 - Innledning

Lakselus er en ektoparasitt som lever av slim, skinn og blod til laksefisk. Er antall lakselus høyt vil dette påvirke verten negativt. Spredning av lakseluslarver fra oppdrettslaks kultivert i åpne merder i sjøen øker risiko for lusepåslag på vill laksefisk i området. For å estimere smittepresset av lakselus på vill laksefisk undersøkes lusepåslag på ruse- og garnfanget sjøørret og sjørøye i alle produksjonsområdene, samt at det tråles etter utvandrende postsmolt av laks i 5 fjorder. I tillegg undersøkes smittepresset ved hjelp av vaktbur.

Denne overvåkingen utføres av Havforskningsinstituttet sammen med NORCE og NINA i den nasjonale overvåkingen av lakselus på vill laksefisk (NALO). Prosjektet er finansiert av Nærings- og fiskeridepartementet og Mattilsynet (OK program 99956827 lakselusovervåkning). Denne rapporten oppsummerer resultatene av disse undersøkelsene i 2025.

På slutten av denne rapporten har vi sensitivitetstestet noen av forutsetningene som ligger til grunn for beregning av lakselusindusert dødelighet. Dette gjelder tålegrenser, hvor vi har testet effekten av å halvere og doble toleransen til sjøørret/røye (vedlegg A) og laks (vedlegg B), og har i tillegg vist effekten av å redusere materialet fra ruse og garnfangst av sjøørret/røye til bare å omfatte fisk < 150 g (Vedlegg C).

Vurderingene er bygget rundt to usikkerhetskilder, en er den statistiske usikkerheten, den andre er i hvilken grad vi vurderer at tidsperiode og sted for fangsten er representativ for området. Den statistiske usikkerheten er vist ved konfidensintervaller. De konfidensintervallene vi presenterer i denne rapporten angir hvor vi med 95% sannsynlighet ville vært om vi hadde gjentatt prosedyren fra første gang. Denne typen usikkerhet tar med andre ord ikke innover seg usikkerheten skapt ved at en antar at en har fanget fisk representativt i tid og rom. For å vurdere denne usikkerheten, har vi vurdert tidsrom fisket har foregått i forhold til antatt tid for utvandring. Denne siste er basert på Appendiks I b «Utvandringstidspunkt for laksesmolt i Norge ved vurdering av lakselusindusert dødelighet på smolt av villaks» til ekspertgrupperapporten. Datoene er oppgitt som snitt av midtpunkt (dvs. når 50% av elvebestanden har utvandret) for alle elvene i produksjonsområdet, elvene ikke vektet i forhold til deres teoretiske smoltproduksjon.

2 - Gjennomføring av overvåkingen

Årlig gjennomføres en undersøkelse av lakselus på vill laksefisk basert på fangst av sjøørret og sjørøye med garn og ruse i alle 13 produksjonsområdene. I en tidligere periode var prøvefisket delvis basert på en dynamisk tilnærming hvor en brukte Havforskningsinstituttets hydrodynamiske spredningsmodell for å indikere områdene med høyest smitte, og disse områdene ble da undersøkt. Tilsvarende ble det valgt kontrollområder hvor modellen indikerte lavt smittepress. I de senere år er alle stasjonene valgt uavhengig av estimert smittepress, og er stort sett faste stasjoner. I hvilken grad stasjonene er representative for smittepresset i produksjonsområdet er vurdert i forhold til estimert smittepress basert på den hydrodynamiske smittemodellen og estimert utvandringstid for laksen. Ruse og garnfangst er tidligere gjennomført i to perioder hvor den første undersøkelsen tas rett i etterkant av median dato for smoltutvandringen i produksjonsområdet. Dette for å fange opp eventuelt smittepresset den utvandrende laksesmolten utsettes for. Den andre perioden gjennomføres litt senere med mål om å fange opp eventuelle problemer hos beitende sjøørret og sjørøye som følge av lakselus utover sommeren. I 2025 er ruse og garnfangst de aller fleste steder redusert fra to til en undersøkelse per stasjon. Tidspunktet for undersøkelsen er lagt til tidsrommet mellom tidligere periode en og periode to. Dette gir mulighet til både å observere eventuelt smittepress for utvandrende laks ved hjelp av observerte lusestadier på fisken. Samtidig vil undersøkelsen være tilstrekkelig sent til å kunne dokumentere eventuelle problemer hos beitende sjøørret og sjørøye. Endringen gjør overvåkingen mer sårbar da et mindre tidsrom undersøkes. Samtidig er det lagt inn noen flere stasjoner i den nordligste delen av landet som øker den geografiske dekningen noe fra tidligere år. Enkelte stasjoner er i tillegg overvåket sammenhengende over en lengre periode for i større grad kunne bruke dataene for å vurdere når (om) økningen i smittepresset observeres. Dette er viktig da en av responsene til sjøørret som opplever smittepress fra lakselus er å oppsøke ferskvann. Dette vil da medføre at smittepresset observert utover sesongen kan ha blitt påvirket av at luseinfestert fisk ikke lenger befinner seg i de områdene der prøvefisking foregår, og at denne gruppen blir derfor underrepresentert i ruse og garnfangsten.

I 2025 er det fanget postsmolt ved tråling i 5 fjordsystemer (Boknafjorden, Hardangerfjorden, Sognefjorden, Romsdalsfjorden og Altafjorden). Trålingen starter noe før og varer til etter forventet periode for median utvandring av postsmolt av laks i området, og foregår i ytre del av fjordsystemene for å fange opp det akkumulerte smittepresset postsmolten har opplevd. Smittepresset helt ytterst ved kysten fanges ikke opp. En andel av den trålfangete fisken er tilordnet til hjemelv ved hjelp av genetiske metoder.

Den siste metoden som benyttes er bruk av vaktbur hvor det settes ut ca. 30 oppdrettssmolt i hvert bur som står ute i fjordsystemene i 2 uker før de blir erstattet med ny fisk for en ny runde. Burene er posisjonert for å fange opp smittepresset laks som vandrer nær overflaten opplever. Burene brukes for å sammenligne smittepress i tid og rom, samt for å verifisere modellene laget for å predikere smittepress av lakselus. I 2025 er det gjennomført to serier á 14 dager i Hardangerfjorden og i Austevoll, begge i PO3.

Denne rapporten summerer dataene fra 2025, og er i stor grad basert på data innsamlet gjennom NALO (Figur 1), samt modellert overvåking av lakselus vha. Havforskningsinstituttets koblede biologisk-hydrodynamiske spredningsmodell for lakselus (www.lakselus.no). Modellert smittepress samt utslipp av lus i de enkelte produksjonsområdene omtalt i denne rapporten er presentert i appendiks “Modellert påvirkning av lakselus på vill laksefisk - Havforskningsinstituttet” til ekspertgrupperapporten.

Norgeskart som viser posisjonene.
Figur 1. Områder hvor de ulike metodene i NALO ble gjennomført i 2025. Posisjonene er veiledende.

 

2.1 - Metodene benyttet

2.1.1 - Tråling etter postsmolt laks og sjøørret

Til trålingen benyttes en pelagisk overflatetrål, ca. 35 m bred og 5 m dyp. Det tråles primært i de ytre delene av fjordene på dagtid med 2-4 knop, både med og motstrøms. Det er montert en skillerist i trålen for å separere smolten inn i et akvarium for å redusere skjell- og lusetap. Effektiviteten til denne varierer, og analysene inkluderer normalt også fisk som ikke har blitt sortert til akvariet. Fanget fisk avlives individuelt og lus i de ulike stadiene telles umiddelbart. Fiskens lengde og vekt registreres, og det tas skjellprøver samt vevsprøver til genetisk sporing. All lusetelling utføres av kvalifisert personell som har bestått kurs i artsidentifikasjon, bestemmelse av lusens utviklingsstadium og telling av lakselus.

I 2022 ble det testet ut å bruke kortere hal i Sognefjorden, og startposisjon og retning ble forhåndsbestemt ved å velge ut tilfeldige posisjoner i ett gitt område av fjorden. Det ble trålt fra startposisjon i retning av neste startposisjon. Da det er vanskelig å stadfeste nøyaktig når og hvor fisken fanges i løpet av et trålhal, er trålhalene redusert til ca. 30 minutter for å bedre kunne posisjonere fangsten i tid og rom. I 2023 og 2024 ble annet hvert hal utført med den nye metoden, mens i 2025 er alle trålhalene gjennomført med den nye metoden.

Selv om trålfangstene tas primært i de ytre delene av fjordene, blir fisken uansett alltid fanget før den har fullført vandringen i fjordene og langs kysten. Antall lakselus på fisken kan derfor være underestimater på den totale lusemengden smolten får på seg i løpet av vandringen fra elvemunning til åpent hav. I tillegg tapes det trolig lus i forbindelse med håndteringen av fisk, særlig de minste lusestadiene som er stort sett de eneste som finnes på postsmolten, noe som kan føre til ytterligere underestimering av antall lakselus.

Selektiviteten til trålredskapet er vurdert med tanke på i hvilken grad det fanger opp et representativt utvalg av fisken, dvs. fisk med representativ størrelse, luseinfestasjon, samt at de ulike elvene i hvert produksjonsområde er representert. Det har vært diskutert at laksesmolt smittet med lus kan ha en avvikende atferd ved at de svekkes, bryter stimstrukturen og dermed fanges lettere i trålen enn fisk som ikke er infestert. Oss bekjent er det ikke rapportert undersøkelser av adferd til luseinfisert versus ikke infisert fisk. Svømmeevnen til luseinfisert fisk er derimot undersøkt i flere studier. Effekten av lus på laksens kritiske svømmehastighet (et mål på maksimal svømmehastighet og utholdenhet) har vist at infestert laks har noe lavere verdier (Wagner mfl. 2003), og at det er en økende effekt også for de tidligste stadiene av lus med økende infestasjon (Bui mfl. 2016). Om de relativt små forskjellene har noen praktisk betydning i forhold til trålunnvikelse vites ikke. I ett nyere arbeid er det også vist at metabolsk rate er høyere for luseinfisert fisk, trolig relatert til økte kostnader ved osmoregulering og mobilisering av immunforsvaret (Hvas & Bui 2022). På den andre siden kan de samme forholdene øke risikoen for predasjon. Dette kan bety at laks infestert inne i fjordene kan ha en høyere risiko for predasjon, og derfor bli underrepresentert i trålfangstene.

Havforskningsinstituttet har utviklet en metode for å bestemme hvilken elv den trålfangete laksen kommer fra (Harvey mfl. 2019). Dette gir oss anledning til å vurdere effekten for enkelte elver. Metoden er ikke i stand til å bestemme opprinnelse til all laksen, og andelen som kan bestemmes varierer i de ulike fjordene det tråles.

Bare vill laksesmolt med vekt mindre eller lik 50 g benyttes i analysene. All merket laksesmolt som ikke med sikkerhet kan sies å være villfisk ekskluderes, da dette kan være utsatt kultivert fisk eller fisk som inngår i forsøk. Videre er fisk som døde i trålen ekskludert fra analysene, ettersom det er usikkert når og hvor de faktisk ble fanget. Tidligere har vi satt grensen for inkludering av laksesmolt ved 100 g, men grunnet usikkerhet knyttet til utsett av kultivert fisk har vi satt denne grensen lavere. Dette har ingen reell betydning for de vurderingene som er gjort (jfr. appendiks II til ekspertgrupperapporten fra 2021).

Ved undersøkelsen av lakselus registreres også voksne skottelus, men disse inngår ikke i vurderingene og presenteres derfor ikke i tabeller eller figurer. Mobile lus utgjør imidlertid bare en liten andel av all lus som registreres på fisken. Dette skyldes at, gitt tidspunktet for prøvetakingen, har postsmolten sannsynligvis oppholdt seg i det marine miljøet i en svært kort periode. Det er derfor lite sannsynlig at de mobile stadiene av lus har utviklet seg på postsmolten selv i løpet av denne tiden.

De tidligste utviklingsstadiene av lakselus og skottelus er morfologisk svært like og lar seg vanskelig skille ved feltundersøkelser, men kan artsbestemmes ved hjelp av PCR-analyser. Forekomsten av både mobile og fastsittende stadier av skottelus på utvandrende postsmolt laks er undersøkt basert på trålfangster fra seks fjorder i perioden 2022–2024. Totalt ble det talt lus på 3 895 postsmolt, med 12 329 lus registrert til sammen. Av disse var 97 % fastsittende stadier. Kun 6 % av fiskene hadde mobile lus, og mindre enn en tredel av disse var skottelus. Av lus i de fastsittende stadiene som ble artsbestemt ved hjelp av PCR, ble 98 % identifisert som lakselus. Dataene er under publisering (Strøm et al. 2025, akseptert).

Data fra postsmolttråling publiseres på nmdc.no.

2.1.2 - Vaktbur

Vaktbur er ca. 1 m 3 store lukkede merder som henger fra 0,5-1,5 m dybde (Bjørn mfl. 2011). Vaktburene er forankret på bunn, og henger fra blåser rett under overflaten. I burene settes ca. 30 oppdrettete laksesmolt som står ute i omtrent 14 dager før fisken tas ut og lus telles. De senere årene er det satt ut i 17-18 vaktbur i hvert fjordsystem på faste stasjoner hvor de er ment å fange opp smittepresset i systemet. Oppdrettsmolten som benyttes er betydelig større enn villsmolt, og smittepresset vurderes derfor ut ifra antall lus per fisk, og ikke antall lus per gram fiskevekt.

Dataene presenteres som verdier normalisert til 14 dager ved å beregne påslag/dag. Dette medfører at hvis burene har stått ut kortere enn 14 dager, legges det til lus, og motsatt om burene har stått ute lengre. Dette betyr lite for presenteringen av data som bare er delt i 3 kategorier, og de senere årene avviker tidsperioden oftest med mindre enn en til to dager.

Undersøkelser indikerer at det er mest lus i de øverste vannlagene, og siden vill utvandrende postsmolt laks oftest svømmer på 1-3 m dybde fanger burene opp smitte på denne dybden. Hvis området er sterkt influert av ferskvann, noe lakselus vil unngå, vil dette reflekteres i lusepåslagene i vaktburene. Burene dekker normalt ikke de midtre delene av fjorden, burene representerer derfor smittepresset relativt nært land.

Påslag vil variere med transport av vann gjennom buret da fisken er låst i tid og rom. I naturen vil fisk bevege seg og kontakten mellom fisk og lus er trolig høyere. Det er gjort undersøkelser av variasjon i påslag av lakselus i burene ved å sette to og to bur sammen like ved siden av hverandre (50-100 m avstand) i indre og ytre deler av Hardangerfjorden i 2010, totalt 13 slike par. I 7 av disse parene var infestasjonen nær 0, mens i de burene hvor det var lus på fisken det var en signifikant forskjell i 4 av settene (Bjørn mfl. 2011). Årsaken til denne forskjellen kan skyldes lokale strømmer, begroing av bur som reduserer gjennomstrømmingen, ulik atferd til fisken i burene eller annet. Lus kan også skrapes av på notveggen i burene, og det tapes sannsynligvis lus både i opptak av fisk fra burene og i bedøvelsen. Det er nylig vist at lusepåslaget på fisk i vaktbur ved et gitt smittepress beregnet med Veterinærinstituttets modell, er rundt 90 prosent lavere enn lusepåslaget på trålfanget vill postsmolt av laks ved det samme smittepresset (Stige et al., 2022).

Resultatene fra vaktburene brukes primært for å synliggjøre smittepresset i tid og rom, og ikke som et direkte estimat av infestasjonen på villfisk.

2.1.3 - Ruse og garnfiske

Det foretas prøvefiske av sjøørret og sjørøye med ruse og garn i alle produksjonsområdene. Ruse er det foretrukne redskap. Rusene er utstyrt med ledegarn som strekker seg fra land og leder fisken ut til ett fangskammer hvor fisken fanges levende. Fangstkammeret står 30-50 m fra land, med toppen nær overflaten. Rusene sjekkes minst en gang i døgnet. Fiskene løftes over i kar med bedøvelse, fiskens lengde og vekt registreres, og lus i de ulike stadiene telles. Etter oppvåkning fra bedøvelse settes fisk tilbake i sjøen ved fangststed. Garnfiske supplerer rusene der rusefiske er utfordrende, slik som områder med sterk strøm eller stor tidevannsforskjell. Garnene som benyttes er 25 m lange, 1,5-2,5 m dype monofilament flytegarn med maskevidder fra 17-26 mm, som settes fra land og utover. Garnene røktes mens fisket pågår for å unngå at fisken dør i garnene da mobile lus kan hoppe av om verten dør. Fisk som fanges klippes skånsom ut av garnet og lus i de ulike stadiene telles umiddelbart. Fiskens lengde og vekt registreres. Alle som utfører lusetellinger har bestått kurs i artsidentifikasjon, stadiumbestemmelse og telling av lakselus.

Representativitet til fangstene er vurdert med tanke på at alle redskaper som benyttes for å fange fisk er selektive, og kan påvirke utfallet av de målingene som foretas. Både garn og ruser er passive redskaper hvor fangsten påvirkes av svømmeaktiviteten til fisken. Lus kan påvirke svømmeaktiviteten til infisert fisk, og infisert fisk holder seg også mer i brakkvann. Infestert fisk har en preferanse for lavere saltholdigheter, og tenderer derfor til enten å returnere til elv, eller forbli i brakkvannsområdet i estuariet. Siden det ikke fiskes i disse områdene, kan luseinfestert fisk bli underestimert i fangstene. I tillegg kan svært lusesmittet fisk dø, og er da ikke lenger er tilgjengelig for fangst, som igjen da kan medføre at fangsten underrepresenterer smittepresset. Til sist, luseinfestert fisk som oppsøker ferskvann for å kvitte seg med lus kan vandre ut igjen i fjorden etterpå hvor de kan bli fanget, og derfor maskere det reelle smittepresset fisken har opplevd. Derfor anser vi at luseinfestasjonene målt på fangstet fisk i ruse og garn vil være minimumsverdier.

Ruse har den fordelen at fisken fanges levende, og at den ikke setter seg fast i garnmasker. Tap av lus er generelt mindre, og sammenligninger indikerer at antall lus på rusefanget sjøørret er høyere enn på garnfanget (Grøn 2016). Vi har valgt å utelukkende benytte tellinger av fisk i felt da sammenligninger indikerer ett betydelig tap av lus, spesielt de minste stadiene, på fisk som er frosset og tas inn til lab for telling av lus. Undersøkelser indikerer at en andel av de minste stadiene av lus på sjøørret og sjørøye er skottelus. Disse kan vanskelig skilles fra lakselus, og selv om en vanligvis får økte tettheter med skottelus ( Caligus elongatus ) på oppdrettsfisk først utover høsten, kan det medføre at spesielt i nordlige fylkene overestimeres antall lakselus. Foreløpige data kan indikere at innslaget av skottelus i de fastsittende stadiene utgjorde opptil 12 % i de nordlige fylkene (Elvik mfl. 2016).

I tidligere risikovurderinger av oppdrett (Svåsand mfl. 2016), har lakselus på sjøørret mindre enn 150 gram fanget rett etter forventet median smoltutvandring blitt brukt som en indikator på potensielle effekter på utvandrende laksesmolt. I et nylig arbeid ble lakselussmitte på sjøørret og laksesmolt fanget samtidig i trål de siste 10 årene studert for å evaluere hvor god en slik tilnærming er til å forutse mengder lus på laksesmolt, dvs. om det er en korrelasjon mellom lus på sjøørret og laksesmolt. Studiet tilsier at det er en klar sammenheng mellom smittepresset på de to artene, men at det generelt sett er mindre lus på laksesmolt enn på sjøørret (Vollset mfl. 2017). Laks og sjøørret viser liten forskjell i mottakelighet for lus (Dawson mfl. 1997, Bui mfl. 2017). At det er mer lus på sjøørret enn laks kan derfor skyldes at ørret normalt oppholder seg mer litoralt enn laksen, og at en antar at det er mer lus langs land enn midtfjords, eller at sjøørreten har utvandret tidligere fra elven og derfor opplevd en lengre periode med smittepress.

