Gå til hovedinnhold

En vurdering av lakselusinfestasjonen i produksjonsområdene 2023

— Sluttrapport til Mattilsynet fra den nasjonale overvåkingen av lakselus på vill laksefisk (NALO)

Sammendrag

For å estimere smittepresset i fjordene og langs kysten under smoltutvandringen, gjennomføres årlig en undersøkelse av forekomsten av lakselus på vill laksefisk basert på fangst av sjøørret og sjørøye med garn og ruse i alle de 13 produksjonsområdene. Det er i tillegg trålt i 4 sammenhengende uker under smoltutvandringen for villaks i Boknafjorden, Hardangerfjorden, Sognefjorden, Nordfjord, Romsdalsfjorden og Vågsfjord. For alle fjordene er det også gjennomført genetiske analyser for å bestemme hvilken elv laksesmolten har utvandret fra. Det er også benyttet vaktbur hvor det settes ut oppdrettet smolt i Hardanger- og Sognefjorden. 

Tråldata viser fremdeles høyest infestasjon av lakselus på vill utvandrende postsmolt av laks i Hardanger og Sognefjorden hvor lakselusrelatert dødelighet er estimert til > 30%. Estimert lakselusrelatert dødelighet var lavere, men har fremdeles en betydelig effekt både i Boknafjorden, Nordfjord og Romsdalsfjord med en lakselusrelatert dødelighet mellom 10 og 30%. I Vågsfjord var det lite lus på laksen og det estimeres lav (< 10%) dødelighet, men her ble det trålt relativt nær elvene med utløp i fjorden, noe som betyr at dataene er trolig underestimerer påslaget av lus på fiskent. I hver av fjordene var det variasjoner både i tid og mellom regioner fisken vandret fra.

Rusedata indikerer noe av det samme mønsteret som tråldata, men viser jevnt over mer lus på fisken enn tråldata. Grovt sett vurderes det høy lakselusrelatert dødelighet i alle produksjonsområdene fra PO2 (Rogaland) til og med PO7 (Trøndelag). Det er mindre lus på sjøørret og sjørøye lenger nord, men det er variasjon innen produksjonsområdene i rom og tid. På Sørlandet var det lite lakselus på sjøørret. 

Burdata fra Hardangerfjorden viser et moderat smittepress i midtre deler i 2 ukers perioden fra midtpunkt for utvandring, som er flyttet noe utover i den følgende 2 ukers perioden. I Sognefjorden var det moderat med lus på de to innerste burstasjonene nær grensen til den nasjonale laksefjorden i begge disse periodene, mens det var lavt smittepress i de ytre delene. 

1 - Innledning

Lakselus er en ektoparasitt som lever av slim, skinn og blod til laksefisk. Er antall lakselus høyt vil dette påvirke verten negativt. Spredning av lakseluslarver fra oppdrettslaks kultivert i åpne merder i sjøen øker risiko for lusepåslag på vill laksefisk i området. For å estimere smittepresset av lakselus på vill laksefisk undersøkes lusepåslag på ruse- og garnfanget sjøørret og sjørøye i alle produksjonsområdene, samt at det tråles etter utvandrende postsmolt av laks i 6 fjorder. I tillegg undersøkes smittepresset ved hjelp av vaktbur.  

Denne overvåkingen utføres av Havforskningsinstituttet sammen med NORCE og NINA i den nasjonale overvåkingen av lakselus på vill laksefisk (NALO). Prosjektet er finansiert av Nærings- og fiskeridepartementet og Mattilsynet (OK program 99956827 lakselusovervåking). Denne rapporten oppsummerer resultatene av disse undersøkelsene i 2023. 

På slutten av denne rapporten har vi sensitivitetstestet noen av forutsetningene som ligger til grunn for beregning av lakselusindusert dødelighet. Dette gjelder tålegrenser, hvor vi har testet effekten av å halvere og doble toleransen til sjøørret/røye (vedlegg A) og laks (vedlegg B), og har i tillegg vist effekten av å redusere materialet fra ruse og garnfangst av sjøørret/røye til bare å omfatte fisk < 150 g (Vedlegg C). 