Vi vurderer derfor at lakselus på sjøørret ikke kan brukes til å direkte estimere lakselusindusert dødelighet på laksesmolt, men i tilfeller der det observeres store mengder lus på sjøørret er dette en klar indikasjon på at også utvandrende laksesmolt er mer utsatt for lusesmitte i et gitt område.

2.2 - Estimering av smittepress og dødelighet

Vurderingene er bygget rundt to usikkerhetskilder, en er den statistiske usikkerheten, den andre er i hvilken grad vi vurderer at tidsperiode og sted for fangsten er representativ for området. Den statistiske usikkerheten er vist ved konfidensintervaller. De konfidensintervallene vi presenterer i denne rapporten angir hvor vi med 95% sannsynlighet ville vært om vi hadde gjentatt prosedyren fra første gang. Denne typen usikkerhet tar med andre ord ikke innover seg usikkerheten skapt ved at en antar at en har fanget fisk representativt i tid og rom. For å vurdere denne usikkerheten, har vi vurdert tidsrom fisket har foregått i forhold til antatt tid for utvandring. Tid for utvandring er basert på Appendiks I b «Utvandringstidspunkt for laksesmolt i Norge ved vurdering av lakselusindusert dødelighet på smolt av villaks» til ekspertgrupperapporten. Datoene er oppgitt som snitt av midtpunkt (dvs. når 50% av elvebestanden har utvandret) for alle elvene i produksjonsområdet, elvene ikke vektet i forhold til deres teoretiske smoltproduksjon.

I denne rapporten er alle infeksjonsparametere beregnet og beskrevet etter anbefalinger fra Rozsa mfl. (2000) for presentasjon av kvantitative parasittologiske data. Prevalens refererer til andelen av fisken som har lus, og er oppgitt med 95 % konfidensintervall basert på binomisk fordeling (Bush mfl., 1997). Intensitet referer til gjennomsnittlig antall lus på infisert fisken, og er oppgitt med 95% konfidensintervall beregnet med BCa (bias-corrected and accelerated) bootstrap som anbefalt av Efron & Tibshirani (1993). Analysene er normalt gjort basert på alle lusestadier.

Sannsynlighet for at et individ dør eller er negativt påvirket av lakselus er avhengig av antall lus fisken har, og hvor stor fisken er. I dag brukes antall lus per gram fiskevekt (relativ intensitet) for å estimere sannsynlighet for at et individ dør på grunn av lakselus, såkalte tålegrenser eller grenseverdier. I denne rapporten benyttes grenseverdiene beskrevet i Taranger mfl. (2012) for å estimere effekten av den observerte lusesmitten. Det er foreslått ulike grenseverdier for henholdsvis liten laksefisk under 150 g (utvandrende laksesmolt og førstegangsutvandrende sjøørret og sjørøye), og et annet sett grenseverdier for laksefisk over 150 g (veteranvandrere av sjøørret og sjørøye). For utvandrende laksesmolt (<50 g) er grensene for forventet dødelighet satt slik at < 0,1 lus/g fiskevekt ikke gir dødelighet, 0,1-0,2 lus/g 20 % dødelighet, 0,2-0,3 lus/g 50% dødelighet og > 0,3 lus/g 100% dødelighet. For ruse og garnfanget sjøørret og sjørøye er analysene normal basert på all fisk fanget, med grenseverdiene tilpasset fiskestørrelse. For sjøørret og sjørøye under 150 g brukes samme grenseverdiene som på utvandrende laksesmolt, mens for større fisk er grenseverdiene satt slik at < 0,01 lus/g fiskevekt ikke gir dødelighet, 0,01-0,05 lus/g gir 20 % dødelighet, 0,05-0,1 lus/g 50% gir dødelighet, 0,1-0,15 lus/g gir 75% dødelighet og > 0,15 lus/g gir 100% dødelighet. Det skilles ikke på sjøørret og sjørøye i analysene.

For å beregne lakselusindusert dødelighet (dvs. den andel av dødeligheten som kan knyttes til parasitten) i populasjonen, deles samplet prosentvis inn i infeksjonsgrupper. Dødelighet for hver infeksjonsgruppe beregnes basert på de antatte toleransegrenser, og summen av alle gruppene gir den totale estimerte lakselusindusert dødelighet, som uttrykkes som en prosentandel av populasjonen med 95 % bootstrap konfidensintervaler.

For tråldata er det presentert to analyser. Den ene inkluderer all fisk fanget, og er beregnet ut fra snitt per uke. Den andre er basert på at en andel av fisken er tilordnet elv med genetiske metoder. Estimert dødelighet er her presentert for elver fra de ulike regionene da antall fisk fanget per elv oftest blir lavt.

Tiden for smoltutvandring er basert på forventet utvandringstidspunkt for alle aktuelle vassdrag estimert fra en modell (Vollset mfl. 2021), og verdiene brukt i denne rapporten er hentet fra appendiks «Utvandringstidspunkt for laksesmolt i Norge ved vurdering av lakselusindusert dødelighet på smolt av villaks». Denne tabellen inneholder 2 kolonner, 50% og Midtpunkt. Midtpunkt er 10 dager etter modellberegnet 25% utvandring, mens 50% er en separat tilpasning av modellen ovenfor (jfr. vedlegg 1 til ekspertgrupperapporten for ytterlige informasjon om disse estimatene). Vi har her valgt å bruke midtpunkt (oftest noen få dager etter estimert 50%), og verdien vi oppgir er ett uvektet snitt av midtpunkt for alle elvene i produksjonsområdet. Smittekartene og utslipp av lakselus det henvises til i denne rapporten er tilgjengelig i vedlegg «Modellert påvirkning av lakselus på vill laksefisk i 2025» til ekspertgrupperapporten for 2025, og gjengis ikke her.

3 - Status i produksjonsområdene

3.1 - PO 1 Svenskegrensen – Jæren

I dette produksjonsområdet er Flekkefjord undersøkt uke 21. Flekkefjord dekker det eneste området med oppdrettsaktivitet av betydning i PO1. Her estimeres lav (8 [2-22] %) dødelighet. Undersøkelsene er tatt ca. 1 uke etter midtpunkt for utvandring. Modellert tetthet av kopepoditter for en 30-dagers periode sentrert rundt midtpunkt for antatt smoltutvandring viser ingen større områder med betydelig økte tettheter noen av årene. Det antas derfor at det ikke er områder med høyere smittepress enn ved Flekkefjord. Smolten har kort vandringsvei gjennom fjordene i dette i området, og derfor kort oppholdstid i områder med forhøyet lusepress. Området som helhet anses derfor å ha lav lakselusindusert dødelighet også i 2025. På tross av bare en stasjon er undersøkt vurderes usikkerheten som liten da det er lite oppdrett og lave utslipp av lus i området.

Det er ikke trålt etter utvandrende postsmolt av laks, eller satt ut vaktbur i dette området i 2025.

Ruse og garnfangst

I produksjonsområde 1 er en stasjon undersøkt med ruse (Figur 2). I PO1 regner en at midtpunkt for smoltutvandring er 14. mai (uke 20).

Kart som viser hvor rusestasjonen er plassert.
Figur 2. Stasjonene undersøkt med ruse eller garn i PO1 i 2025. Grønne felt viser de nasjonale laksefjordene.

 

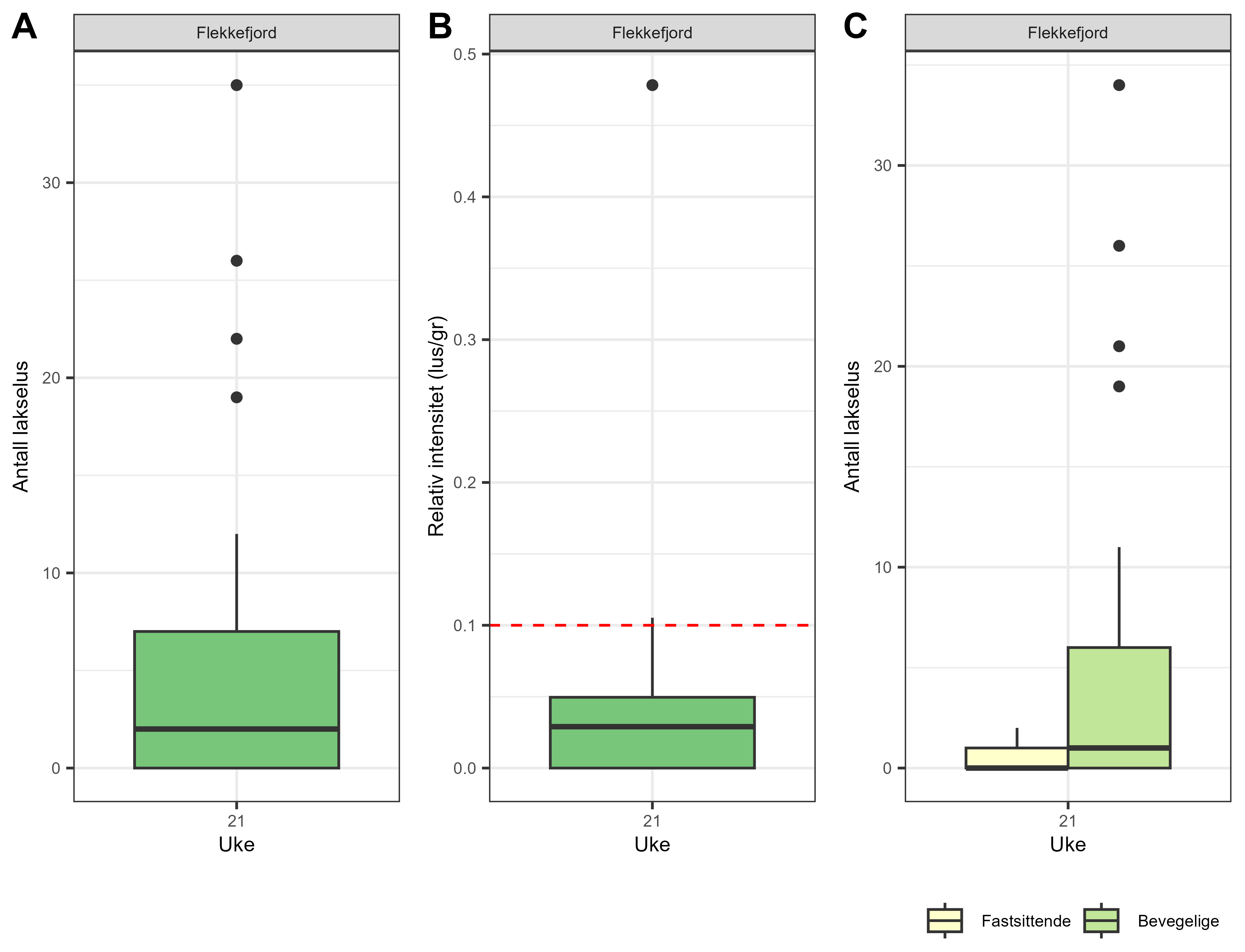
Ved Flekkefjord hadde en stor andel (72%) av ørreten fanget med ruse eller garn lakselus, de med lus hadde i snitt 8 lus/fisk, og det estimeres at 8 % av ørreten vil være negativt påvirket av lakselus (Tabell 1).

Stasjon Uke n Vekt (range) Prevalens [KI] Intensitet [KI] Maks n lus % >0.1 rel.int.
Flekkefjord 21 25 129 (29-706) 72 [57-84] 8 [5-14] 35 8 [2-25]
Tabell 1. Infestasjon av lakselus på sjøørret i PO 1. n angir antall undersøkte fisk i hver uke, prevalens viser hvor stor andel (%) av disse som hadde en eller flere lakselus, mens Intensitet er antall lakselus på fisken som hadde lus. Maks n lus viser det høyeste antall lus som er observert på en fisk. % > 0,1 rel.int. viser andelen av fisken hvor infestasjonen var høyere enn 0,1 lus per gram kroppsvekt, som anses som en grense for fysiologisk effekt av lakselus. 95 % konfidensintervall (KI) er oppgitt i klammer.

I Flekkefjord var det et høyere antall eldre bevegelige (preadulte og adulte) enn fastsittende (kopepoditter og begge chalimistadiene) lus (Figur 3C). Snittemperaturen for PO1 (snitt på 3 m dyp av temperaturmålingene på oppdrettsanleggene i området øker fra omtrent 9 til 12 grader i løpet av mai. Fra påslag av kopepoditter til lusen blir preadult tar det da ca. 14 dager, dvs. antall fastsittende dekker det akkumulerte påslaget av lus de to foregående ukene. Gitt at fisken har utvandret minst to uker før median utvandring i uke 20 indikerer fordelingen av lus et relativt lavere smittepress på sjøørreten før midtpunkt for smoltutvandring enn etter (Figur 3). Utslippene av lakselus er lave i dette området, og det er liten økning i løpet av mai. Smittepresset sentrert rundt midtpunkt for utvandring viser at Sandnesfjord ligger i ett område med lavt smittepress, mens Flekkefjord ligger i ett område med høyere smittepress. Det vurderes derfor at smittepresset rundt midtpunkt for utvandring er lavt i dette området som helhet.

Stolpediagram.
Figur 3. Antall lakselus (A), relativt antall lus (antall lus/gram kroppsvekt) (B) og antall lakselus fordelt på fastsittende og bevegelige stadier (C) fra sjøørret ved Flekkefjord .

 

Det estimeres lav (8 [2-22] %) lakselusrelatert dødelighet på sjøørret i Flekkefjord i 2025 (Figur 4). Estimatene har i tidligere år variert noe, men har ofte lagt rundt 10% rett etter midtpunkt for utvandring. I fjor ble det estimert høy dødelighet uke 22.

Estimert dødeloghet er vist i figurer, en figur for hvert år fra 2016 og hver stasjon.
Figur 4. Estimert luseindusert dødelighet på rusefanget sjøørret med 95% konfidensintervaller. Alle beregningene er basert på all fisk fanget og alle lusestadier. Antall undersøkt hver uke er angitt i figuren.

 

3.2 - PO 2 Ryfylke

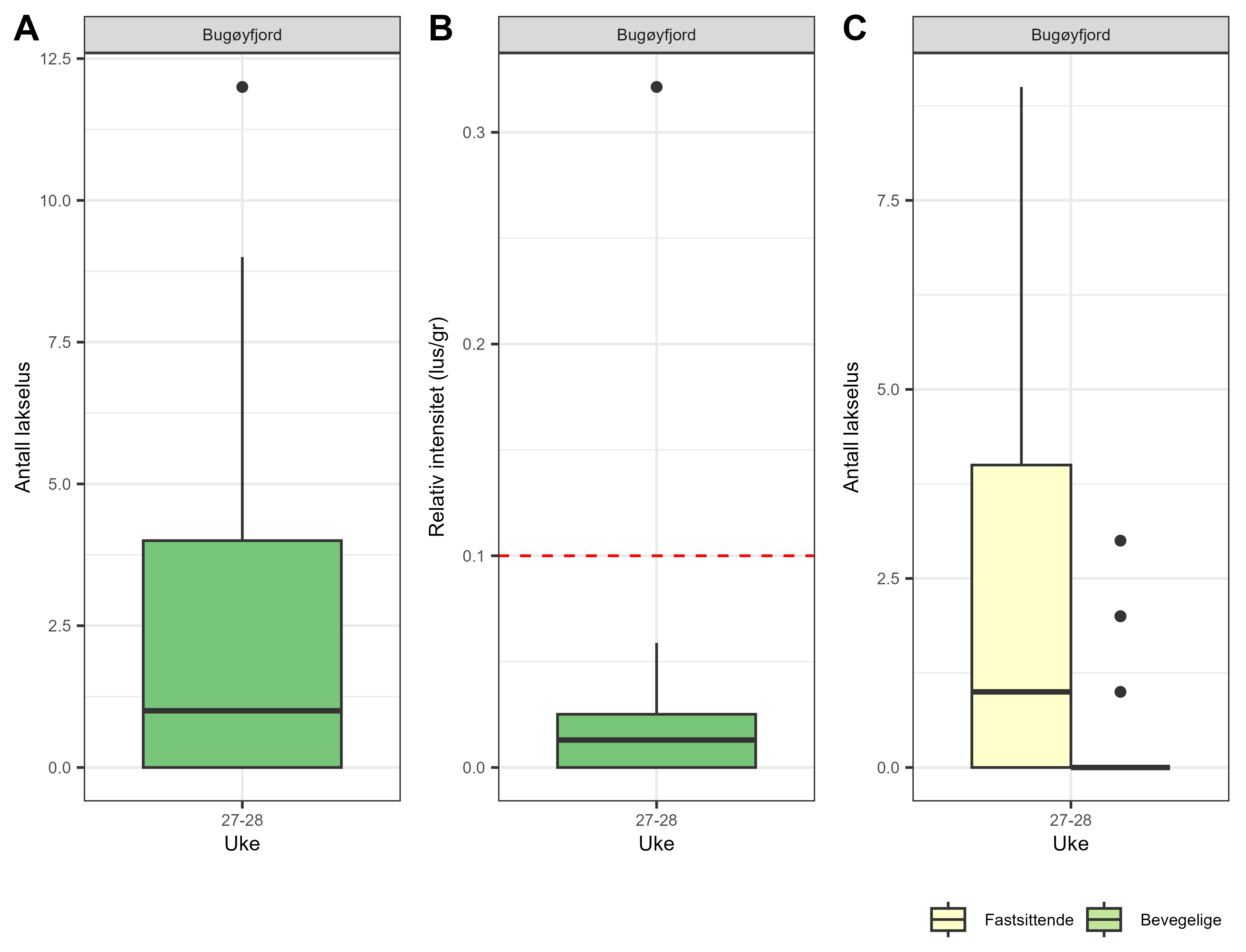
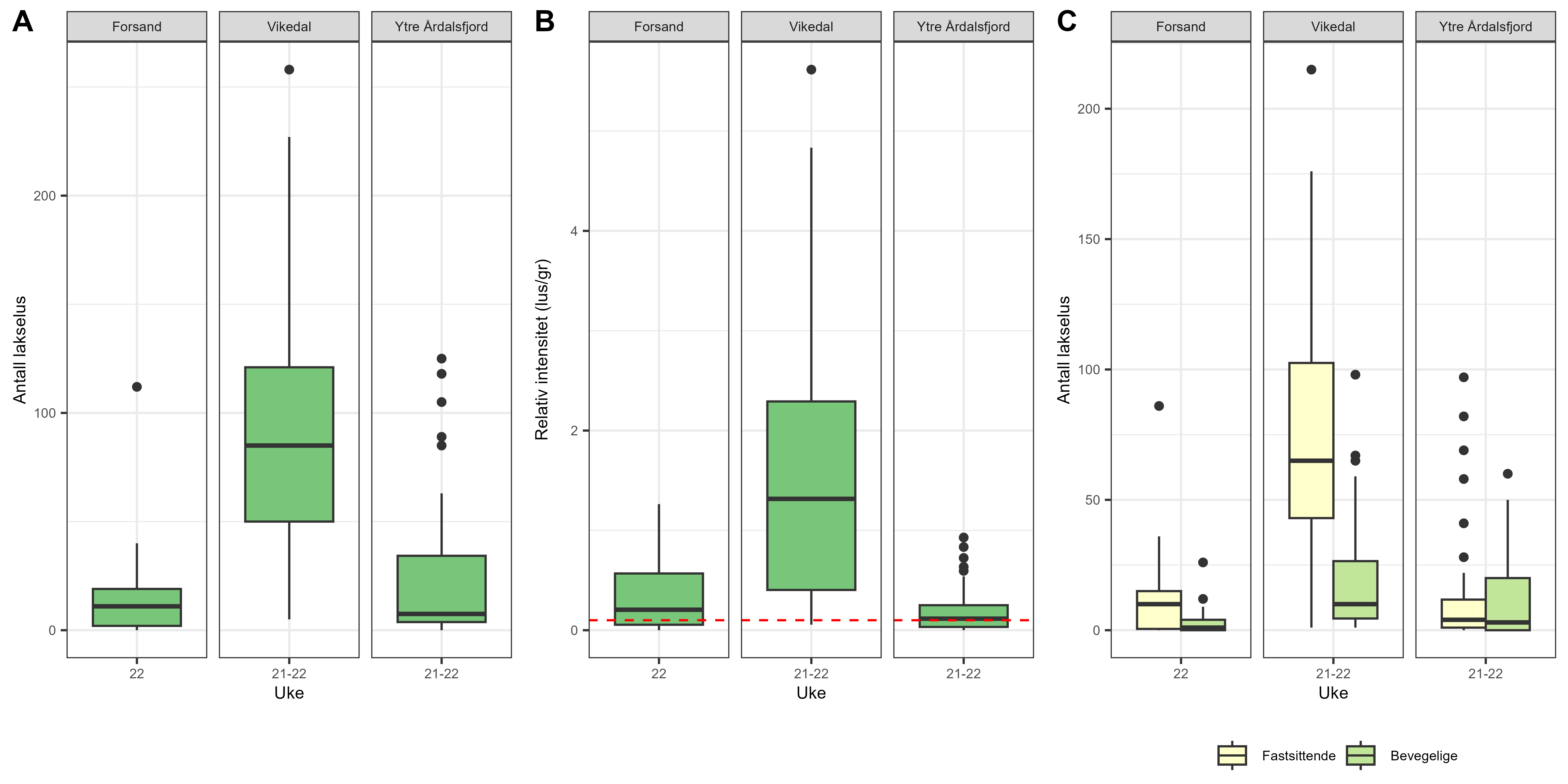
I PO2 er stasjonene Forsand og Ytre Årdalsfjord på sørsiden samt en ny stasjon ved Vikedal på nordsiden undersøkt med ruse og garn i uke 21-22, 1-2 uker etter estimert midtpunkt for utvandring. Fangstene var relativt gode. Det estimeres høy dødelighet på alle tre stasjonene i 2025, høyest i Vikedal. Fordelingen av lus viser at de fastsittende stadiene dominerer i ukene 21-22 i Forsand og Vikedal, men fordelingen av fastsittende og bevegelige lus var jevnere fordelt i Ytre Årdalsfjord. Gitt at ørreten har utvandret minst to uker før median utvandring i uke 20, indikerer dette et relativt høyt smittepress rundt midtpunkt for smoltutvandringen på begge stasjonene, men også et relativt høyt smittepress i Vikedal og Ytre Årdalsfjord før dette. Det er i tillegg til rusestasjonen fanget 77 sjøørret i trålen. Disse viser tilsvarende høye påslag av lus som på rusestasjonene. Dette samsvarer med utslippene av lakselus i PO2 i 2025 som var relativt jevn frem til uke 20, men økte deretter kraftig, samt at tettheten av kopepoditter er høyest i de nordøstre og midtre delene av Boknafjorden. Ruse- og garnfangst indikerer en kategorisering av PO2 i høy lakselusindusert dødelighet. Usikkerheten anses som liten da rusene anses som dekkende i tid og rom i forhold til midtpunkt for utvandring, og resultatene samsvarer med utslippene i området.