Vurderingene er bygget rundt to usikkerhetskilder, en er den statistiske usikkerheten, den andre er i hvilken grad vi vurderer at tidsperiode og sted for fangsten er representativ for området. Den statistiske usikkerheten er vist ved konfidensintervaller. De konfidensintervallene vi presenterer i denne rapporten angir hvor vi med 95% sannsynlighet ville vært om vi hadde gjentatt prosedyren fra første gang. Denne typen usikkerhet tar med andre ord ikke innover seg usikkerheten skapt ved at en antar at en har fanget fisk representativt i tid og rom. For å vurdere denne usikkerheten, har vi vurdert tidsrom fisket har foregått i forhold til antatt tid for utvandring. Denne siste er basert på Appendiks I b «Utvandringstidspunkt for laksesmolt i Norge ved vurdering av lakselusindusert dødelighet på smolt av villaks» til ekspertgrupperapporten 2023. Datoene er oppgitt som snitt av midtpunkt (dvs. når 50% av elvebestanden har utvandret) for alle elvene i produksjonsområdet, elvene ikke vektet i forhold til deres teoretiske smoltproduksjon. 

2 - Gjennomføring av overvåkingen

Årlig gjennomføres en undersøkelse av lakselus på vill laksefisk basert på fangst av sjøørret og sjørøye med garn og ruse i alle 13 produksjonsområdene. Tidligere var prøvefisket delvis basert på en dynamisk tilnærming hvor en brukte Havforskningsinstituttets hydrodynamiske spredningsmodell for å indikere områdene med høyest smitte, og disse områdene ble da undersøkt. Tilsvarende ble det valgt kontrollområder hvor modellen indikerte lavt smittepress. I 2023 er alle stasjonene valgt uavhengig av estimert smittepress, og er stort sett faste stasjoner. I hvilken grad stasjonene er representative for smittepresset i produksjonsområdet er vurdert i forhold til estimert smittepress basert på den hydrodynamiske smittemodellen, mens i tid er tiden for undersøkelse holdt opp mot estimert utvandringstid for laksen. Ruse og garnfangst er utført enten som en eller to serier av hvor den første serien tas rett i etterkant av median dato for smoltutvandringen i produksjonsområdet for å fange opp smittepresset den utvandrende laksesmolten opplever, mens den andre perioden tas litt senere med mål om å fange opp smittepresset den beitende sjøørreten og sjørøyen opplever utover sommeren. Også i 2023 har en enkelte steder valgt å holde en lengre løpende serie på 4-6 uker for i større grad kunne bruke dataene for å vurdere når (om) økningen i smittepresset observeres, dette ikke minst da en av responsen til sjøørret som opplever smittepress fra lakselus er å oppsøke ferskvann. Dette vil da medføre at smittepresset observert utover sesongen kan ha blitt påvirket av at luseinfestert fisk ikke lenger befinner seg i de områdene der prøvefisking foregår, og at denne gruppen blir derfor underrepresentert i ruse og garnfangsten.

I 2023 er det i tillegg fanget inn postsmolt ved tråling i 6 fjordsystemer (Boknafjorden, Hardangerfjorden, Sognefjorden, Nordfjord, Romsdalsfjorden og Vågsfjorden). Trålingen starter noe før og varer til etter forventet periode for utvandring av postsmolt av laks i området, og foregår i ytre del av fjordsystemene for å fange opp det akkumulerte smittepresset postsmolten har opplevd. Smittepresset helt ytterst ved kysten fanges ikke opp. En andel av den trålfangete fisken er tilordnet til hjemelv ved hjelp av genetiske metoder.

Den siste metoden som benyttes er bruk av vaktbur hvor det settes ut ca. 30 oppdrettssmolt i hvert bur som står ute i fjordsystemene i 2 uker før de blir erstattet med ny fisk for en ny runde. Burene er posisjonert for å fange opp smittepresset laks som vandrer nær overflaten opplever. Burene brukes for å sammenligne smittepress i tid og rom, samt for å verifisere modellene laget for å predikere smittepress av lakselus. I 2023 er det gjennomført to serier á 14 dager i Hardangerfjorden (PO3) og Sognefjorden (PO4).

Denne rapporten summerer dataene fra 2023, og er i stor grad basert på data innsamlet gjennom NALO (Figur 1), samt modellert overvåking av lakselus vha. Havforskningsinstituttets koblede biologisk-hydrodynamiske spredningsmodell for lakselus (www.lakselus.no). Modellert smittepress samt utslipp av lus i de enkelte produksjonsområdene omtalt i denne rapporten er presentert i appendiks “Modellert påvirkning av lakselus på vill laksefisk - Havforskningsinstituttet 2023” til ekspertgrupperapporten 2023.

 

Figuren viser posisjonene til stasjonene undersøkt med ruse eller garn på et norgeskart.
Figur 1. Oversiktskart over stasjonene undersøkt i 2023. Posisjonene er veiledende.

 

2.1 - Metodene benyttet

2.1.1 - Tråling etter postsmolt laks

Til trålingen benyttes en pelagisk overflatetrål, ca. 35 m bred og 5 m dyp. Det tråles primært i de ytre delene av fjordene på dagtid med 2-4 knop, både med og motstrøms. Det er montert en skillerist i trålen for å separere smolten inn i et akvarium for å redusere skjell- og lusetap. Effektiviteten til denne varierer, og analysene inkluderer normalt også fisk som ikke har blitt sortert til akvariet. Fanget smolt avlives individuelt og lus i de ulike stadiene telles umiddelbart. Fiskens lengde og vekt registreres, og det tas skjellprøver samt vevsprøver til genetisk sporing. All lusetelling utføres av kvalifisert personell som har bestått kurs i artsidentifikasjon, stadiumbestemmelse og telling av lakselus.

I 2022 ble det testet ut å bruke kortere hal i Sognefjorden, og startposisjon og retning ble forhåndsbestemt ved å velge ut tilfeldige posisjoner i ett gitt område av fjorden. Det ble trålt fra startposisjon i retning av neste startposisjon. Da det er vanskelig å stadfeste nøyaktig når og hvor fisken fanges i løpet av et trålhal, er trålhalene redusert til ca. 30 minutter for å bedre kunne posisjonere fangsten i tid og rom. Annen hver dag ble det trålt på den tradisjonelle metoden, med lengre trålhal. Denne metodikken er gjennomført for alle fjordene i 2023.

Selv om trålfangstene tas primært i de ytre delene av fjordene, blir fisken uansett alltid fanget før den har fullført vandringen i fjordene og langs kysten. Antall lakselus på fisken kan derfor være underestimater på den totale lusemengden smolten får på seg i løpet av vandringen fra elvemunning til åpent hav. I tillegg tapes det trolig lus i forbindelse med håndteringen av fisk, særlig de minste lusestadiene som er stort sett de eneste som finnes på postsmolten, noe som kan føre til ytterligere underestimering av antall lakselus.

Selektiviteten til trålredskapet er vurdert med tanke på i hvilken grad det fanger opp et representativt utvalg av fisken, dvs. fisk med representativ størrelse, luseinfestasjon, samt at de ulike elvene i hvert produksjonsområde er representert. Det har vært diskutert at laksesmolt smittet med lus kan ha en avvikende atferd ved at de svekkes, bryter stimstrukturen og dermed fanges lettere i trålen enn fisk som ikke er infestert. Trålunnvikelse baserer seg da på evne til å oppfatte og svømme bort fra trålåpningen. Effekten av lus på laksens kritiske svømmehastighet (et mål på maksimal svømmehastighet og utholdenhet) har vist at infestert laks har noe lavere verdier (Wagner mfl. 2003), og at det er en økende effekt også for de tidligste stadiene av lus med økende infestasjon (Bui mfl. 2016). I ett nyere arbeid er det også vist at metabolsk rate er høyere for luseinfisert fisk, trolig relatert til økte kostnader ved osmoregulering og mobilisering av immunforsvaret (Hvas & Bui 2022). Om de relativt små forskjellene har noen praktisk betydning i forhold til trålunnvikelse vites ikke. På den andre siden kan de samme forholdene øke risikoen for predasjon. Dette kan bety at laks infestert inne i fjordene kan ha en høyere risiko for predasjon, og derfor bli underrepresentert i trålfangstene.