Det er i 2025 trålt i Boknafjorden ukene 18-21, 28. april - 25. mai. Fangstene har vært relativt gode i starten av trålperioden i månedsskiftet april-mai, men avtok kraftig deretter. Estimert dødelighet var lav (10%), men på grensen til moderat i uke 18, lav ukene 19 og 21, men høy uke 20 (merk at fangstene de tre siste ukene var noe lave, 7 – 12 fisk). I snitt for året 2025 estimeres dødeligheten til moderat (11 [8-15] %). I 2025 estimeres det moderat dødelighet på postsmolt fra de nordlige og østlige elvene, lav for de sørlige elvene. Tråldata indikerer moderat lakselusindusert dødelighet i 2025. Fangstmønsteret kan indikere at utvandringen har startet tidlig i 2025, og det er derfor mulig at den første delen av utvandringen ikke er dekket, samt at mye av fisken er fanget relativt langt inn i Boknafjorden, og dekker ikke hele utvandringsruten for laksen. Usikkerheten i kategoriseringen vurderes derfor som middels .

Det er ikke satt ut vaktbur i dette området i 2025. 

Ruse og garnfangst

I produksjonsområde 2 er stasjonene Forsand og Ytre Årdalsfjord på sørsiden og Nedstrand på nordsiden undersøkt i 2025 (Figur 5). Midtpunkt for utvandring for elvene i produksjonsområdet er estimert til 13. mai (uke 20).

Kart som viser hvor rusestasjonen er plassert.
Figur 5. Stasjonene undersøkt med ruse eller garn i PO2 i 2025. Grønne felt viser nasjonale laksefjorder.

 

Alle stasjonene er undersøkt uke 21-22. Ruseundersøkelsene startet derfor ca. 1-2 uker etter median utvandring (uke 20). På alle tre stasjonene hadde mesteparten av ørreten lus, fra 85 til 100% (Tabell 2), I Intensiteten økte fra sør til nord, med 16 lus/fisk i Forsand, 28 lus/fisk i Ytre Årdalsfjord og 90 lus/fisk i Vikedal. Fangstene var gode på alle tre stasjonene. Det estimeres derfor at andelen av fisk som er negativt påvirket av lakselus er høy på alle tre stasjonene, hhv. 68 og 55% på de to stasjonene i sør, og 97 % av ørreten fanget ved Vikedal.

Stasjon Uke n Vekt (range) Prevalens [KI] Intensitet [KI] Maks n lus % >0.1 rel.int.
Forsand 22 59 46 (18-195) 85 [73-92] 16 [12-23] 112 68 [55-78]
Ytre Årdalsfjord 21-22 44 124 (28-611) 89 [76-95] 28 [19-41] 125 55 [40-68]
Vikedal 21-22 63 132 (21-614) 100 [94-100] 90 [79-104] 258 97 [89-99]
Tabell 2. Infestasjon av lakselus på sjøørret i PO 2. Se Tabell 1 for forklaring av verdiene.

Fordelingen av lus viser at de fastsittende stadiene dominerer i ukene 21-22 i Forsand og Vikedal, men fordelingen av fastsittende og bevegelige lus var jevnere fordelt i Ytre Årdalsfjord (Figur 6). Gitt at fisken har utvandret minst to uker før midtpunkt for utvandring (uke 20), indikerer dette et relativt høyt smittepress, og høyere etter enn før midtpunkt for smoltutvandringen i Ytre Årdalsfjord og Forsand. Dette samsvarer med utslippene av lakselus i PO2 i 2025 som var relativt jevn frem til uke 20, men økte deretter kraftig, samt at tettheten av kopepoditter er høyest i de nordøstre og midtre delene av Boknafjorden.

Resultatene er vist som boksplott
Figur 6. Antall lakselus (A), relativt antall lus (antall lus/gram kroppsvekt) (B) og antall lakselus fordelt på fastsittende og bevegelige stadier (C) fra sjøørret på stasjonene undersøkt i PO2.

 

Estimert dødelighet i 2025 er høy på alle tre stasjonene, høyest i Vikedal i Vindafjord (Figur 7). I Ytre Årdalsfjord er det omtrent som i 2022-2024. Vikedal er ikke undersøkt siden 2016. I Forsand ble det estimert høy dødelighet også i 2022. Overvåkingen i 2025 bekrefter at det er mye lus på sjøørret i dette området.

Estimert dødeloghet er vist i figurer, en figur for hvert år fra 2016 og hver stasjon.
Figur 7. Estimert luseindusert dødelighet på rusefanget sjøørret med 95% konfidensintervaller. Alle beregningene er basert på all fisk fanget og alle lusestadier. Antall undersøkt hver uke er angitt i figuren.

 

Tråldata sjøørret

Det er i 2025 trålt i Boknafjorden ukene 18-21, 28. april - 25. mai. Det ble i 2024 tatt 77 sjøørret i trålen i Boknafjordsystemet, 91% av disse hadde lus, med en intensitet på 32 lus/fisk (Tabell 3). Det estimeres at 69% av sjøørreten har så mye lus at den er negativt påvirket. Dette er omtrent tilsvarende som observert på ørret fanget med ruse i dette området. Hvilken elv ørreten kommer fra er ikke kjent, men den er fanget i hele området hvor laks er fanget, og derfor områder ikke dekket av rusene.

n Vekt (range) Prevalens [KI] Intensitet [KI] Maks n lus % >0.1 rel.int.
77 146 (21-707) 91 [82-96] 35 [26-51] 309 69 [58-78]
Tabell 3. Infestasjon av lakselus på trålfanget sjøørret i PO 2. Se Tabell 1 for forklaring av verdiene.

Tråldata postsmolt laks

Det er i 2025 trålt i Boknafjorden ukene 18-21, 28. april - 25. mai. Fangstene har vært relativt gode i starten av trålperioden i månedsskiftet april-mai, men avtok kraftig deretter (Figur 8). Fangstmønsteret kan indikere at utvandringen har startet tidlig i 2025, og det er derfor mulig at den aller første delen av utvandringen ikke er dekket. Det lave antall fanget fisk fra elver på spesielt nordsiden (n=6), men også fra østsiden (n=13) kan skyldes spesielt tidlig utvandring, at smoltproduksjonen er vesentlig lavere enn elvene på sørsiden, eller at de i liten grad kan bestemmes til hjemelv med nødvendig sikkerhet.

Fangsten er vist som linje i et figur fra første til siste tråldato.
Figur 8. Kumulativ fangst av utvandrende postsmolt av laks i 2025 .

 

Første fangstuke ble det fanget en del fisk på nordsiden, mens senere ble mest fisk fanget relativt langt inne på sørsiden av fjorden (Figur 9), selv om innsatsen var spredt over hele fjordens bredde. Da trålhalene er tatt inne i fjordsystemet, dekker observasjonene ikke påslag av lakselus på postsmolt som har vandret helt ut av fjordsystemet, og påslaget av lakselus er derfor trolig underestimater.

Tråltrekkene er vist som linjer i kart, et kart for hver uke. Linjene er farget fra svart til gul med økende fangst.
Figur 9. Tråltrekkene etter utvandrende postsmolt laks i Boknafjorden 2025, hvor farge indikerer fangst. Grønne felt viser nasjonale laksefjorder.

Andelen av laks med lus (prevalens) var i tre av ukene mellom 43 og 67%, en uke 10% (Tabell 4). Intensiteten var mellom 1 og 3 lus/fisk i tre av ukene, i uke 20 var den 6 lus/fisk. Dette gjenspeiles i at denne uken estimeres det at 42% av fisken var negativt påvirket av lus (Tabell 4).

Uke n Vekt (range) Prevalens [KI] Intensitet [KI] Maks N lus % >0.1 rel.int. [KI]
18 141 21 (8-48) 55 [46-63] 3 [2-4] 25 28 [21-36]
19 10 26 (14-47) 10 [1-40] 1 [1-1] 1 0 [0-28]
20 12 26 (15-37) 67 [39-86] 6 [3-10] 14 42 [19-68]
21 7 24 (15-30) 43 [16-75] 2 [1-4] 5 14 [1-51]
Tabell 4. Infestasjon av lakselus på utvandrende laksesmolt i Boknafjorden. Se Tabell 1 for forklaring av verdiene. Det ble trålt 28. april - 25. mai 2025.

Estimert dødelighet var lav (10%), men på grensen til moderat i uke 18 (Figur 10), lav ukene 19 og 21, men høy uke 20 (merk at fangstene de tre siste ukene var noe lave, 7 – 12 fisk).

Estimatene på dødelighet er vist med en figur for hvert år siden 2016, hvor et estimat for hver uke i hvert år er vist.
Figur 10. Estimert luseindusert dødelighet (med konfidensintervaller) som snitt av all trålfanget vill postsmolt av laks fanget hver uke i Boknafjorden. Antall undersøkt hver uke er angitt i figuren.

 

I snitt for året 2025 estimeres dødeligheten til moderat (11 [8-15] %) (Figur 11), en økt toleranse vil medført at estimatet blir lav, mens en redusert toleranse vil medføre at estimatet fremdeles er moderat, men nærmer seg høy. Estimatene er betydelig høyere enn i 2024, mer på linje med at det i dette området estimeres ofte en dødelighet som ligger omtrent på 10%.

Estimatene på dødelighet er vist med en figur for alle årene siden 2016. For hvert år er det også vist estimatene med høye eller lave tålegrenser.
Figur 11. Estimert luseindusert dødelighet som snitt av all fisk fanget beregnet med ulike toleransegrenser (med konfidensintervaller) på trålfanget vill postsmolt av laks.

 

I Boknafjorden er 68 av 170 (40 %) postsmolt genetisk bestemt til elv i 2025. Elvene er gruppert i regioner, øst er elvene på sørøstsiden, nord fra Sands- og Vindafjorden, mens sør er fra Høgsfjorden. Det er i 2025 bare fanget tre laks som genetisk er tilordnet elv på kysten sør for Boknafjorden, alle fra Soknedalselva (Figur 12). Antall fisk fanget fra elvene fra øst (n=13) og spesielt fra nordsiden (n=6) var lavere enn antall fisk fra de sørlige elvene (n=45), og fra begge disse regionene fanges lavere antall postsmolt i trålen enn hva den teoretiske smoltproduksjonen skulle tilsi. At det fanges omtrent dobbelt så mange fra de nordlige enn de østlige elvene samsvarer relativt godt med smoltproduksjonen i disse regionene.

Andel av fangsten som kommer fra ulike elver er vist i ulike farger for de ulike fangstukene, hvor hver søyle summerer opp til 100%
Figur 12. Fordelingen av trålt postsmolt av laks fra de ulike elvene i produksjonsområdet.

 

Ser en på lus på fisk fra de ulike elvene (delt i regioner da antallet fra elvene oftest er lavt estimeres det moderat dødelighet på postsmolt fra de nordlige og østlige elvene, lav for de sørlige elvene (Figur 13, se figurtekst for hvilke elver som er inkludert i de tre regionene). Estimatene er høyere enn i 2024, men mer på linje med resultatene i 2023.

Estimatene på dødelighet er vist med en figur for hvert år siden 2016, hvor et estimat for hver uke i hvert år er vist.
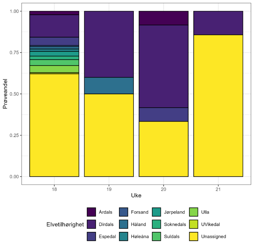
Figur 13. Estimert lakselusindusert dødelighet (med konfidensintervaller) på trålfanget vill postsmolt av laks tilordnet hjemelv. Elver som kan tilordnes er vist i kartet til høyre. Antall er angitt i figuren. Elvene er gruppert i regioner, sør inkluderer Dirdals, Espedals, Forsand, Frafjord, Høleåna, Jørpeland og Lyse elvene, øst inkluderer Førre, Hjelmeland, Hålands, Ulla, Vorma og Årdals elvene mens nord inkluderer Rødne, Suldals, Sauda, Vikedals og Åmselva. Kyst inkluderer bare Figgjo 2017-2019, men også andre elver nedover Jæren/Dalane i 2020-2025.

 

3.3 - PO 3 Karmøy til Sotra

Estimert lakselusrelatert dødelighet for sjøørret fanget ved Ålvik uke 22 var moderat, i Rosendal høy dødelighet ukene 22-23 og i Etne er estimert dødelighet moderat ukene 21-22, men høy de fire siste ukene (merk lavt antall siste uken). Dataene indikerer derfor en høy dødelighet på stasjonene i midtre og ytre deler av fjordsystemet i den undersøkte perioden, moderat i indre. Ruseundersøkelsene startet ca. 1–2 uker etter median utvandring, og er i tid derfor relativt dekkende fra 1–2 uker før median smoltutvandring i området. Gitt at fisken har vært i sjøen minst to uker før estimert midtpunkt for utvandringen, indikerer antall og fordelingen av lus et høyere smittepress fra omtrent midtpunkt for utvandring enn før dette, og med en ytterligere økning i smittepress deretter. Dette samsvarer med utslippene av lakselus som var relativt jevnt frem til uke 18, men økte deretter jevnt ut mai. Det ble i 2025 tatt 193 sjøørret i trålen i Hardangerfjorden, nesten alle hadde lus, og intensiteten var høy. Resultatene er i overenstemmelse med situasjonen i Rosendal og Etne. Stasjonene anses derfor dekkende i tid og rom for å fange opp smittepresset. Fangstene har med unntak av siste uken i Etne vært gode. Overvåkingsperioden dekker ikke tidlig utvandrende fisk, og data fra Bjørnafjorden mangler, men samtidig er det bare to lakseførende elver i dette systemet. Usikkerheten anses derfor som middels.

I 2025 ble det trålt i perioden 28. april – 24. juni, ukene 18-21. Størst fangst var helt i starten av trålperioden, uke 18, med synkende fangst utover trålperioden. Estimert dødelighet på utvandrende postsmolt av laks var moderat uke 18 og 20, høy uke 21. Regnet som snitt av all laksen fanget estimeres høy lakselusindusert dødelighet i 2025, 36 [30-42] %. Estimert dødelighet beregnet for fisk fra de ulike regionene er høy for både de indre og de midtre elvene, moderat for de ytre. Samlet indikerer derfor tråldata en kategorisering i høy lakselusindusert dødelighet. Usikkerheten vurderes som middels da antall undersøkte fisk er relativ høy, men fangstmønsteret indikerer at trålingen kan være startet noe sent i forhold til utvandringen. Trålingen dekker heller ikke de to bestandene som vandrer ut i Bjørnafjorden i den nordlige delen av POet, og dekker ikke hele utvandringsruten for laks.

Vaktburene var i 2025 satt ut i Hardangerfjorden og i Austevoll i 2 runder, 27. mai til 13. juni og 12. - 26. juni. I første runde, med start i slutten av mai og derfor dekkende bare for sent utvandrende laks i forhold til midtpunkt for utvandringen, indikerer antall lus på fisken i vaktburene i hele midtre Hardangerfjorden og i de to burene i Austevoll høyt smittepress, og moderat smittepress i de indre og ytre burene. I siste halvdel av juni, som er noe sent for å fange opp smittepresset laks opplever på utvandringen indikerer antall lus på fisken i vaktburene et relativt lavt smittepress i både Hardangerfjorden og i de to burene ved Austevoll. Usikkerheten vurderes som stor da burene bare dekker sent utvandrende laks, og laks som har utvandret etter midtpunkt for utvandring og har lang vandringsvei. Antall bur i Austevoll er lavt og dekker ett begrenset område.

Ruse og garnfangst

I 2025 er tre stasjoner i Hardangerfjorden undersøkt (Figur 14). I dette produksjonsområdet estimeres gjennomsnittlig midtpunkt for utvandring til 17. mai (uke 20 i 2024).

Kart som viser hvor rusestasjonen er plassert.
Figur 14. Stasjonene undersøkt med ruse eller garn i PO3 i 2025. Grønne felt viser de nasjonale laksefjordene.