Havforskningsinstituttet har utviklet en metode for å bestemme hvilken elv den trålfangete fisken kommer fra (Harvey mfl. 2019). Dette gir oss anledning til å vurdere effekten av elveposisjon. Metoden er ikke i stand til å bestemme opprinnelse til all fisken, men vi antar at utvalget som kan bestemmes er representativt for elvene.

Bare vill laksesmolt med vekt mindre eller lik 50 g benyttes i analysene. All merket laksesmolt som ikke med sikkerhet kan sies å være villfisk ekskluderes, da dette kan være utsatt kultivert fisk eller fisk som inngår i forsøk. Videre ekskluderes fisk med store skjelltap eller som har dødd i trålen fra analysene. Tidligere har vi satt grensen for inkludering av laksesmolt ved 100 g, men grunnet usikkerhet knyttet til utsett av kultivert fisk har vi satt denne grensen lavere. Dette har ingen reell betydning for de vurderingene som er gjort (jfr. appendiks II til ekspertgrupperapporten fra 2021).

Data fra postsmolttråling publiseres på nmdc.no.

2.1.2 - Vaktbur

Vaktbur er ca. 1 m3 store lukkede merder som henger fra 0,5-1,5 m dybde (Bjørn mfl. 2011). Vaktburene er forankret på bunn, og henger fra blåser rett under overflaten. I burene settes ca. 30 oppdrettete laksesmolt som står ute i omtrent 14 dager før fisken tas ut og lus telles. Normalt settes det ut 18-20 vaktbur i hvert fjordsystem på faste stasjoner hvor de er ment å fange opp smittepresset i systemet. Oppdrettsmolten som benyttes er betydelig større enn villsmolt, og smittepresset vurderes derfor ut ifra antall lus per fisk, og ikke antall lus per gram fiskevekt.

Undersøkelser indikerer at det er mest lus i de øverste vannlagene, og siden vill utvandrende postsmolt laks oftest svømmer på 1-3 m dybde fanger burene opp smitte på denne dybden. Hvis området er sterkt influert av ferskvann, noe lakselus vil unngå, vil dette reflekteres i lusepåslagene i vaktburene.

Påslag vil variere med transport av vann gjennom buret da fisken her er låst i tid og rom. I naturen vil fisk bevege seg og kontakten mellom fisk og lus er trolig høyere. Det er gjort undersøkelser av variasjon i påslag av lakselus i burene ved å sette to og to bur sammen like ved siden av hverandre (50-100 m avstand) i indre og ytre deler av Hardangerfjorden i 2010, totalt 13 slike par. I 7 av disse parene var infestasjonen nær 0, mens i de burene hvor det var lus på fisken det var en signifikant forskjell i 4 av settene (Bjørn mfl. 2011). Årsaken til denne forskjellen kan skyldes lokale strømmer, begroing av bur som reduserer gjennomstrømmingen, ulik atferd til fisken i burene eller annet.  Burene dekker normalt ikke de midtre delene av fjorden, burene representerer derfor smittepresset relativt nært land.

Resultatene fra vaktburene brukes primært for å sammenligne smittepress i tid og rom, og ikke som et direkte estimat av infestasjonen på villfisk.

2.1.3 - Ruse og garnfiske

Det foretas prøvefiske med ruse og garn i alle produksjonsområdene med hensikt å fange sjøørret og sjørøye. Ruse er det foretrukne redskap. Rusene er utstyrt med ledegarn som strekker seg fra land og leder fisken ut til ett fangskammer hvor fisken fanges levende. Fangstkammeret står 30-50 m fra land, med toppen nær overflaten. Rusene sjekkes minst en gang i døgnet. Fiskene løftes over i kar med bedøvelse, fiskens lengde og vekt registreres, og lus i de ulike stadiene telles. Etter oppvåkning fra bedøvelse settes fisk tilbake i sjøen ved fangststed. Garnfiske supplerer rusene der rusefiske er utfordrende, slik som områder med sterk strøm eller stor tidevannsforskjell. Garnene som benyttes er 25 m lange, 1,5-2,5 m dype monofilament flytegarn med maskevidder fra 17-26 mm, som settes fra land og utover. Garnene røktes mens fisket pågår for å unngå at fisken dør i garnene da mobile lus kan hoppe av om verten dør. Fisk som fanges klippes skånsom ut av garnet og lus i de ulike stadiene telles umiddelbart. Fiskens lengde og vekt registreres. Alle som utfører lusetellinger har bestått kurs i artsidentifikasjon, stadiumbestemmelse og telling av lakselus.

Representativitet til fangstene er vurdert med tanke på at alle redskaper som benyttes for å fange fisk er selektive, og kan påvirke utfallet av de målingene som foretas. Både garn og ruser er passive redskaper hvor fangsten påvirkes av svømmeaktiviteten til fisken. Lus kan påvirke svømmeaktiviteten til infisert fisk, og infisert fisk holder seg også mer i brakkvann. Infestert fisk har en preferanse for lavere saltholdigheter, og tenderer derfor til enten å returnere til elv, eller forbli i brakkvannsområdet i estuariet. Siden det ikke fiskes i disse områdene, kan luseinfestert fisk bli underestimert i fangstene. I tillegg kan svært lusesmittet fisk dø, og er da ikke lenger er tilgjengelig for fangst, som igjen da kan medføre at fangsten underrepresenterer smittepresset. Til sist, luseinfestert fisk som oppsøker ferskvann for å kvitte seg med lus kan vandre ut igjen i fjorden etterpå hvor de kan bli fanget, og derfor maskere det reelle smittepresset fisken har opplevd. Derfor anser vi at luseinfestasjonene målt på fangstet fisk i ruse og garn vil være minimumsverdier.

Ruse har den fordelen at fisken fanges levende, og at den ikke setter seg fast i garnmasker. Tap av lus er generelt mindre, og sammenligninger indikerer at antall lus på rusefanget sjøørret er høyere enn på garnfanget (Grøn 2016). Vi har valgt å utelukkende benytte tellinger av fisk i felt da sammenligninger indikerer ett betydelig tap av lus, spesielt de minste stadiene, på fisk som er frosset og tas inn til lab for telling av lus. Undersøkelser indikerer at en andel av de minste stadiene av lus på sjøørret og sjørøye er skottelus. Disse kan vanskelig skilles fra lakselus, og selv om en vanligvis får økte tettheter med skottelus (Caligus elongatus) på oppdrettsfisk først utover høsten, kan det medføre at spesielt i nordlige fylkene overestimeres antall lakselus. Foreløpige data kan indikere at innslaget av skottelus i de fastsittende stadiene utgjorde opptil 12 % i de nordlige fylkene (Elvik mfl. 2016).

I tidligere risikovurderinger av oppdrett (Svåsand mfl. 2016), har lakselus på sjøørret mindre enn 150 gram fanget rett etter forventet median smoltutvandring blitt brukt som en indikator på potensielle effekter på utvandrende laksesmolt. I et nylig arbeid ble lakselussmitte på sjøørret og laksesmolt fanget samtidig i trål de siste 10 årene studert for å evaluere hvor god en slik tilnærming er til å forutse mengder lus på laksesmolt, dvs. om det er en korrelasjon mellom lus på sjøørret og laksesmolt. Studiet tilsier at det er en klar sammenheng mellom smittepresset på de to artene, men at det generelt sett er mindre lus på laksesmolt enn på sjøørret (Vollset mfl. 2017). Laks og sjøørret viser liten forskjell i mottakelighet for lus (Dawson mfl. 1997, Bui mfl. 2017). At det er mer lus på sjøørret enn laks kan derfor skyldes at ørret normalt oppholder seg mer litoralt enn laksen, og at en antar at det er mer lus langs land enn midtfjords, eller at sjøørreten har utvandret tidligere fra elven og derfor opplevd en lengre periode med smittepress.

Vi vurderer derfor at lakselus på sjøørret ikke kan brukes til å direkte estimere lakselusindusert dødelighet på laksesmolt, men i tilfeller der det observeres store mengder lus på sjøørret er dette en klar indikasjon på at også utvandrende laksesmolt er mer utsatt for lusesmitte i et gitt område.