 

Stasjonen i Ålvik er undersøkt uke 22, Rosendal ukene 22-23, mens Etne er undersøkt sammenhengende ukene 21-25 og tre dager inn i uke 26. Fangstene har stort sett vært gode. Ruseundersøkelsene startet ca. 1-2 uker etter median utvandring, og er i tid derfor relativt dekkende fra 1-2 uker før median smoltutvandring i området.

I Ålvik hadde 86% av fisken lus, med intensitet 7 lus/fisk, mens i Rosendal var prevalens 98 %, intensitet 36 lus/fisk (Tabell 5). På begge stasjonene er det noe mer lus enn i 2024. Ved Etne er prevalens de to første ukene hhv. 74 og 50%, men øker til 95-100% de tre siste ukene. Intensiteten øker fra 9-10 lus/fisk de to første ukene, 21 lus/fisk uke 23, og 62 og 55 lus/fisk de to siste ukene (Tabell 5). Ved Etne var størst fangst de to første ukene.

Stasjon Uke n Vekt (range) Prevalens [KI] Intensitet [KI] Maks n lus % >0.1 rel.int.
Ålvik 22 79 36 (14-170) 86 [77-92] 7 [5-9] 31 42 [32-53]
Rosendal 22-23 61 46 (14-300) 98 [91-100] 36 [28-50] 213 92 [82-96]
Etne 21 248 47 (14-448) 74 [68-79] 9 [7-13] 173 33 [28-39]
  22 159 51 (14-517) 50 [42-57] 10 [7-16] 125 19 [14-26]
  23 57 79 (21-592) 95 [86-98] 21 [15-29] 116 60 [47-71]
  24 127 77 (22-526) 96 [91-98] 62 [54-72] 273 84 [77-90]
  25 75 135 (22-938) 100 [95-100] 55 [45-67] 206 84 [74-91]
  26* 4 270 (49-551) 100 [51-100] 60 [19-110] 133 75 [30-99]
Tabell 5. Infestasjon av lakselus på sjøørret i PO 3. Se Tabell 1 for forklaring av verdiene. * Det ble bare fisket mandag-onsdag i uke 26.

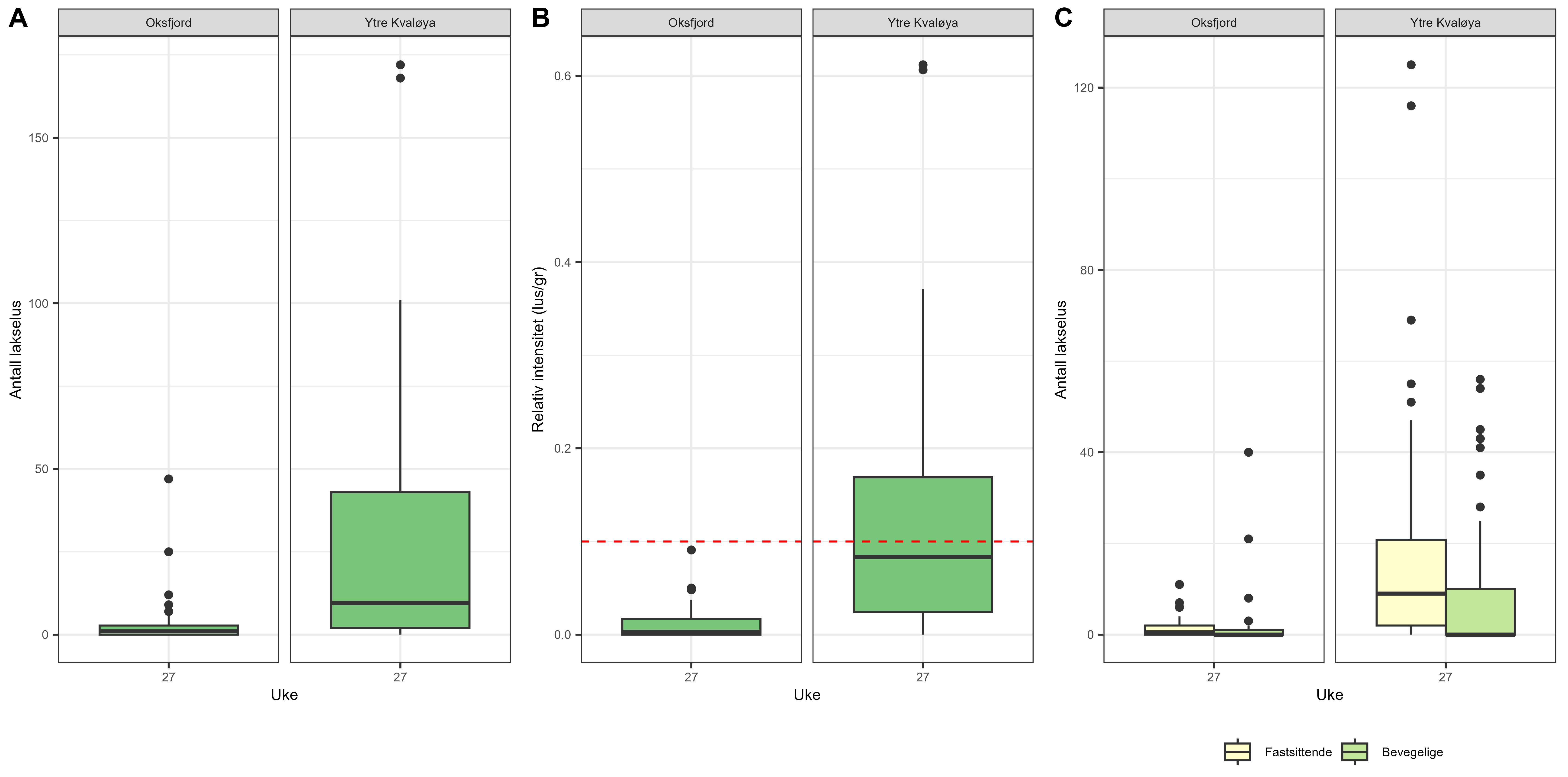
Gjennomsnittlig temperatur for ukene 20-22 var rundt 13°C. Utviklingen fra påslag til preadulte tar da ca. 12-13 dager. Intensiteten var lav i Ålvik, men de fastsittende lusene dominerer uke 22, ca. 2 uker etter midtpunkt for utvandring (Figur 15). I Rosendal er intensiteten betydelig høyere, og her er det en kraftig dominans av fastsittende lus i forhold til bevegelige ca. 2-3 uker etter midtpunkt for utvandring. I Etne økte antall lus på fisken betydelig fra uke 23. De to første ukene dominerte de fastsittende stadiene, og det samme var tilfelle også de neste ukene, men nå var både antall fastsittende og bevegelige lus betydelig høyere. Gitt at fisken har vært i sjøen minst to uker før estimert midtpunkt for utvandringen, indikerer antall og fordelingen av lus et høyere smittepress fra omtrent midtpunkt for utvandring enn før dette, og med en ytterligere økning i smittepress deretter (ca. uke 23-24). Totalt sett vurderes smittepresset derfor som høyt i Rosendal og Etne. Dette samsvarer med utslippene av lakselus som var relativt jevnt på omtrent 5 millioner per time frem til uke 18, men økte deretter jevnt til ca. 13 millioner per time i starten av juni. Det var høyest tetthet av kopepoditter i de midtre områdene i månedsskiftet april-mai, men etter hvert var det høy tetthet også i de ytre delene.

Resultatene er vist som boksplott
Figur 15. Antall lakselus (A), relativt antall lus (antall lus/gram kroppsvekt) (B) og antall lakselus fordelt på fastsittende og bevegelige stadier (C) fra sjøørret på stasjonene i Hardangerfjorden.

 

Estimert dødelighet for sjøørret fanget ved Ålvik var moderat (26 [18-35] %) uke 22 (Figur 16). I Rosendal estimeres høy lakselusrelatert dødelighet uke 22-23 (79 [69-87] %) (Figur 16). I Etne er estimert lakselusrelatert dødelighet moderat (14-19%) de to første ukene, men høy (> 48 %) de siste ukene (merk lavt antall siste uken). Overvåkingen i 2025 viser at det er mye lus på sjøørret i dette området tilsvarende som observert alle årene fra 2016.

Estimert dødeloghet er vist i figurer, en figur for hvert år fra 2016 og hver stasjon.
Figur 16. Estimert luseindusert dødelighet på rusefanget sjøørret med 95% konfidensintervaller. Alle beregningene er basert på all fisk fanget og alle lusestadier. Antall undersøkt hver uke er angitt i figuren.

 

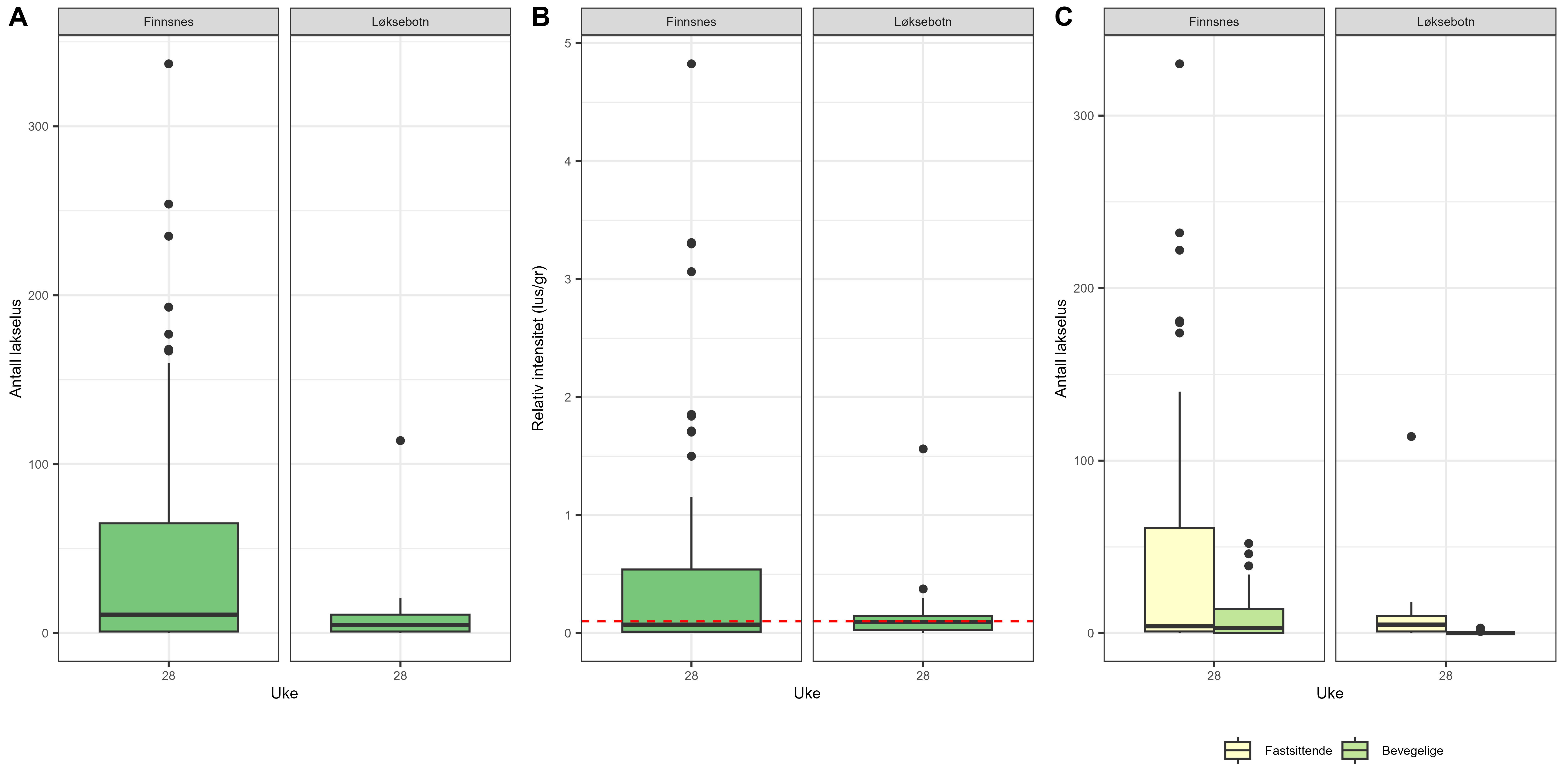
Tråldata sjøørret

Det ble i 2025 tatt 193 sjøørret i trålen i Hardangerfjorden, nesten alle hadde lus (99%), og intensiteten var høy med 39 lus/fisk (Tabell 6). Det estimeres at 82% av sjøørreten har så mye lus at den er negativt påvirket. Resultatene er i overenstemmelse med situasjonen i Rosendal og Etne.

n Vekt (range) Prevalens [KI] Intensitet [KI] Maks n lus % >0.1 rel.int.
193 125 (20-994) 99 [96-100] 39 [34-44] 231 82 [76-87]
Tabell 6. Infestasjon av lakselus på trålfanget sjøørret i PO 3. Se Tabell 1 for forklaring av verdiene.

Tråldata postsmolt laks

I 2025 ble det trålt i perioden 28. april – 24. juni, ukene 18 -21. Størst fangst var uke helt i starten av trålperioden, uke 18, med synkende fangst utover trålperioden (Figur 17). Fangstene av utvandrende postsmolt laks var noe bedre enn i 2024, men lavere enn i tidsrommet 2019-2022. Høyest fangst første uken kan indikere at trålingen startet noe for sent til å fange opp fisk som har utvandret spesielt fra de ytre elvene som har kort utvandringsvei.

Fangsten er vist som linje i et figur fra første til siste tråldato.
Figur 17. Kumulativ fangst av utvandrende postsmolt av laks i Hardangerfjorden i 2025.

 

Mye av fisken ble tatt i den ytre sonen, men det var også fanget fisk lengre inne første tråluke (Figur 18). I halene tatt lengre inne (ca. utenfor Rosendal) ble det fanget få fisk fra alle regionene, og noen flere som ikke kan tilordnes elv. Selv om trålhalene er tatt relativt langt ute, dekker de ikke hele utvandringsruten til postsmolten.

Tråltrekkene er vist som linjer i kart, et kart for hver uke. Linjene er farget fra svart til gul med økende fangst.
Figur 18. Tråltrekkene etter utvandrende postsmolt laks i Hardangerfjorden 2025, hvor farge indikerer fangst. Grønne felt viser de nasjonale laksefjordene.

 

Andelen av postsmolt laks med lus (prevalens) var 65 % første tråluke (uke 18), 90 % andre tråluke og 55 % tredje. Siste tråluke ble det bare fanget 1 laks (Tabell 7). Gjennomsnittlig intensitet økte fra 5 lus/fisk i uke 18 til 26 lus/fisk i uke 19, og falt deretter til 5 lus/fisk uke 20. Andelen av laksen som vurderes som negativt påvirket av lakselus var høyest (80%) uke 19, noe lavere før (40%) og etter (23%) dette.

Uke n Vekt (range) Prevalens [KI] Intensitet [KI] Maks N lus % >0.1 rel.int. [KI]
18 134 20 (10-49) 65 [57-72] 5 [4-6] 36 40 [32-48]
19 60 22 (13-48) 90 [80-95] 26 [21-31] 68 80 [68-88]
20 22 22 (13-30) 55 [35-73] 5 [2-13] 29 23 [10-43]
21 1 26 (26-26) 100 [5-100] 2 [2-2] 2 0 [0-95]
Tabell 7. Infestasjon av lakselus på utvandrende laksesmolt i Hardangerfjorden. Se Tabell 1 for forklaring av verdiene.

Estimert dødelighet på utvandrende postsmolt av laks var moderat uke 18 med 24 [18-31] % og uke 20 (12 [4-27] %), men høy uke 21 (73 [61-82] %) (Figur 19). I Hardangerfjorden er det fra 2016 oftest observert en økning i estimert dødelighet utover perioden det tråles, og oftest er høyest antall fisk fanget observert i eller rundt uke 20.

Estimatene på dødelighet er vist med en figur for hvert år siden 2016, hvor et estimat for hver uke i hvert år er vist.
Figur 19. Estimert lakselusindusert dødelighet (med konfidensintervaller) som snitt av all trålfanget vill postsmolt av laks fanget hver uke i Hardangerfjorden 2025. Antall undersøkt hver uke er angitt i figuren.

 

Regnet som snitt av all fisken fanget i Hardangerfjorden estimeres høy lakselusindusert dødelighet i 2025, 36 [30-42] % (Figur 20), litt lavere enn i 2024.

Estimatene på dødelighet er vist med en figur for alle årene siden 2016. For hvert år er det også vist estimatene med høye eller lave tålegrenser.
Figur 20. Estimert lakselusindusert dødelighet som snitt av all fisk fanget beregnet med ulike toleransegrenser for lakselusrelatert dødelighet (med konfidensintervaller) på trålfanget vill postsmolt av laks.

 

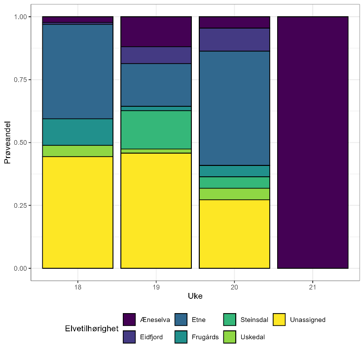
Trålfangst kan inndeles i forhold til hjemelv, og disse blir da kategorisert som enten indre (Steinsdal – Opo), midtre (Uskedal – Ænes) eller ytre (Etne – Ådland) elver. Av de 217 analyserte postsmolt av laks fanget i trålen, kan 67 % (n=123) bestemmes til hjemelv. Av de som kunne bestemmes til hjemelv, domineres fangstene av laks fra Etne (n=70), dernest Frugårds (n= 16) og Ænes (n=12) (Figur 21).

Andel av fangsten som kommer fra ulike elver er vist i ulike farger for de ulike fangstukene, hvor hver søyle summerer opp til 100%
Figur 21. Fordelingen av trålt postsmolt av laks fra de ulike elvene i produksjonsområdet.

 

Estimert dødelighet beregnet for fisk fra de ulike regionene er høy for de indre (n=17, 82 [56-94] %) og midtre (n=20, 67 [46-84] %) regionene, moderat (n=86, 17 [11-25] %) for ytre (Figur 22). Generelt er resultatene omtrent som i 2023-2024.

Estimatene på dødelighet er vist med en figur for hvert år siden 2016. For hvert år er det vist estimatene der elvene er inndelt i regioner.
Figur 22. Estimert lakselusindusert dødelighet (med konfidensintervaller) på trålfanget vill postsmolt av laks tilordnet hjemelv. Elver som kan tilordnes er vist i kartet til høyre. Antall er angitt i figuren. Elvene er gruppert i regioner. Det er ikke trålt i Bjørnafjorden.

 

Vaktbur

Vaktburene var i 2025 satt ut i Hardangerfjorden og i Austevoll i 2 runder, 27. mai til 13. juni og 12. - 26. juni. I første runde, med start i slutten av mai og derfor dekkende for sent utvandrende laks i forhold til midtpunkt for utvandringen indikerer antall lus på fisken i vaktburene i hele midtre Hardangerfjorden og i de to burene i Austevoll høyt smittepress, og moderat smittepress i de indre og ytre burene (Figur 23). I siste halvdel av juni, som er noe sent for å fange opp smittepresset laks opplever på utvandringen indikerer antall lus på fisken i vaktburene et relativt lavt smittepress i både Hardangerfjorden og i de to burene ved Austevoll.