2.2 - Estimering av smittepress og dødelighet

I denne rapporten er alle infeksjonsparametere beregnet og beskrevet etter anbefalinger fra Rozsa mfl. (2000) for presentasjon av kvantitative parasittologiske data. Prevalens referer til andelen av fisken som har lus, og er oppgitt med 95 % konfidensintervall basert på binomisk fordeling (Bush mfl., 1997). Intensitet referer til gjennomsnittlig antall lus på infisert fisken, og er oppgitt med 95% konfidensintervall beregnet med BCa (bias-corrected and accelerated) bootstrap som anbefalt av Efron & Tibshirani (1993). Analysene er normalt gjort basert på alle lusestadier.

Sannsynlighet for at et individ dør eller er negativt påvirket av lakselus er avhengig av antall lus fisken har, og hvor stor fisken er. I dag brukes antall lus per gram fiskevekt (relativ intensitet) for å estimere sannsynlighet for at et individ dør på grunn av lakselus, såkalte tålegrenser eller grenseverdier. I denne rapporten benyttes grenseverdiene beskrevet i Taranger mfl. (2012) for å estimere effekten av den observerte lusesmitten. Det er foreslått ulike grenseverdier for henholdsvis liten laksefisk under 150 g (utvandrende laksesmolt og førstegangsutvandrende sjøørret og sjørøye), og et annet sett grenseverdier for laksefisk over 150 g (veteranvandrere av sjøørret og sjørøye). For utvandrende laksesmolt (<50 g) er grensene for forventet dødelighet satt slik at < 0,1 lus/g fiskevekt ikke gir dødelighet, 0,1-0,2 lus/g 20 % dødelighet, 0,2-0,3 lus/g 50% dødelighet og > 0,3 lus/g 100% dødelighet. For ruse og garnfanget sjøørret og sjørøye er analysene normal basert på all fisk fanget, med grenseverdiene tilpasset fiskestørrelse. For sjøørret og sjørøye under 150 g brukes same grenseverdiene som på utvandrende laksesmolt, mens for større fisk er grenseverdiene satt slik at < 0,01 lus/g fiskevekt ikke gir dødelighet, 0,01-0,05 lus/g gir 20 % dødelighet, 0,05-0,1 lus/g 50% gir dødelighet, 0,1-0,15 lus/g gir 75% dødelighet og > 0,15 lus/g gir 100% dødelighet. Det skilles ikke på sjøørret og sjørøye i analysene.

For å beregne lakselusindusert dødelighet (dvs. den andel av dødeligheten som kan knyttes til parasitten) i populasjonen, deles samplet prosentvis inn i infeksjonsgrupper. Dødelighet for hver infeksjonsgruppe beregnes basert på de antatte toleransegrenser, og summen av alle gruppene gir den totale estimerte lakselusindusert dødelighet, som uttrykkes som en prosentandel av populasjonen med 95 % bootstrap konfidensintervaler.

For tråldata er det presentert to analyser. Den ene inkluderer all fisk fanget, og er beregnet ut fra snitt per uke. Den andre er basert på at en andel av fisken er tilordnet elv med genetiske metoder. Estimert dødelighet er her presentert for elver fra de ulike regionene da antall fisk fanget per elv oftest blir lavt.

I årets rapport har vi sensitivitetstestet toleransegrensene ved å beregne dødelighet med andre grenseverdier (halvert og doblet toleranse), samt effekten av å benytte bare sjøørret og sjørøye mindre enn 150 g for å beregne effekten av lakselus. Figurene er presentert i vedleggene.

Tiden for smoltutvandring er tatt fra appendiks «Utvandringstidspunkt for laksesmolt i Norge ved vurdering av lakselusindusert dødelighet på smolt av villaks», og inneholder to datosett, et modellert basert på en publisert modell for utvandring (her er snittet 2014-2018 benyttet), samt en tabulert slik det er gjort tidligere år (jfr. vedlegg 1 til ekspertgrupperapporten for ytterlige informasjon om disse estimatene). Her er de modellerte datoene benyttet. Smittekartene og utslipp av lakselus det henvises til i denne rapporten er tilgjengelig i vedlegg «Modellert påvirkning av lakselus på vill laksefisk i 2023» til ekspertgrupperapporten for 2023, og gjengis ikke her.

3 - Status i produksjonsområdene

3.1 - PO 1 Svenskegrensen – Jæren

I dette produksjonsområdet er Sandnesfjord og Flekkefjord (Figur 2) undersøkt. Sandnesfjord anses som et kontrollområde uten oppdrett, mens Flekkefjord dekker det eneste området med oppdrettsaktivitet av betydning. I Sandnesfjord viste undersøkelsen i uke 23 lite lus på fisken, og det estimeres ingen dødelighet. Dette er tilsvarende som tidligere år i samme periode. I Flekkefjord i uke 23 hadde en større andel av fiskene lus, men det estimeres lav dødelighet også her. Undersøkelsen er tatt omtrent 4 uker etter midtpunkt for utvandring, og lusetallene representerer derfor akkumulert smitte. Smittekartene som dekker perioden, avdekker ingen større områder med betydelig økte tettheter i forhold til de undersøkte stasjonene noen av årene. Det antas derfor at det ikke er områder med høyere smittepress enn hva som er observert ved Flekkefjord. Utslippene av lus er lave i hele tidsperioden undersøkt. Området som helhet anses å ha lav lakselusindusert dødelighet i 2023. Smolten har kort vandringsvei gjennom fjordene i dette i området, og derfor kort oppholdstid i områder med forhøyet lusepress. Dette, sammen med de relativt lave utslippene som er konsentrert rundt Flekkefjord gjør at vi anser at kategoriseringen har liten usikkerhet.

Åtte laks fra Bjerkreimselva i dette området ble fanget med trål i Boknafjorden, på disse estimeres lav (6 [0-19] %) dødelighet.

Det er ikke trålt etter utvandrende postsmolt av laks, eller satt ut vaktbur i dette området.

Ruse og garnfangst

I produksjonsområde 1 er to stasjoner undersøkt med ruse (Figur 2). I PO1 regner en at midtpunkt for smoltutvandring er 11. mai (uke 19).

 

Figuren viser ørretstasjonene i et kart
Figur 2. Stasjonene undersøkt med ruse eller garn i PO1 i 2023. De grønne feltene viser de nasjonale laksefjordene.

 

Stasjonene Sandnesfjord og Flekkefjord er undersøkt med ruse og garn uke 23, ca. 4 uker etter estimert smoltutvandring i området. I Sandnesfjord hadde sjøørreten lite lus, mens det som tidligere år var noe mer lus på sjøørreten ved Flekkefjord (Tabell 1), med prevalens på hhv. 21 og 51%, intensitet 2 og 4 lus/fisk.

Stasjon Uke n Vekt (range) Prevalens [KI] Intensitet [KI] Maks n lus % >0.1 rel.int.
Sandnesfjord 23 19 218 (32-1050) 21 [9-43] 2 [1-3] 4 0 [0-18]
Flekkefjord 23 35 167 (34-820) 51 [36-67] 4 [2-10] 30 0 [0-10]
Tabell 1. Infestasjon av lakselus på sjøørret i PO 1. n angir antall undersøkte fisk i hver uke. Prevalens viser hvor stor andel av de undersøkte fiskene som ble funnet med en eller flere lakselus og oppgis i prosent. 95 % konfidensintervall er oppgitt i klammer bak. Intensitet angir gjennomsnittlig antall lakselus på den andelen av materialet som ble funnet med lus med 95 % konfidensintervall i klammer bak. % > 0,1 rel.int. viser andelen av det undersøkte materialet hvor infestasjonen var høyere enn 0,1 lus per gram kroppsvekt, som anses som en grense for fysiologisk effekt av lakselus. 95 % konfidensintervall er oppgitt i klammer bak.

Fordelingen av lus viser at i Flekkefjord viser en relativt jevn fordeling av fastsittende (kopepoditter og begge chalimistadiene) og bevegelige stadier (preadulte og adulte stadier), som indikerer relativt lavt smittepress på sjøørreten under og etter median smoltutvandring (Figur 3).