Posisjonene for vaktbur er vist som punkter i et kart. Punktene har farge etter hvor mange lus det var på fisken.
Figur 23. Snitt antall lakselus normalisert til 14 dager på vaktburene i Hardangerfjorden og i Austevoll 2025. Punktene viser burposisjonene, grønt angir < 2, gult 2-6 og rødt > 6 lus/fisk. Tallene angir antall undersøkt fisk i hvert bur. Posisjonen til burene i Austevoll er forskjøvet litt.

 

3.4 - PO 4 Nordhordland til Stadt

I Nordhordland (Herøyosen uke 22 og 24, Herdla uke 23-24) ble det estimert høy dødelighet på rusefanget sjøørret. På stasjonen i Sognefjorden (Bjordal, uke 23) ble det estimert moderat, på grensen til høy dødelighet, mens i både i Sunnfjord (Førdefjorden, uke 23) og Nordfjord (Måløy, uke 24) ble det estimert høy dødelighet. Det ble i 2025 tatt 37 sjøørret i trålen i Sognefjorden, de fleste hadde lus, og intensiteten var høy. Undersøkelsene er gjort ca. 2-4 uker etter midtpunkt for smoltutvandring, men fordelingen av fastsittende og bevegelige lus kan indikere at smittepresset har vært høyt rundt midtpunkt for utvandring, og med en kraftig økning i smittepresset 2-3 uker etter midtpunkt for utvandring for området. Rusefangst indikerer derfor en kategorisering i høy lakselusindusert dødelighet rundt midtpunkt for utvandring. Det er mer lus på sjøørret i Sognefjorden enn smittekartene indikerer, og det er bare undersøkt en stasjon i Sognefjorden. Usikkerheten vurderes derfor som middels. 

Det ble i 2025 trålt etter postsmolt av laks i Sognefjorden fra 10. mai til 13. mai (2 dager i uke 19, 3,5 dager i uke 20), deretter fra 20. mai til 3. juni (6 dager i uke 20, hele uke 21 og samt to dager inn i uke 23). Oppholdet i tråling skyldes tekniske problemer. Fangsten var svært dårlig, det ble totalt bare fanget 13 fisk som kan brukes i analysene. Ser en på snittet for hele trålperioden estimeres det moderat (21 [5-47] %) lakselusrelatert dødelighet. Dårlig fangst i Sognefjorden samt at trålingen ikke dekker elvene i Nordhordland, Sunnfjord eller Nordfjord, og dekker ikke hele utvandringsruten for laks, vurderes usikkerheten som stor.

Det er ikke satt ut vaktbur i dette området i 2025.

Ruse og garnfangst

I produksjonsområde 4 er i 2025 Austefjorden (Herøyosen) og Herdla undersøkt i Nordhordland, Bjordal i Sognefjorden, Førdefjorden i Sunnfjord og Maurstadvika ved Måløy i Nordfjord (Figur 24). I dette produksjonsområdet estimeres gjennomsnittlig midtpunkt for utvandring 18. mai (uke 20 i 2025).

Kart som viser hvor rusestasjonen er plassert.
Figur 24. Stasjonene undersøkt med ruse eller garn i PO4 i 2025. Grønne felt viser de nasjonale laksefjordene.

 

I Nordhordland hadde all rusefanget sjøørreten på begge stasjonene Herdla og Herøyosen lus hhv. ukene 23-24 og ukene 22 og 24 (Tabell 8). Antall lakselus på infisert fisk var høy på Herdla, og høy allerede uke 22, men økte kraftig til uke 24 (89 lus/fisk). I Sognefjorden er Bjordal undersøkt uke 23. Mesteparten av fisken hadde lus (89%), og intensiteten var 9 lus/fisk. I Sunnfjord er Førdefjorden undersøkt uke 23. Prevalens var 89%, intensitet 18 lus/fisk. Nordfjord (Måløy) ble i 2025 undersøkt uke 24, prevalens var 90%, intensitet 22 lus/fisk. Andelen av fisk som estimeres til å være negativt påvirket av lakselus er som tidligere år høy i Nordhordland (56% på Herdla og 85-97% i Herøyosen), men også relativt høy i de tre nordligere stasjonene (37-60 %).

Stasjon Uke n Vekt (range) Prevalens [KI] Intensitet [KI] Maks % >0.1 rel.int.
Herøyosen 22 60 196 (32-1150) 100 [94-100] 33 [29-39] 98 85 [74-92]
24 78 95 (28-742) 100 [95-100] 89 [78-103] 254 97 [91-99]
Herdla 23-24 45 407 (37-1058) 100 [92-100] 45 [38-54] 125 56 [41-69]
Bjordal 23 27 91 (10-228) 89 [72-96] 9 [6-12] 28 37 [22-56]
Førdefjorden 23 59 121 (24-718) 80 [68-88] 18 [13-28] 137 44 [32-57]
Måløy 24 45 150 (30-794) 89 [77-95] 22 [16-30] 81 60 [45-73]
Tabell 8. Infestasjon av lakselus på sjøørret i PO 4. Se Tabell 1 for forklaring av verdiene.

Da midtpunkt for utvandring i PO4 er uke 20, er undersøkelsene tatt ukene 22-24 ca. 2-4 uker etter midtpunkt for smoltutvandring. Det tar derfor ca. 13 dager fra påslag av kopepoditter til de er utviklet til preadulte. De fastsittende stadiene dekker derfor det akkumulerte smittepresset fra omtrent midtpunkt for utvandring til ca. 2 uker etter dette, de bevegelige dekker perioden før denne, gitt at fisken har stått i sjøen i denne perioden. I Bjordal og Maurstadvika var det relativt likt antall bevegelige og fastsittende lus på fisken i hhv. ukene 23 og 24 (Figur 25). I Førdefjorden var det noe mer fastsittende enn bevegelige lus. I Nordhordland var det generelt mer lus på fisken, og fordelingen av lus var relativt lik mellom antall fastsittende og bevegelige. Gitt at fisken har stått i sjøen i denne perioden indikerer dette ett relativt høyt smittepress både før og etter midtpunkt for utvandring.

Resultatene er vist som boksplott
Figur 25. Antall lakselus (A), relativt antall lus (antall lus/gram kroppsvekt) (B) og antall lakselus fordelt på fastsittende og bevegelige stadier (C) fra sjøørret på stasjonene i PO4.

 

I Nordhordland ble det estimert høy dødelighet på rusefanget sjøørret (Figur 26). På den ytterste stasjonen i Sognefjorden (Bjordal) ble det estimert moderat (29 [15-42] %), på grensen til høy dødelighet i uke 23. Både i Sunnfjord (Førdefjorden, uke 23) og Nordfjord (Måløy, uke 24) ble det estimert høy dødelighet med hhv. 32 [23-42] % og 39 [29-50] % lakselusrelatert dødelighet. Overvåkingen i 2025 bekrefter derfor at det er mye lus på sjøørret i dette området, tilsvarende som observert alle årene fra 2016.

Estimert dødeloghet er vist i figurer, en figur for hvert år fra 2016 og hver stasjon.

 

Estimert dødeloghet er vist i figurer, en figur for hvert år fra 2016 og hver stasjon.
Figur 26. Estimert luseindusert dødelighet på rusefanget sjøørret med 95% konfidensintervaller. Alle beregningene er basert på all fisk fanget og alle lusestadier. Antall undersøkt hver uke er angitt i figuren. Øverste figur viser Nordhordland og Sognefjorden, nederste Sunnfjord og Nordfjord.

 

Tråldata sjøørret

Det ble i 2025 tatt 37 sjøørret i trålen, de fleste hadde lus (97%), med en høy intensitet (32 lus/fisk) (Tabell 9), som gjør at en stor andel av fisken (73%) har så mye lus at den sannsynligvis er negativt påvirket av lakselus.

n Vekt (range) Prevalens [KI] Intensitet [KI] Maks n lus % >0.1 rel.int.
37 116 (39-333) 97 [86-100] 32 [23-46] 143 73 [57-85]
Tabell 9. Infestasjon av lakselus på trålfanget sjøørret i PO 4. Se Tabell 1 for forklaring av verdiene.

Tråldata postsmolt laks

Det ble i 2025 trålt etter postsmolt av laks i Sognefjorden fra 10. mai til 13. mai (2 dager i uke 19, 3,5 dager i uke 20), deretter fra 20. mai til 3. juni (6 dager i uke 20, hele uke 21 og samt to dager inn i uke 23). Oppholdet i tråling skyldes tekniske problemer.

Fangsten var svært dårlig, det ble totalt bare fanget 13 fisk som kan brukes i analysene (Figur 27). Årsaken er ikke kjent, men om situasjonen er tilsvarende som i Bokn og Hardangerfjorden, kan trålingen ha startet noe sent slik at fisken har passert trålområdet får trålingen ble igangsatt, eller fisken har passert i perioden med de tekniske problemene tidlig i trålperioden. Men, siden laksen trenger 10-14 dager fra de innerste elvene til trålområdet, kan vi ikke se bort ifra at fisken kan ha utvandret så sent at den har passert trålområdet etter at trålingen ble avsluttet 3. juni.

Fangsten er vist som linje i et figur fra første til siste tråldato.
Figur 27. Kumulativ fangst av utvandrende postsmolt av laks i Sognefjorden i 2025. Det er ikke trålt i hele perioden, jfr. teksten.

 

Alle tråltrekkene i Sognefjorden er tatt relativt langt ute i fjorden (Figur 28), og fisken trenger derfor noen dager fra elvene før de kommer inni dette området.

Tråltrekkene er vist som linjer i kart, et kart for hver uke. Linjene er farget fra svart til gul med økende fangst.
Figur 28. Tråltrekkene etter utvandrende postsmolt laks i Sognefjorden 2025, hvor farge indikerer fangst .

 

Det lave antall fisk fanget gjør at det er knyttet stor usikkerhet til resultatene (Tabell 10).

Uke n Vekt (range) Prevalens [KI] Intensitet [KI] Maks N lus % >0.1 rel.int. [KI]
19 4 23 (13-34) 100 [51-100] 3 [2-5] 6 75 [30-99]
20 2 20 (20-21) 100 [34-100] 5 [2-5] 8 50 [3-97]
21 3 22 (17-27) 0 [0-56] - - 0 [0-56]
22 4 26 (22-30) 50 [15-85] 1 [1-1] 1 0 [0-49]
Tabell 10. Infestasjon av lakselus på utvandrende laksesmolt i Sognefjorden. Se Tabell 1 for forklaring av verdiene. Merk at det bare ble trålt 2,5 dager i uke 19, 3,5 dager i uke 20 og 6 dager i uke 21 mens uke 22 inkluderer 2 dager inn i uke 23 (da uten fangst av laks).

For sammenligningens skyld viser vi estimert dødelighet for fisk fanget de ulike ukene, men det lave antall fanget gjør estimatene svært usikre (Figur 29).

Estimatene på dødelighet er vist med en figur for hvert år siden 2016, hvor et estimat for hver uke i hvert år er vist.
Figur 29. Estimert lakselusindusert dødelighet (med konfidensintervaller) som snitt av all trålfanget vill postsmolt av laks fanget hver uke i Sognefjorden. Antall undersøkt hver uke er angitt i figuren. Merk det lave antallet i 2025.

 

Ser en på snittet for hele trålperioden estimeres det moderat (21 [5-47] %) lakselusrelatert dødelighet, men merk lavt antall fisk (n=13) (Figur 30).

Estimatene på dødelighet er vist med en figur for alle årene siden 2016. For hvert år er det også vist estimatene med høye eller lave tålegrenser.
Figur 30. Estimert lakselusindusert dødelighet (med konfidensintervaller) som snitt av all fisk fanget beregnet med ulike toleransegrenser på trålfanget vill postsmolt av laks.

 

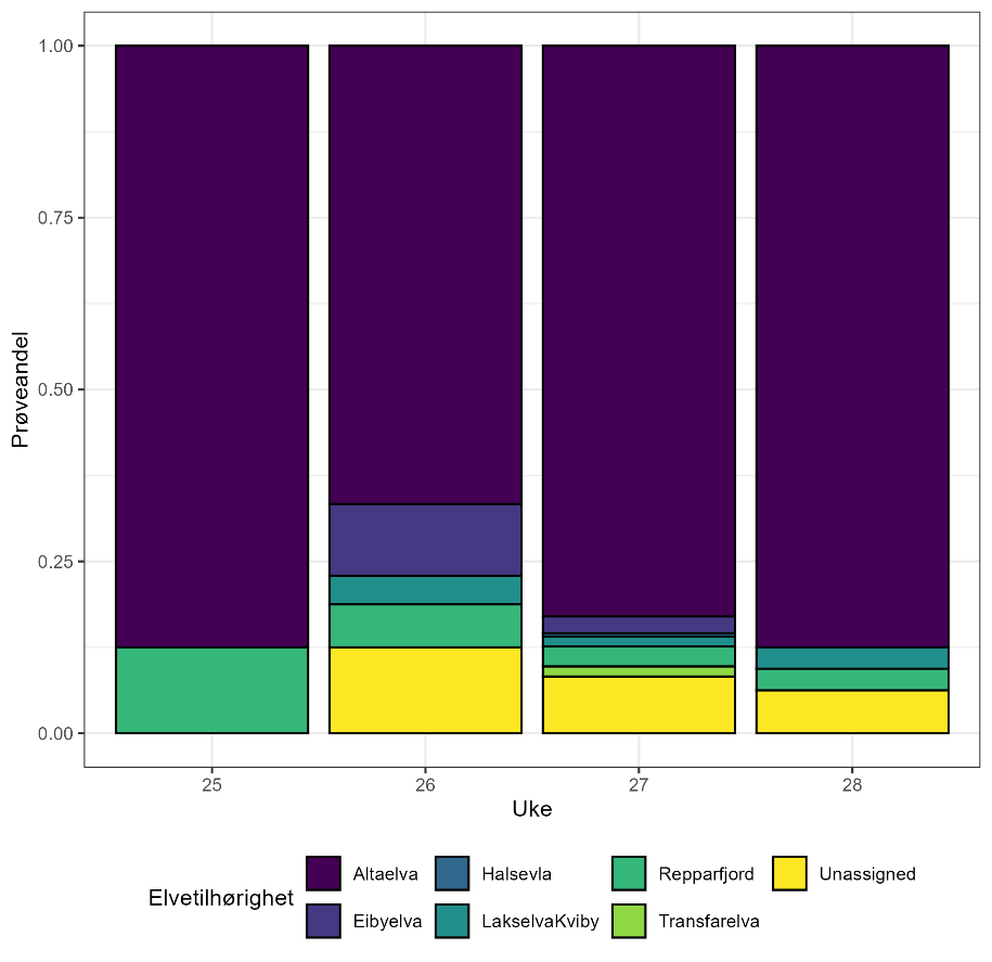
Det er gjort tilhørighet til elv analyser også fra Sognefjorden (Figur 31). Det er ikke fanget fisk fra den største elven i området (Lærdal).

Andel av fangsten som kommer fra ulike elver er vist i ulike farger for de ulike fangstukene, hvor hver søyle summerer opp til 100%
Figur 31. Fordelingen av trålt postsmolt av laks fra de ulike elvene i produksjonsområdet. Merk lavt antall.

 

Det estimeres lav dødelighet på trålfanget postsmolt fra de indre elvene i 2025 (Figur 32), høy på postsmolt fra de indre elvene. Merk lavt antall.

Estimatene på dødelighet er vist med en figur for hvert år siden 2016. For hvert år er det vist estimatene der elvene er inndelt i regioner.
Figur 32. Estimert lakselusindusert dødelighet (med konfidensintervaller) på trålfanget vill postsmolt av laks tilordnet hjemelv. Antall er angitt i figuren. Elvene er gruppert i regioner. De indre omfatter Mørkrids og Nærøy, mens ytre inkluderer Dale og Ytredals.

 

3.5 - PO 5 Stadt til Hustadvika

I PO5 estimeres det høy lakselusindusert dødelighet både på den rusefangete sjøørreten ved Ørsta ytterst i Storfjorden uke 24, og på både den sørlige (Vatnefjord) og nordlige (Frænfjorden) stasjonen i Romsdalsfjordsystemet ukene 23 eller 24. Fangsten var god på alle tre stasjonene. Data fra ruse og garnfangst indikerer derfor høy lakselusindusert dødelighet. Det ble fanget 28 sjøørret i trålen i Romsdalsfjorden, alle hadde lus og intensiteten var høy. Midtpunkt for utvandring er uke 21, og stasjonene er derfor undersøkt 2-3 uker etter dette, og vurderes som dekkende for utvandringen. Antall og stadiumfordeling av lus indikerer et høyt smittepress før midtpunkt for utvandring, og et høyere smittepress i etterkant. Tettheten av kopepoditter er tilsvarende som i 2024, men en jevn økning i mai, og smittekartene indikerer høyt smittepress i store deler av området, og øker på slutten av utvandringsperioden. Usikkerheten vurderes som middels, basert på begrenset antall stasjoner i Romsdalsfjorden og det bare en stasjon i Storfjordsystemet.

Det ble trålt i Romsdalsfjorden fra 16. mai til 12. juni (ukene 20-23). Bare 9 laks som kan brukes i analysene ble fanget. For hele trålperioden uavhengig av uke estimeres lav (6 [0-17] %) dødelighet. Usikkerheten vurderes som stor på grunn av lav fangst samt at det i tillegg ikke tråles i Storfjorden.

Det er ikke satt ut vaktbur i dette området i 2025. 

Ruse og garnfangst

I produksjonsområde 5 er Ørsta ytterst i Storfjorden og Vatne- og Frænfjorden i Romsdalsfjorden undersøkt med ruse og garn (Figur 33). Gjennomsnittlig midtpunkt for utvandring er 20. mai (uke 21 i 2025).

Kart som viser hvor rusestasjonen er plassert.
Figur 33. Stasjonene undersøkt med ruse eller garn i PO5 i 2025. Grønne felt viser de nasjonale laksefjordene.

 

Ørsta og Vatnefjorden ble undersøkt uke 24 mens Frænfjorden ble undersøkt uke 23. Midtpunkt for utvandring er uke 21, og stasjonene er derfor undersøkt 2-3 uker etter dette. Fangsten var god på alle tre stasjonene. Nær all fisken på alle stasjonene hadde lus (prevalens 97-100 %), og intensiteten var høy (37-47 lus/fisk (Tabell 11). For stasjonene i utkanten av Romsdalsfjordsystemet, var intensiteten noe høyere på sørsiden (Vatnefjorden) enn i Frænfjorden. For alle stasjonen estimeres at nær all fisken vil være negativt påvirket av lakselus i 2025 (Tabell 11).

Stasjon Uke n Vekt (range) Prevalens [KI] Intensitet [KI] Maks n lus % >0.1 rel.int.
Ørsta 24 52 66 (32-504) 100 [93-100] 43 [38-50] 150 98 [90-100]
Vatnefjord 24 36 102 (13-380) 97 [86-100] 47 [35-61] 161 97 [86-100]
Frænfjorden 23 53 39 (17-146) 100 [93-100] 37 [33-43] 94 98 [90-100]
Tabell 11. Infestasjon av lakselus på sjøørret i PO 5. Se Tabell 1 for forklaring av verdiene.

Stadiefordelingen av lus på den rusefangete sjøørreten viser at på alle stasjonene var det ett høyere antall fastsittende enn bevegelige lus i ukene stasjonene ble undersøkt (Figur 34). Temperaturen ukene 21-23 i dette området er i overkant av 12°C, og det tar derfor ca. 14 dager fra lusen fester seg til den har utviklet seg til preadult. Gitt at fisken har utvandret minst to uker før median dato for utvandring, indikerer antall og stadiumfordeling av lus ett relativt høy smittepress før midtpunkt for utvandring, og noe høyere smittepress etter dette.

Stolpediagram
Figur 34. Antall lakselus (A), relativt antall lus (antall lus/gram kroppsvekt) (B) og antall lakselus fordelt på fastsittende og bevegelige stadier (C) fra sjøørret på stasjonene i PO5.

 

Det estimeres høy lakselusindusert dødelighet både på den rusefangete sjøørreten ved Ørsta uke 24 (Figur 35), og på begge stasjonene i Romsdalsfjordsystemet ukene 23 eller 24 (Figur 36). Resultatene samsvarer med tidligere år. Overvåkingen i 2025 samsvarer \med tidligere års observasjoner og indikerer at det er mye lus på sjøørret i dette området.

Estimert dødeloghet er vist i figurer, en figur for hvert år fra 2016 og hver stasjon.
Figur 35. Estimert luseindusert dødelighet på rusefanget sjøørret med 95% konfidensintervaller. Alle beregningene er basert på all fisk fanget og alle lusestadier. Antall undersøkt hver uke er angitt i figuren.

 

Tråldata sjøørret

Det ble i 2025 tatt 28 sjøørret i trålen, alle hadde lus (prevalens 100%), og med en svært høy intensitet på 58 lus/fisk (Tabell 12). Det estimeres fra disse dataene at 79% av sjøørreten har så mye lus at den er negativt påvirket.

n Vekt (range) Prevalens [KI] Intensitet [KI] Maks n lus % >0.1 rel.int.
28 251 (32-674) 100 [88-100] 58 [44-76] 179 79 [60-90]
Tabell 12. Infestasjon av lakselus på trålfanget sjøørret i Romsdalsfjorden 2025. Se Tabell 1 for forklaring av verdiene.

Tråldata postsmolt laks

Det ble trålt i Romsdalsfjorden fra 16. mai til 12. juni (ukene 20-23). Fangsten var som i Sognefjorden dårlig (Figur 36). Tidligere års undersøkelser har oftest vist størst fangst i ukene 20, 21 eller 22. I 2023 var størst fangst uke 22, mens i 2024 var størst fangst i uke 20. Vi vet ikke hvorfor fangsten var så lav, metodene er som i fjor, og tidsperioden er som tidligere. Men ofte fanges det lite fisk siste fangstuken, og dette kan indikere at trålingen kan ha startet noe sent for å fange opp første del av utvandringen.

Fangsten er vist som linje i et figur fra første til siste tråldato.
Figur 36. Kumulativ fangst av utvandrende postsmolt av laks i Romsdalsfjorden 2025.

 

Trålhalene ble tatt i ytre deler av Romsdalsfjorden (Figur 37), og anses som relativt godt egnet til å vurdere smittepress på laksesmolten, selv om smolten må vandre gjennom område med lus utenfor der det tråles før den er ute ved kysten.

Tråltrekkene er vist som linjer i kart, et kart for hver uke. Linjene er farget fra svart til gul med økende fangst.
Figur 37. Tråltrekkene etter utvandrende postsmolt laks i Romsdalsfjorden 2025, hvor farge indikerer fangst. Grønt felt viser den nasjonale laksefjorden.

 

Resultateten fra trålingen i 2025 er oppsummert i Tabell 13, men antall fanget var så lavt at resultatene har stor usikkerhet.

Uke n Vekt (range) Prevalens [KI] Intensitet [KI] Maks N lus % >0.1 rel.int. [KI]
20 4 16 (11-21) 25 [1-70] 4 [4-4] 4 25 [1-70]
21 2 14 (13-15) 0 [0-66] - - 0 [0-66]
22 3 12 (11-13) 33 [2-79] 1 [1-1] 1 0 [0-56]
23 0          
Tabell 13. Infestasjon av lakselus på utvandrende laksesmolt i Romsdalsfjorden 2025. Merk lav N alle ukene. Se Tabell 1 for forklaring av verdiene.

Dødeligheten i ukene 20-23 er vist i figur 38, lavt antall gis svært stor usikkerhet i 2025.

Estimatene på dødelighet er vist med en figur for hvert år siden 2016, hvor et estimat for hver uke i hvert år er vist.
Figur 38. Estimert lakselusindusert dødelighet (med konfidensintervaller) som snitt av all trålfanget vill postsmolt av laks fanget hver uke i Romsdalsfjorden. Antall undersøkt hver uke er angitt i figuren.

 

For hele trålperioden uavhengig av uke estimeres lav (6 [0-17] %) dødelighet (Figur 39), men den dårlige fangsten gir svært stor usikkerhet i estimatet.

Estimatene på dødelighet er vist med en figur for alle årene siden 2016. For hvert år er det også vist estimatene med høye eller lave tålegrenser.
Figur 39. Estimert lakselusindusert dødelighet (med konfidensintervaller) som snitt av all fisk fanget beregnet med ulike toleransegrenser trålfanget vill postsmolt av laks.

 

Det er gjort genetisk tilhørighetsanalyse også i 2025 (Figur 40). Antall som kan analyseres er lavt.

Andel av fangsten som kommer fra ulike elver er vist i ulike farger for de ulike fangstukene, hvor hver søyle summerer opp til 100%
Figur 40. Fordelingen av trålt postsmolt av laks fra de ulike elvene i produksjonsområdet.

 

Det lave antall fanget gjør at usikkerheten til dødelighetsestimatene for elvene inndelt i regioner blir svært høy (Figur 41), og omtales derfor ikke videre.

Estimatene på dødelighet er vist med en figur for hvert år siden 2016. For hvert år er det vist estimatene der elvene er inndelt i regioner.
Figur 41. Estimert lakselusindusert dødelighet (med konfidensintervaller) på trålfanget vill postsmolt av laks tilordnet hjemelv. Elver som kan tilordnes er vist i kartet til høyre. Antall er angitt i figuren. Elvene er gruppert i regioner. Østlige elver inkluderer Eira, Mittet og Visa, nordlige Oppdøls, Os og Røa, mens sørlige inkluderer Skorg, Tressa og Rauma.

 

3.6 - PO 6 Nordmøre og Sør-Trøndelag

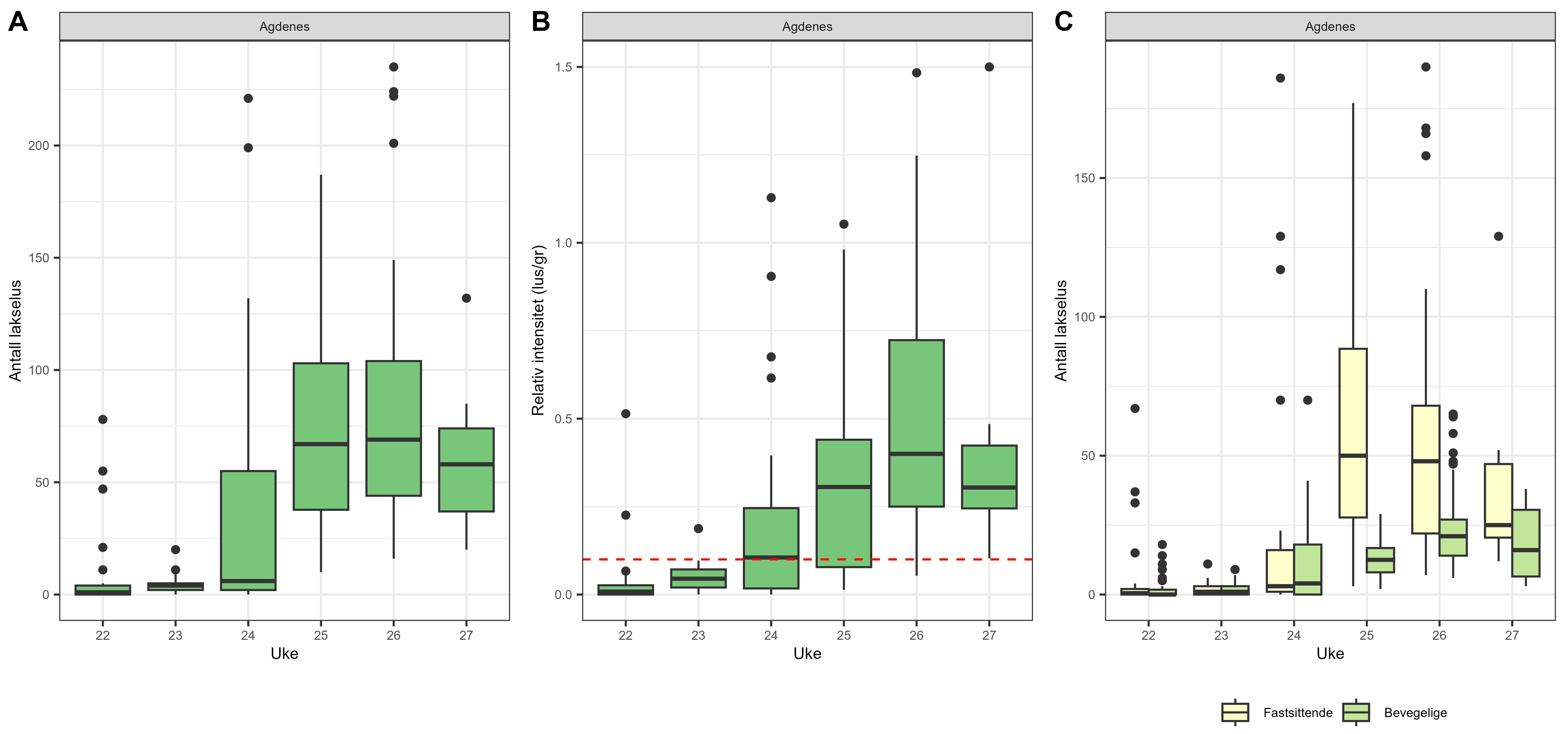
Data fra ruse og garnfangst fra like etter smoltutvandringen indikerer lav lakselusindusert dødelighet for sjøørret fanget ved Agdenes ukene 22-23, høy ukene 24-27. Undersøkelsene startet uken etter midtpunkt for utvandring, og anses relativt dekkende for utvandringsperioden for laksen fra Trondheimsfjorden. Antall og fordeling av lus indikerer et høyt smittepress fra omtrent midtpunkt for utvandring. Dette samsvarer med at antall kopepoditter var relativt stabilt fra slutten av april og til andre uken i mai, før det økte en del og holdet seg på dette nivået til omtrent midtpunkt for utvandring da det økte kraftig. Smittepresskartene som viser fordelingen av lus indikerer høyest smittepress på Nordmøre ukene før midtpunkt, men senere et økende smittepress ved Agdenes og rundt Hitra og Frøya. Data fra rusefangst indikerer derfor høy lakselusindusert dødelighet. Usikkerheten anses som stor da det bare er undersøkt en stasjon, og denne dekker ikke områder med høyest tetthet av lakselus, og dekker ikke Nordmøre.

Det er ikke trålt etter utvandrende postsmolt av laks, eller satt ut vaktbur i dette området i 2025.

Ruse og garnfangst

I produksjonsområde 6 har vi i 2025 undersøkt Agdenes sammenhengende ukene 22 til 27 (Figur 42). Gjennomsnittlig midtpunkt for utvandring er 24. mai (uke 21 i 2024).

Kart som viser hvor rusestasjonen er plassert.
Figur 42. Stasjonene undersøkt med ruse eller garn i PO6 i 2025. Grønne felt viser de nasjonale laksefjordene.

 

I PO6 er infestasjonen av lakselus på sjøørret undersøkt ved Agdenes med ruse ukene 22 - 27. Overvåkingen startet derfor uken etter midtpunkt for utvandring i dette området. Ved Agdenes var prevalens 63% uke 22, men økte til å omfatte størsteparten av fisken de neste ukene. Intensiteten var 5-11 lus de to første ukene, men var deretter > 49 lus/fisk (Tabell 14). Da midtpunkt for smoltutvandringen i dette området er uke 21, vurderes undersøkelse til å være dekkende for å fange opp smittepresset fra noe før midtpunkt for utvandring.

Stasjon Uke n Vekt (range) Prevalens [KI] Intensitet [KI] Maks n lus % >0.1 rel.int.
Agdenes 22 38 233 (43-1265) 63 [47-77] 11 [5-22] 78 5 [1-17]
  23 25 123 (32-936) 88 [70-96] 5 [3-7] 20 4 [0-20]
  24 21 146 (16-542) 86 [65-95] 49 [25-90] 221 52 [32-72]
  25 24 553 (43-2682) 100 [86-100] 74 [58-94] 187 67 [47-82]
  26 45 210 (54-1228) 100 [92-100] 81 [67-99] 235 93 [82-98]
  27 7 175 (88-401) 100 [65-100] 62 [40-94] 132 100 [65-100]
Tabell 14. Infestasjon av lakselus på sjøørret i PO 6. Se Tabell 1 for forklaring av verdiene.

Fordelingen av lus på sjøørreten var relativt jevnt fordelt mellom fastsittende og bevegelige lus de to første ukene (Figur 43). Deretter økte antall fastsittende lus betydelig og nådde en topp ukene 25-26, samtidig økte da antall bevegelig lus, men ikke like raskt. Antall og fordeling av lus indikerer et høyt smittepress etter omtrent midtpunkt for utvandring og høyt utover sommeren. Dette samsvarer med at antall kopepoditter var relativt stabilt fra slutten av april og til andre uken i mai, før det økte en del og holdet seg på dette nivået til omtrent midtpunkt for utvandring da det økte kraftig. Smittepresskartene som viser fordelingen av lus i PO6 indikerer høyest smittepress på Nordmøre ukene før midtpunkt, men høyere smittepress ved Trondheimsfjorden ved Agdenes og rundt Hitra og Frøya fra omtrent midtpunkt for utvandring.

Resultatene er vist som boksplott
Figur 43. Antall lakselus (A), relativt antall lus (antall lus/gram kroppsvekt) (B) og antall lakselus fordelt på fastsittende og bevegelige stadier (C) fra sjøørret på stasjonene i PO6.

 

Estimert lakselusrelatert dødelighet for sjøørreten fanget ved Agdenes er lav de to første ukene, men høy de fire siste (Figur 44). I tidsperioden 2016-2025 ser en som regel ett tilsvarende mønster, med en kraftig økning i antall lus og estimert dødelighet utover sommeren. I 2025 var det mindre lus rett etter midtpunkt for utvandring enn i 2023-2024. Overvåkingen i 2025 samsvarer med tidligere års observasjoner og indikerer at det er mye lus på sjøørret i dette området.

Estimert dødeloghet er vist i figurer, en figur for hvert år fra 2016 og hver stasjon.
Figur 44. Estimert luseindusert dødelighet på rusefanget sjøørret med 95% konfidensintervaller. Alle beregningene er basert på all fisk fanget og alle lusestadier. Antall undersøkt hver uke er angitt i figuren.

 

3.7 - PO 7 Nord-Trøndelag med Bindal

Ruse og garnundersøkelsene ukene 24–25 ved Sitter og på sør og nordsiden av Vikna indikerer høy lakselusindusert dødelighet. Undersøkelsene er gjort 1-2 uker etter midtpunkt for utvandring, og vurderes som dekkende for smittepresset rundt midtpunkt for utvandring. Påslagene er dominert av fastsittende lus, spesielt ved Sitter og Vikna nord. Antall og fordeling av lus indikerer derfor et betydelig smittepress både før og etter midtpunkt for utvandring. Tettheten av kopepoditter i PO7 økte svakt i mai, før det fra omtrent midtpunkt for utvandring 2. juni økte kraftig. Smittekartet sentrert rundt midtpunkt for utvandring viste størst utbredelse av smittepress i sørlige deler av området og på nordsiden av Vikna. Smittepresset vurderes derfor som høyt i området. Data fra ruse/garn indikerer derfor en høy lakselusindusert dødelighet. Observasjonene sammenfaller med modellert tetthet av lakselus, men dekker ikke de sørligste eller nordligste områdene. Usikkerheten vurderes derfor som middels.

Det er ikke trålt etter utvandrende postsmolt av laks, eller satt ut vaktbur i dette området i 2025.

Ruse og garnfangst

I dette produksjonsområdet er Sitter rett sør for innløpet til Namsenfjorden, samt nord og sørsiden av Vikna er undersøkt med garn og ruse (Figur 45). Gjennomsnittlig midtpunkt for utvandring er 2. juni (mandag i uke 23 i 2025).

Kart som viser hvor rusestasjonen er plassert.
Figur 45. Stasjonen undersøkt med ruse eller garn i PO7 i 2025. Grønne felt viser de nasjonale laksefjordene.

 

Stasjonen Sitter sør for innløpet til Namsfjorden ble undersøkt i med ruse i uke 24, mens stasjonene Vikna-sør og Vikna-nord ble undersøkt med ruse hhv. uke 25 og 24. Undersøkelsen er derfor tatt ca. 1-2 uker etter midtpunkt for utvandring i dette området. All undersøkt sjøørret hadde lus (prevalens var 100%). Intensiteten var 118 lus/fisk på sjøørret fanget ved Sitter, noe lavere (men høy) på sørsiden av Vikna (33 lus/fisk), og tilsvarende høy på sjøørreten på nordsiden av Vikna (144 lus/fisk) (Tabell 15). Andelen av fisken som estimeres til å være negativt påvirket av lus var derfor høy på alle tre stasjonene (> 69%).

Stasjon Uke n Vekt (range) Prevalens [KI] Intensitet [KI] Maks n lus % >0.1 rel.int.
Sitter 24 51 149 (29-1100) 100 [93-100] 118 [102-138] 305 94 [84-98]
Vikna-sør 25 52 237 (32-1781) 100 [93-100] 33 [26-41] 96 69 [56-80]
Vikna-nord 24 51 405 (36-1100) 100 [93-100] 144 [125-176] 524 92 [82-97]
Tabell 15. Infestasjon av lakselus på sjøørret i PO 7. Se Tabell 1 for forklaring av verdiene.

På alle tre stasjonene dominerer de fastsittende stadiene, størst dominans var på de to stasjonene med mest lus (Sitter og Vikna nord) (Figur 46). Temperaturen ukene 22-24 i PO7 var ca. 12 °C. Gitt at fisken har stått i sjøen i denne perioden, representerer antall fastsittende lus derfor akkumulert smittepress noe før midtpunkt for utvandringen fra området. Antall og fordeling av lus indikerer derfor at det har vært ett betydelig smittepress både før og etter midtpunkt for utvandring. For Sitter og Vikna Nord var smittepresset høyere fra omtrent midtpunkt for utvandring. Tettheten av kopepoditter i PO7 økte svakt i mai, før det fra omtrent midtpunkt for utvandring 2. juni økte kraftig. Smittekartet sentrert rundt midtpunkt for utvandring viste størst utbredelse av smittepress i sørlige deler av området og på nordsiden av Vikna. Smittepresset vurderes derfor som høyt i området.

Resultatene er vist som boksplott
Figur 46. Antall lakselus (A), relativt antall lus (antall lus/gram kroppsvekt) (B) og antall lakselus fordelt på fastsittende og bevegelige stadier (C) fra sjøørret på stasjonene i PO7.

 

Estimert dødelighet var høy ved alle stasjonene uke 24 eller 25 i 2025 (Figur 47). Overvåkingen i 2025 samsvarer med tidligere års observasjoner og indikerer at det er mye lus på sjøørret i dette området.

Estimert dødeloghet er vist i figurer, en figur for hvert år fra 2016 og hver stasjon.
Figur 47. Estimert luseindusert dødelighet på rusefanget sjøørret med 95% konfidensintervaller. Alle beregningene er basert på all fisk fanget og alle lusestadier. Antall undersøkt hver uke er angitt i figuren.

 

3.8 - PO 8 Helgeland til Bodø

Stasjonene Leirfjord, Meisfjorden, Sørfjorden og Gildeskål er undersøkt med garn/ruse. Data fra garn/ruse indikerer lav lakselusindusert dødelighet for sjøørreten ved Leirfjord uke 25, moderat for sjøørret ved Meisfjorden i uke 25, og høy ved Sørfjorden og Gildeskål uke 26. Undersøkelsen startet 2–3 uker etter midtpunkt for utvandring og vurderes som dekkende for smoltutvandringen. Utslippene, samt antall og fordeling av lakselus på sjøørreten, indikerer høyere smittepress etter enn før midtpunkt for utvandring, og lavere smittepress i Leirfjord og Meisfjord enn i Sørfjorden og Gildeskål. Smittekartet sentrert rundt midtpunkt for utvandring viser betydelig områder med lus helt sør i området, sør for Leirfjord og i ett område sør for Gildeskål. Data fra ruse/garn indikerer derfor høy lakselusindusert dødelighet. PO8 er et langstrakt produksjonsområde med betydelig variabilitet i fordelingen av lus. Observasjoner dekker et begrenset geografisk område, og ikke områdene med mest lus. Fjordene er stort sett relativt korte, men det er usikkert i hvilken grad fisken følger kysten. Vi vurderer derfor at kategoriseringen har stor usikkerhet.

Det er ikke trålt etter utvandrende postsmolt av laks, eller satt ut vaktbur i dette området i 2025.

Ruse og garnfangst

Det er foretatt ruse og garnfiske på stasjonene Leirfjord, Meisfjord, Sørfjord og Gildeskål i PO8 i 2025 (Figur 48). Gjennomsnittlig midtpunkt for utvandring er 7. juni (uke 23 i 2025).

Kart som viser hvor rusestasjonen er plassert.
Figur 48. Stasjonene undersøkt med ruse eller garn i PO8 i 2025. Grønne felt viser de nasjonale laksefjordene.

 

Andel av sjøørret med lus var lav ved Leirfjord (4%), men relativt høy på de tre øvrige stasjonene (77-96%) (Tabell 16). Intensiteten var lav på ved Leirfjord (1 lus/fisk), men relativt høy ved Meisfjorden (17 lus/fisk), Sørfjorden (29 lus/fisk) og Gildeskål (36 lus/fisk). Andelen av sjøørreten som estimers til å være negativt påvirket av lus er liten (0%) på stasjonen Leirfjord, men høy på de tre lengre nord i området (33-55 %).

Stasjon Uke n Vekt (range) Prevalens [KI] Intensitet [KI] Maks n lus % >0.1 rel.int.
Leirfjord 25 50 67 (31-450) 4 [1-13] 1 [1-1] 1 0 [0-7]
Meisfjorden 25-26 21 153 (23-1011) 90 [71-97] 17 [8-38] 120 33 [17-55]
Sørfjorden 26 53 92 (25-783) 77 [64-87] 29 [20-43] 166 55 [41-67]
Gildeskål 26-27 49 181 (30-918) 96 [86-99] 36 [24-54] 200 45 [32-59]
Tabell 16. Infestasjon av lakselus på sjøørret og sjørøye i PO 8. Se Tabell 1 for forklaring av verdiene.

Da midtpunkt for utvandring i dette området er uke 23, er stasjonen Leirfjord undersøkt ca. to uker etter dette, mens de øvrige er undersøkt hhv. 2-3, 3 og 3-4 uker etter midtpunkt for utvandring. Gitt at fisken har stått i sjøen før midtpunkt for utvandring, representerer påslag av fastsittende stadier smittepresset fra omtrent midtpunkt for utvandring, mens de bevegelige lusene representerer smittepresset før dette og for stasjonene undersøkt senest dekker de også perioden rundt midtpunkt for utvandring. Antall og fordeling av lakselus på sjøørreten (Figur 49) indikerer høyere smittepress etter enn før midtpunkt for utvandring, og at det er høyere smittepress i Sørfjord og Gildeskål enn i Leirfjord og Meisfjord. Antall kopepoditter i dette området viste en svak økning frem til ca. en uke før midtpunkt for utvandring, 7. juni. Deretter økte antallet frem til ca. 20. juni før det igjen økte kraftig. Smittekartene sentrert rundt midtpunkt for utvandring viser høyere tetthet helt sør i området, sør for Leirfjord og i tillegg ett område sør for Gildeskål. Stasjonene dekker derfor ikke områdene med høyest modellert smittepress.

Resultatene er vist som boksplott
Figur 49. Antall lakselus (A), relativt antall lus (antall lus/gram kroppsvekt) (B) og antall lakselus fordelt på fastsittende og bevegelige stadier (C) fra sjøørret og sjørøye på stasjonene i PO8.

 

I uke 25 estimeres det lav lakselusrelatert dødelighet for fisken fanget i Leirfjord (Figur 50). Denne stasjonen ligger i en nasjonal laksefjord, og resultatene er på linje med det som er observert på denne stasjonen fra 2016. Ved Meisfjorden estimeres det moderat luserelatert dødelighet uke 25-26, dette er noe lavere enn de to foregående årene. For Sørfjorden estimeres høy dødelighet, høyere enn i 2024. For sjøørreten ved Gildeskål estimeres høy dødelighet, denne stasjonen ble undersøkt 2018-2019, begge årene ble det som i år estimert høy dødelighet på sjøørreten. PO8 er et langstrakt produksjonsområde med betydelig variabilitet i fordelingen av lus. Overvåkingen i 2025 samsvarer i stor grad med tidligere års observasjoner på disse stasjonene og indikerer at det er mye lus på sjøørret i dette området.

Estimert dødeloghet er vist i figurer, en figur for hvert år fra 2016 og hver stasjon.
Figur 50. Estimert luseindusert dødelighet på rusefanget sjøørret/sjørøye med 95% konfidensintervaller. Alle beregningene er basert på all fisk fanget og alle lusestadier. Antall undersøkt hver uke er angitt i figuren.

 

3.9 - PO 9 Vestfjorden og Vesterålen

Data fra garn/ruse indikerer moderat lakselusindusert dødelighet på Steigen uke 26 og Eidsfjorden uke 27, høy på Lofoten-øst ukene 26-27. Stasjonene ble overvåket 2-3 uker etter midtpunkt for utvandring, og vurderes som dekkende for å fange opp smittepresset rundt midtpunkt for utvandring. Antall og fordeling av lus indikerer et relativt vedvarende moderat smittepress i Steigen og Eidsfjorden, noe høyere smittepress i Lofoten-øst også før midtpunkt for utvandring, men her øker smittepresset betydelig etter midtpunkt for utvandring. Utslippene av lus i dette området viser en betydelig økning av utslipp av lus fra midten av mai og ut juni, og kartene som viser tetthet av lus sentrert rundt midtpunkt for utvandring viser at Steigen og Lofoten-øst har noe høyere tetthet enn Eidsfjord. Kartene viser også at det er enkelte begrensede områder med høy tetthet av lus, og ruseundersøkelsen indikerer derfor moderat lakselusindusert dødelighet for området som helhet. Usikkerheten vurderes som stor. Selv om det er undersøkt tre stasjoner, er disse tatt noe sent i forhold til midtpunkt for utvandringen.

Det er ikke trålt etter utvandrende postsmolt av laks, eller satt ut vaktbur i dette området i 2025.

Ruse og garnfangst

I dette området har vi undersøkt stasjonene Steigen, Eidsfjord samt en ny stasjon i Lofoten (Lofoten-øst) (Figur 51) med ruse og garn hhv. ukene 26, 27 og 26-27. I dette produksjonsområdet estimeres gjennomsnittlig midtpunkt for utvandring 9. juni (mandag i uke 24 i 2025).

Kart som viser hvor rusestasjonen er plassert.
Figur 51. Stasjonen undersøkt med ruse eller garn i PO9 i 2025.

 

Andelen av fisk med lus var høy på alle tre stasjonene (> 84%) (Tabell 17). Intensiteten var 12 og 11 lus/fisk i Steigen og Eidsfjord, men betydelig høyere i Lofoten-Øst med 50 lus/fisk. For Steigen og Eidsfjord er intensiteten lavere enn i 2024.

Stasjon Uke n Vekt (range) Prevalens [KI] Intensitet [KI] Maks n lus % >0.1 rel.int.
Steigen 26 89 97 (28-823) 92 [85-96] 12 [9-16] 96 38 [29-49]
Eidsfjorden 27 24 323 (10-913) 92 [74-98] 11 [6-19] 56 8 [2-26]
Lofoten-Øst 26-27 25 161 (38-742) 84 [65-94] 50 [38-66] 139 72 [52-86]
Tabell 17. Infestasjon av lakselus på sjøørret og sjørøye i PO 9. Se Tabell 1 for forklaring av verdiene.

Midtpunkt for utvandringen i dette området er uke 24. Overvåkingen er derfor foretatt ca. 2-3 uker etter dette. Dette indikerer gitt at fisken har stått i sjøen at antall fastsittende lus representerer akkumulert smittepress fra omtrent midtpunkt for utvandring, de bevegelige før dette. Fordelingen av lus viser omtrent lik fordeling av fastsittende og bevegelig stadier i Steigen og Eidsfjord, men høyere andel av fastsittende i Lofoten-Øst (Figur 52). Antall og fordeling av lus indikerer derfor et relativt vedvarende moderat smittepress i Steigen og Eidsfjorden, noe høyere smittepress i Lofoten-Øst også før midtpunkt for utvandring, men her øker smittepresset betydelig etter midtpunkt for utvandring. Utslippene av lus i dette området viser en relativt jevnt men betydelig økning av utslipp av lus fra midten av mai og ut juni, og kartene som viser tetthet av lus sentrert rundt midtpunkt for utvandring viser enkelte begrensede områder med høy tetthet, og at Steigen og Lofoten-øst har noe høyere tetthet enn Eidsfjord.

Resultatene er vist som boksplott
Figur 52. Antall lakselus (A), relativt antall lus (antall lus/gram kroppsvekt) (B) og antall lakselus fordelt på fastsittende og bevegelige stadier (C) fra sjøørret og sjørøye på stasjonene i PO9.

 

Det estimeres moderat lakselusindusert dødelighet på sjøørret og sjørøye i både Steigen (23 [17-31] %) uke 26 og Eidsfjorden (11 [4-25] %) uke 27 (Figur 53), svært høy i Lofoten-Øst (72 [50-84] %). For Steigen er estimatene betydelig lavere enn i 2024, men på linje med hva som er observert på denne stasjonen tidligere år rundt uke 26. I Eidsfjorden er estimatene betydelig lavere enn hva som ble observert i 2024. Lofoten-Øst er ikke tidligere undersøkt.

Estimert dødeloghet er vist i figurer, en figur for hvert år fra 2016 og hver stasjon.
Figur 53. Estimert luseindusert dødelighet på rusefanget sjøørret/sjørøye med 95% konfidensintervaller. Alle beregningene er basert på all fisk fanget og alle lusestadier. Antall undersøkt hver uke er angitt i figuren.

 

3.10 - PO 10 Andøya til Senja

Stasjonene Løksebotn og Finnsnes er undersøkt med garn/ruse uke 28. Estimert lakselusrelatert dødelighet er moderat i Løksebotn og høy ved Finnsnes. Undersøkelsene startet ca. 4 uker etter midtpunkt for utvandring. Antall og fordeling av lus på sjøørret/røye viser høyere smittepress, spesielt ved Finnsnes, etter midtpunkt for utvandring. Antall kopepoditter i området har mer en doblet seg i løpet av juni, og smittekartene som dekker midtpunkt for utvandring indikerer at områdene med forhøyet tetthet er større etter midtpunkt for utvandring. Ruse og garnfangst indikerer derfor moderat dødelighet for området som helhet. Det er undersøkt tre stasjoner som dekker smittepresset i området sent i sesongen, og dekker områdene med både lavt og høyt smittepress. Vi anser derfor at kategoriseringen har middels usikkerhet.

Det er ikke trålt etter utvandrende postsmolt av laks, eller satt ut vaktbur i dette området i 2025.

Ruse og garnfangst

I dette området har vi undersøkt stasjoner ved Løksebotn og Finnsnes ruse og garn (Figur 54). Gjennomsnittlig midtpunkt for utvandring i dette området er 13. juni (uke 24 i 2025).

Kart som viser hvor rusestasjonen er plassert.
Figur 54. Stasjonene undersøkt med ruse eller garn i PO10 i 2025. Grønt felt viser den nasjonale laksefjorden.

 

Fangstene har vært gode. Storparten av sjøørret/sjørøye fanget ved både Løksebotn og Finnsnes hadde lus (80-82%), og gjennomsnittlig intensitet var moderat (12 lus/fisk) ved Løksebotn men høy ved Finnsnes (69 lus/fisk) (Tabell 18). Grunnet forskjeller i fiskestørrelsen er andel av populasjonene som estimeres til å være negativt påvirket av lus 45 % på begge stasjonene.

Stasjon Uke n Vekt (range) Prevalens [KI] Intensitet [KI] Maks n lus % >0.1 rel.int.
Løksebotn 28 33 62 (27-207) 82 [66-91] 12 [7-28] 114 45 [30-62]
Finnsnes 28 49 193 (25-913) 80 [66-89] 69 [46-101] 337 45 [32-59]
Tabell 18. Infestasjon av lakselus på sjøørret og sjørøye i PO 10. Se Tabell 1 for forklaring av verdiene.

Fordelingen av lus på fisken fanget ved Løksebotn og Finnsnes i uke 28 viser at fastsittende lus dominerer (Figur 61). Undersøkelsen er foretatt ca. 4 uker etter estimert midtpunkt for utvandring. Det er derfor de bevegelige som er mest representativ for smittepresset frem til omtrent en uke etter midtpunkt for utvandring, mens de fastsittende representerer smittepresset fra ca. 1-2 uker etter estimert midtpunkt for utvandring (13. juni, uke 24). Gitt at fisken har vært i sjøen før midtpunkt for utvandring, indikerer antall og fordeling av lus ett lavt/moderat smittepress før og rundt utvandringen ved Finnsnes, trolig lavt ved Løksebotn. Smittepresset 1-2 uker etter midtpunkt har vært betydelig høyere på begge stasjonene. Resultatene samsvarer med tettheten av kopepoditter i området som har mer en doblet seg i løpet av juni, og smittekartene sentrert rundt midtpunkt for utvandring viser relativt store områder med forhøyet smittepress, spesielt rundt Harstad og rundt Senja. Løksebotn ligger i ett område med lavt smittepress, Finnsnes i et område med høyere. Dette indikerer at smittepresset fra noe etter midtpunkt for utvandring er høyt i dette området som helhet.

Resultatene er vist som boksplott
Figur 55. Antall lakselus (A), relativt antall lus (antall lus/gram kroppsvekt) (B) og antall lakselus fordelt på fastsittende og bevegelige stadier (C) fra sjøørret og sjørøye på stasjonene i PO10.

 

Estimert lakselusrelatert dødelighet er moderat i Løksebotn (20 [12-32] %) og høy ved Finnsnes (44 [31-56] %) (Figur 56).

Estimert dødeloghet er vist i figurer, en figur for hvert år fra 2016 og hver stasjon.
Figur 56. Estimert luseindusert dødelighet på rusefanget sjøørret/sjørøye med 95% konfidensintervaller. Alle beregningene er basert på all fisk fanget og alle lusestadier. Antall undersøkt hver uke er angitt i figuren.

 

3.11 - PO 11 Kvaløya til Loppa

I 2025 er en ny stasjon på Ytre Kvaløya ved Tromsø undersøkt for første gang. Oksfjord i Nordreisa, som har vært med i NALO tidligere år, ble i tillegg undersøkt i dette produksjonsområdet. Begge stasjonene ble undersøkt med ruse/garn i uke 27. Prøvefisket gjennomført i uke 27 indikerer høy lakselusindusert dødelighet ved Ytre Kvaløya (33 %), lavt i Oksfjord (1 %). Fisket er gjort ca. 2 uker etter midtpunkt for utvandring, og vurderes som dekkende for utvandringen. Antall og fordeling av lus indikerer et høyere smittepress etter midtpunkt for utvandring. Antall kopepoditter omtrent dobles i løpet av juni. Tettheten av kopepoditter sentrert rundt midtpunkt for utvandring viser et begrenset område med forhøyet tetthet av lakselus, hvorav Ytre Kvaløya ligger i ett slikt område, mens Oksfjord ligger i ett område med lav tetthet. Data fra ruse/garn indikerer derfor en lav lakselusindusert dødelighet for området som helhet. Fangstene har vært gode, tiden for undersøkelsen er dekkende for utvandringen, men det er bare undersøkt to stasjoner. Vi vurderinger at konklusjonen har middels usikkerhet.

Det er ikke trålt etter utvandrende postsmolt av laks, eller satt ut vaktbur i dette området i 2025.

Ruse og garnfangst

I dette området har vi undersøkt Ytre Kvaløya ved Tromsø og Nordreisa/Oksfjord (Figur 57) med ruse og garn uke 27. Gjennomsnittlig midtpunkt for utvandring er estimert til 19. juni (uke 25 i 2025).

Kart som viser hvor rusestasjonen er plassert.
Figur 57. Stasjonene undersøkt med ruse eller garn i PO11 i 2025. Grønne felt viser de nasjonale laksefjordene.

 

Ved Ytre Kvaløya uke 27 hadde mesteparten av fisken lus, med en ganske høy gjennomsnittlig intensitet (Tabell 19). I Oksfjord uke 27 hadde relativt moderat antall fisk lus med, og med an lav gjennomsnittlig intensitet (5 lus/fisk). Snittvekten på fisken på begge stasjonene var relativt høy. Andelen av fisken som vurderes å være negativt påvirket av lus var relativt høy ved Ytre Kvaløya (40%), lav i Oksfjord (0 %).

Stasjon Uke n Vekt (range) Prevalens [KI] Intensitet [KI] Maks n lus % >0.1 rel.int.
Ytre Kvaløya 27 42 249 (42-966) 98 [88-100] 31 [20-47] 172 40 [27-56]
Oksfjord 27 42 329 (11-1218) 64 [49-77] 5 [3-12] 47 0 [0-8]
Tabell 19. Infestasjon av lakselus på sjøørret og sjørøye i PO 11. Se Tabell 1 for forklaring av verdiene.

Fordelingen av lus på sjøørret og røye fanget ved Ytre Kvaløya viser at de fastsittende stadiene dominerer uke 27, smittepresset før dette har vært relativt lavt (Figur 58). I Oksfjord er mønsteret det samme, men det er generelt mindre lus her. Undersøkelsen er foretatt ca. 2 uker etter estimert midtpunkt for utvandring 19. juni, uke 25. Det er derfor de bevegelige som er mest representativ for smittepresset frem til noe før midtpunkt for utvandring, mens de fastsittende er mer representative for smittepresset etter estimert midtpunkt for utvandring. Antall og fordeling av lus viser derfor ett økende smittepress etter midtpunkt for utvandring. Observasjonene samsvarer med at antall kopepoditter i området omtrent dobles fra midten av mai og ut juli, omtrent som i 2024. Smittekartene sentrert rundt midtpunkt for utvandring viser enkelte områder med forhøyet smittepress, stasjonen ved Ytre Kvaløya ligger i ett av disse, mens Oksfjord ligger i et område med lavt smittepress. Utbredelsen av områder med forhøyet smittepress er begrenset. Dette indikerer at smittepresset rundt midtpunkt for utvandring er relativt lavt i dette området som helhet.

Resultatene er vist som boksplott
Figur 58. Antall lakselus (A), relativt antall lus (antall lus/gram kroppsvekt) (B) og antall lakselus fordelt på fastsittende og bevegelige stadier (C) fra sjøørret og sjørøye på stasjonene i PO11. De nærliggende stasjonene Straumfjord og Oksfjord er her slått sammen.

 

Estimert dødelighet på sjøørret/røye i Nordreisa var lavt (1 [0-2]] %), Ytre Kvaløya ved Tromsø høy (33 [22-46] %) (Figur 59). For Oksfjord er dette lavere enn i 2024.

Estimert dødeloghet er vist i figurer, en figur for hvert år fra 2016 og hver stasjon.
Figur 59. Estimert luseindusert dødelighet på rusefanget sjøørret/sjørøye med 95% konfidensintervaller. Alle beregningene er basert på all fisk fanget og alle lusestadier. Antall undersøkt hver uke er angitt i figuren.

 

3.12 - PO 12 Vest Finnmark

I PO12 er tre stasjoner undersøkt med ruse eller garn, Bergsfjord uke 27-28, samt Talvik og Skillefjord i Altafjorden uke 28. Undersøkelsene indikerer lav dødelighet på alle de tre undersøkte stasjonene. Antall og fordelingen av fastsittende og bevegelige lus indikerer lavt smittepress i starten av smoltutvandringen, men økende fra midtpunkt for gjennomsnittlig midtpunkt for utvandring. Dette samsvarer med antall kopepoditter i området, som viser en økning kort tid etter midtpunkt for utvandring. Smittekartene for området sentrert rundt midtpunkt for utvandring viser at utbredelsen av områder med forhøyet smittepress er begrenset. I tillegg er det tatt 9 ørret i trålingen i Altafjorden, få av disse hadde lus, og antall lus var lavt. Observasjonene indikerer derfor en kategorisering av området i lav lakselusrelatert dødelighet i 2025. Fangstene har vært gode, og undersøkelsen er foretatt omtrent 1-2 uker etter midtpunkt for utvandringen og vurderes å dekke utvandringen relativt godt. Grunnet få stasjoner, ingen i de østlige delene av området, vurderes usikkerheten som middels.

I 2025 ble det trålt i perioden fra 19. juni til 10. juli (4 dager i uke 25, ukene 26-27, og 4 dager i uke 28). Fangsten var relativt god, størst fangst var i uke 27, dernest uke 26. Det estimeres lav lakselusrelatert dødelighet alle ukene, og for 2025 som helhet estimeres lav (0%) lakselusrelatert dødelighet. Fisken er tilordnet hjemelv, de fleste er fra Altaelva, noen fra Repparfjordelva. Det estimeres lav dødelighet på postsmolt fra elver i Alta- og Repparfjord. Tråldata indikerer lav lakselusindusert dødelighet i 2025. Fangsten var god, og fangstmønsteret indikerer at trålingen i tid har vært dekkende for smoltutvandringen i området. Trålområdet dekker de største elvene i området, og vedvarende lave estimerte dødeligheter, gjør at vi anser usikkerheten som liten.

Det er ikke satt ut vaktbur i dette området i 2025.

Ruse og garnfangst

I dette området er i 2025 lusesituasjonen undersøkt med ruse i en ny stasjon i Bergsfjord, samt Talvik og Skillefjord i Altafjordsystemet (Figur 60). Talvik ligger i en nasjonal laksefjord. I dette produksjonsområdet estimeres gjennomsnittlig midtpunkt for utvandring 28. juni (uke 26 i 2025).

Kart som viser hvor rusestasjonen er plassert.
Figur 60. Stasjonene undersøkt med ruse eller garn i PO12 i 2025. Grønne felt viser de nasjonale laksefjordene.

 

En stor andel av sjøørret og røye fanget i Bergsfjord ukene 27/28 hadde lus (79%), men intensiteten var relativt lav (5 lus/fisk) (Tabell 20). Ved Talvik i Altafjorden uke 28 hadde en relativt lav en del av fisken lus (41%), mens en større andel av fisken i Skillefjord hadde lus (83%), men på begge stasjonen var intensiteten relativt lav (3-6 lus/fisk). Andelen av fisken hvor en forventer har at lus har en negativ effekt er derfor lav i Bergsfjord og Talvik (3-5%), moderat i Skillefjord (15%).

Stasjon Uke n Vekt (range) Prevalens [KI] Intensitet [KI] Maks % >0.1 rel.int.
Bergsfjord 27-28 34 503 (67-980) 79 [63-90] 5 [4-7] 20 3 [0-15]
Talvik 28 64 82 (25-520) 41 [29-53] 3 [2-6] 23 5 [2-13]
Skillefjord 28 41 290 (37-945) 83 [69-91] 6 [5-7] 16 15 [7-28]
Tabell 20. Infestasjon av lakselus på sjøørret og sjørøye i PO 12. Se Tabell 1 for forklaring av verdiene.

Fordelingen av lus på fisken fanget på alle tre stasjonene viser en betydelig overvekt av de relativt nypåslåtte fastsittende stadiene, antall bevegelige er lavt på alle tre stasjonene (Figur 61). Midtpunkt for utvandring i dette området er uke 26, og overvåkingen er derfor foretatt ca. 1-2 uker etter dette. Gitt at fisken har vært i sjøen i disse periodene, vil antall fastsittende representere smittepresset fra noe før midtpunkt for utvandring, de bevegelige før dette igjen. Antallene er relativt lave, men resultatene viser en kraftig økning i smittepresset omtrent fra noe før estimert midtpunkt for smoltutvandring. Dette samsvarer med at antall kopepoditter i området var relativt stabile fra 10. juni til midtpunkt for utvandring, men nær doblet seg uken derpå. Smittekartene for området sentrert rundt midtpunkt for utvandring viser at utbredelsen av området med høyt smittepress er begrenset. Dette indikerer at smittepresset rundt midtpunkt for utvandring er lavt i dette området som helhet.

Resultatene er vist som boksplott
Figur 61. Antall lakselus (A), relativt antall lus (antall lus/gram kroppsvekt) (B) og antall lakselus fordelt på fastsittende og bevegelige stadier (C) fra sjøørret og sjørøye på stasjonene i PO12.

 

I 2025 estimeres det lav lakselusindusert dødelighet på sjøørret/sjørøye på alle tre stasjonene 1-2 uker (ukene 27-28) etter midtpunkt for utvandring i dette området (Figur 62). Bergsfjord er ikke tidligere undersøkt. For Talvik er resultatene omtrent om observert i den samme tidsperioden (uke 28) de fleste tidligere år (2016-2024), med unntak av i 2024. Skillefjord ble undersøkt 2016-2020, da ble det for tilsvarende tidsperiode estimert lav eller moderat dødelighet. Overvåkingen av lus på sjøørret og sjørøye i 2025 viser derfor at infestasjonen av lus vest i dette produksjonsområdet var lav i 2025, og i Altafjorden lavere enn hva som har vært observert enkelte tidligere år.

Estimert dødeloghet er vist i figurer, en figur for hvert år fra 2016 og hver stasjon.
Figur 62. Estimert luseindusert dødelighet på rusefanget sjøørret/sjørøye med 95% konfidensintervaller. Alle beregningene er basert på all fisk fanget og alle lusestadier. Antall undersøkt hver uke er angitt i figuren.

 

Tråldata sjøørret

Det ble i 2025 tatt 9 sjøørret i trålen i Altafjorden, både prevalens (22%) og intensitet (2 lus/fisk) er relativt lave (Tabell 21), og det estimeres at 0% av sjøørreten har så mye lus at den er negativt påvirket.

n Vekt (range) Prevalens [KI] Intensitet [KI] Maks n lus % >0.1 rel.int.
9 378 (106-613) 22 [6-55] 2 [1-2] 3 0 [0-30]
Tabell 21. Infestasjon av lakselus på trålfanget sjøørret i Altafjorden 2025. Se Tabell 1 for forklaring av verdiene.

Tråldata postsmolt laks

I 2025 ble det trålt i perioden fra 19. juni til 10. juli (4 dager i uke 25, ukene 26-27, og 4 dager i uke 28).

Fangsten var god, det ble totalt fanget 307 laks som kan brukes i analysene. Størst fangst var mellom 26. juni. til 7. juli, med betydelig lavere fangster før og etter dette (Figur 63). Dette kan indikere at trålperioden har vært dekkende for utvandringen fra elvene i området, hvor midtpunkt for utvandring er 28. juni (uke 26).

 

Fangsetn er vist som linje i et figur fra første til siste tråldato.
Figur 63. Kumulativ fangst av utvandrende postsmolt av laks i Altafjorden i 2025. Det er trålt 4 dager i både uke 25 og 28.

 

Alle tråltrekkene i Altafjorden er tatt fra noe inn i den nasjonale laksefjorden og ut Stjernsundet (Figur 64).

Tråltrekkene er vist som linjer i kart, et kart for hver uke. Linjene er farget fra svart til gul med økende fangst.
Figur 64. Tråltrekkene etter utvandrende postsmolt laks i Altafjorden 2025, hvor farge indikerer fangst .

 

Andelen av laks med lus (prevalens) økte fra 0 til 25% i løpet av trålperioden, mens intensiteten alle de tre siste ukene var 1 lus/fisk (Tabell 22). Andelen av fisk som estimeres til å være negativt påvirket av lus er derfor lav alle 4 ukene (0-3 %).

Uke n Vekt (range) Prevalens [KI] Intensitet [KI] Maks N lus % >0.1 rel.int. [KI]
25 8 21 (15-28) 0 [0-32] - - 0 [0-32]
26 51 21 (11-36) 4 [1-13] 1 [1-1] 1 0 [0-7]
27 216 23 (14-41) 6 [4-11] 1 [1-1] 2 0 [0-2]
28 32 23 (15-37) 25 [13-42] 1 [1-2] 3 3 [0-16]
Tabell 22. Infestasjon av lakselus på utvandrende laksesmolt i Altafjorden. Se Tabell 1 for forklaring av verdiene. Merk at det bare ble trålt 4 dager i uke 25 og 4 dager inn i uke 28.

Det estimeres lav lakselusrelatert dødelighet alle ukene (Figur 65), selv om det er en liten økning utover i sesongen. Dette er tilsvarende som alle tidligere år fra 2017 hvor det er trålt.

Estimatene på dødelighet er vist med en figur for hvert år siden 2016, hvor et estimat for hver uke i hvert år er vist.
Figur 65. Estimert lakselusindusert dødelighet (med konfidensintervaller) som snitt av all trålfanget vill postsmolt av laks fanget hver uke i Altafjorden. Antall undersøkt hver uke er angitt i figuren. Merk at det ikke er trålt i 2021 eller 2023-2024.

 

Ser en på snittet for hele trålperioden estimeres det lav (0 [0-0] %) lakselusrelatert dødelighet (Figur 66), tilsvarende som tidligere år.

Estimatene på dødelighet er vist med en figur for hvert år siden 2017, hvor et estimat for hver uke i hvert år er vist.
Figur 66. Estimert lakselusindusert dødelighet (med konfidensintervaller) som snitt av all laks fanget beregnet med ulike toleransegrenser på trålfanget vill postsmolt av laks.

 

Av de 307 postsmolt som er analysert er 269 tilordnet elv (88 %). Postsmolten av laks trålt i Altafjorden kommer hovedsakelig fra Altaelven (n=238), mens det er tatt 11 postsmolt fra Repparfjordelva (Figur 67).

Andel av fangsten som kommer fra ulike elver er vist i ulike farger for de ulike fangstukene, hvor hver søyle summerer opp til 100%
Figur 67. Fordelingen av trålt postsmolt av laks fra de ulike elvene i produksjonsområdet.

 

Elvene er inndelt i elvene fra Altafjorden (Alta, Eiby, Hals, Kviby og Transfar) og elvene fra Repparfjorden (Repparfjord). Det estimeres lav dødelighet (0 [0-0] %) på trålfanget postsmolt fra begge områdene i 2025 (Figur 68). Dette er tilsvarende som i 2020 og 2022.

Estimatene på dødelighet er vist med en figur for hvert år siden 2016. For hvert år er det vist estimatene der elvene er inndelt i regioner.
Figur 68. Estimert lakselusindusert dødelighet (med konfidensintervaller) på trålfanget vill postsmolt av laks tilordnet hjemelv. Antall er angitt i figuren. Elvene er gruppert i regioner.

 

3.13 - PO 13 Øst Finnmark

Undersøkelsen i Bugøyfjord ukene 27-28 med ruse og garn indikerer liten luserelatert dødelighet på sjøørret. Populasjonen av lus domineres stort av nypåslåtte fastsittende lus, og gitt at fisken fanget var i sjøen før midtpunkt var smittepresset før midtpunkt for utvandring lavere enn etter. Da det er liten økning i antall kopepoditter, og smittekartene ikke indikerer områder med forhøyet smittepress rundt midtpunkt for smoltutvandring, vurderes det også for området som helhet lav lakselusindusert dødelighet. Fangstene var gode. Undersøkelsen er foretatt 1-2 uker etter midtpunkt for utvandringen og vurderes å dekke utvandringen relativt godt. Bare er en stasjon i området er undersøkt, men da det er liten oppdrettsaktivitet og utslippene er lave, vurderes usikkerheten som liten.

Det er ikke trålt etter utvandrende postsmolt av laks, eller satt ut vaktbur i dette området i 2025.

Ruse og garnfangst

I dette området er lusesituasjonen i 2025 på sjøørret i Bugøyfjord undersøkt med ruse i uke 27-28 (Figur 69). Estimert gjennomsnittlig midtpunkt for utvandring er 27. juni (uke 26 i 2024).

Kart som viser hvor rusestasjonen er plassert.
Figur 69. Stasjonen undersøkt med ruse i PO13 i 2025. Grønne felt viser de nasjonale laksefjordene.

 

I 2025 ble Bugøyfjord undersøkt i ukene 27-28 (3.-8. juli). Størstedelen hadde lus (68%), men intensiteten var relativt lav med 4 lus/fisk (Tabell 23).

Stasjon Uke n Vekt (range) Prevalens [KI] Intensitet [KI] Maks % >0.1 rel.int.
Bugøyfjord 27-28 37 145 (28-872) 68 [51-80] 4 [3-5] 12 3 [0-14]
Tabell 23. Infestasjon av lakselus på sjøørret og sjørøye i PO 13. Se Tabell 1 for forklaring av verdiene.

Det er de fastsittende stadiene som dominerer, hvilket indikerer et økt smittepress 1-2 uker i forkant av når fisken ble fanget (Figur 70), dvs. rundt midtpunkt for utvandring av laks i dette produksjonsområdet. Antall og fordeling av lus på fisken indikerer generelt lavt smittepress spesielt før, men også 1-2 uker etter midtpunkt for utvandring. Utslippene av lus er generelt lave i dette området, og det er ingen området som peker seg ut med spesielt høy tetthet av lakselus.

Resultatene er vist som boksplott
Figur 70. Antall lakselus (A), relativt antall lus (antall lus/gram kroppsvekt) (B) og antall lakselus fordelt på fastsittende og bevegelige stadier (C) fra sjøørret og sjørøye på stasjonene i PO13.

 

Det estimeres lav lakselusrelatert dødelighet (3 [0-10] %) for sjøørret på stasjonen Bugøyfjord i 2025 (Figur 71). Dette er tilsvarende som er observert på denne stasjonen i 2018-2019. Overvåkingen av lus på sjøørret og sjørøye indikerer at det er relativt lite lus i dette området.

Estimert dødeloghet er vist i figurer, en figur for hvert år fra 2016 og hver stasjon.
Figur 71. Estimert luseindusert dødelighet på rusefanget sjøørret (det ble ikke fanget sjørøye i 2025) med 95% konfidensintervaller. Alle beregningene er basert på all fisk fanget og alle lusestadier. Antall undersøkt hver uke er angitt i figuren.

 

4 - Referanser

Bjørn, P. A., Finstad, B., Asplin, L., Skilbrei, O., Nilsen, R., Serra-Llinares, R. M. & Boxaspen, K. K. (2011). Metodeutvikling for overvåkning og telling av lakselus på viltlevende laksefisk. Rapport fra Havforskningen, nr. 8-2011, 58 s.

Bui, S., Dempster, T., Remen, M. & Oppedal, F. (2016). Effect of ectoparasite infestation density and lifehistory stages on the swimming performance of Atlantic salmon Salmo salar . Aquaculture Environment Interactions 8, 387-395.

Dawson, L. H. J., Pike, A. W., Houlihan, D. F. & McVicar, A. H. (1997). Comparison of the susceptibility of sea trout ( Salmo trutta L.) and Atlantic salmon ( Salmo salar L.) to sea lice ( Lepeophtheirus salmonis (Krøyer, 1837)) infections. ICES Journal of Marine Science 54, 1129-1139.

Efron, B. & Tibshirani, R. (1993). An introduction to the bootstrap. Chapman & Hall, London.

Grøn, H. H. (2016). Comparison of gillnet and trap in relation to retention of salmon lice ( Lepeophtheirus salmonis ), size selection of sea trout ( Salmo trutta ) and catch efficiency. - Comparing the two most used fishing gear in National Salmon lice monitoring Program. Master thesis, Universitetet i Tromsø.

Harvey, A. C., Quintela, M., Glover, K. A., Karlsen, Ø., Nilsen, R., Skaala, Ø., Sægrov, H., Kålås, S., Knutar, S. & Wennevik, V. (2019). Inferring Atlantic salmon post-smolt migration patterns using genetic assignment. Royal Society Open Science 6, 190426.

Hvas, M. & Bui, S. (2022). Energetic costs of ectoparasite infection in Atlantic salmon. Journal of Experimental Biology 225:1.

Nilsen, R., Serra-Llinares, R. M., Sandvik, A. D., Johnsen, I.A., Mohn, A.M., Karlsen, Ø., Lehmann, G. B., Birkeland, I.B., Stöger, E., Lennox, R., Uglem, I. & Berg, M. (2020). Lakselusinfestasjon på vill laksefisk langs norskekysten i 2020 - Sluttrapport til Mattilsynet. Rapport fra Havforskningen nr. 46-2020, 81 s.

Nilsen, R., Serra-Llinares, R. M., Sandvik, A. D., Mohn, A.M., Johnsen, I.A., Karlsen, Ø., Uglem, I. & Lehmann, G. B. (2021). Lakselusinfestasjon på vill laksefisk våren 2021 - Fremdriftsrapport til Mattilsynet. Rapport fra Havforskningen nr. 29-2021, 27 s.

Strøm, J. F., Dalvin, S., Karlsen, Ø., Nilsen, R., Mæhle, S., Serra-Llinares, R. M. (2025). Investigation of sessile sea lice on Atlantic salmon post-smolts in Central and Western Norway reveals substantial predominance of Lepeophtheirus salmonis compared to Caligus elongatus. Aquaculture Environmental Interactions, i trykk.

Svåsand, T., Karlsen, Ø., Kvamme, B. O., Stien, L. H., Taranger, G. L. & Boxaspen, K. K. (2016). Risikovurdering norsk fiskeoppdrett 2016. Fisken og Havet, særnummer 2-2016, 190 s.

Taranger, G. L., Svåsand, T., Bjørn, P. A., Jansen, P. A., Heuch, P. A., Grøntvedt, R. N., Asplin, L., Skilbrei, O. T., Glover, K. A., Skaala, Ø., Wennevik, V. & Boxaspen, K. K. (2012). Forslag til førstegangs målemetode for miljøeffekt (effektindikatorer) med hensyn til genetisk påvirkning fra oppdrettslaks til villaks, og påvirkning av lakselus fra oppdrett på viltlevende laksefiskbestander Rapport fra Havforskningen nr. 13-2012 / Veterinærinstituttets rapportserie nr. 7-2012, 40 s.

Wagner, G. N., McKinley, R. S., Bjørn, P. A. & Finstad, B. (2003). Physiological impact of sea lice on swimming performance of Atlantic salmon. Journal of Fish Biology 62, 1000-1009.