 

Se figurtekst
Figur 3. Antall lakselus (A), relativt antall lus (antall lus/gram kroppsvekt) (B) og antall lakselus fordelt på fastsittende og bevegelige stadier (C) fra sjøørret ved Sandnesfjord og Flekkefjord.

 

Det estimeres liten lakselusrelatert dødelighet på sjøørret i både Sandnesfjord og Flekkefjord uke 23 (Figur 4). For Sandnesfjord er dette tilsvarende som observert de fleste tidligere år, mens for Flekkefjord er det noe lavere enn fjoråret.

 

Se figurtekst
Figur 4. Estimert luseindusert dødelighet på rusefanget sjøørret med 95% konfidensintervaller. Alle beregningene er basert på all fisk fanget og alle lusestadier. Antall undersøkt hver uke er angitt i figuren.

 

3.2 - PO 2 Ryfylke

Data fra ruse og garnfangst i 2023 indikerer høy dødelighet i Ytre Årdalsfjord uke 21, moderat i uke 23, høy i Nedstrand ukene 21 og 23, men her var antallet svært lavt med påfølgende høy usikkerhet i estimatene. Ruseundersøkelsene er foretatt ca. 2 og 4 uker etter median utvandring, hvor uke 21 er relativt dekkende for smoltutvandringen. Dataene tyder derfor på relativt høyt smittepress rundt tid for smoltutvandringen (uke 19). Området med høyt smittepress omfatter de nordlige og østlige delene av Boknafjorden. Dette samsvarer med noe mindre lus på fisken i Ytre Årdalsfjord enn i Nedstrand. Tettheten av kopepoditter er relativt lik i smoltutvandringsperioden. Ruse og garnfangst indikerer en kategorisering i høy lakselusindusert dødelighet. Usikkerheten anses som moderat da rusene anses som dekkende i tid og rom, men det er lavt antall i Nedstrand.

Det er i 2023 trålt i Boknafjorden ukene 18-21, 1. - 25. mai. Tråldata indikerer moderat lakselusindusert dødelighet i 2023. Estimert dødelighet øker fra lav til høy gjennom trålperioden, og for hele trålperioden sett under ett var estimert dødelighet moderat (14 [11-16] %). Det estimeres moderat dødelighet for elvene i på sør, øst og nordsiden, lav på Figgjo (n=9). Av de laksene som genetisk kan bestemmes til hjemelv, er fangstene dominert av fisk fra elvene på sørsiden. Fangstene har vært gode med en klar topp i uke 19 og 20, hvilket indikerer at trålperioden har vært dekkende for utvandringen, selv om det trolig har utvandret noe fisk både før og etter, men samtidig er antall fra nordlige elvene lavt, og lavere enn tidligere år, og estimert dødelighet basert på trålfangstene fra elvene på østsiden er nær lav.  Usikkerheten i kategoriseringen vurderes derfor som middels.

Det er ikke benyttet vaktbur i dette området.

Ruse og garnfangst

I produksjonsområde 2 er stasjonene Ytre Årdalsfjord på sørsiden og Nedstrand på nordsiden undersøkt i 2023 (Figur 5). M idtpunkt for utvandring for elvene i produksjonsområdet er estimert til 13. mai (uke 19).

 

Figuren viser ørretstasjonene i et kart
Figur 5. Stasjonene undersøkt med ruse eller garn i PO2 i 2023. Grønne felt viser de nasjonale laksefjordene.

 

Stasjonene Ytre Årdalsfjord og Nedstrand er undersøkt i ukene 21 og 23. Ruseundersøkelsene startet derfor ca. 2 uker etter median utvandring.

Ved Ytre Årdalsfjord økte prevalens hos sjøørret fra 59 til 85% fra uke 21 til 23, mens intensiteten falt fra 32 til 17 lus/fisk (Tabell 2). Ved Nedstrand ble få fisk fanget begge ukene, men alle hadde lus, og prevalens var 28 og 96 lus/fisk.

Stasjon Uke n Vekt (range) Prevalens [KI] Intensitet [KI] Maks n lus % >0.1 rel.int.
Ytre Årdalsfjord 21 29 90 (26-500) 59 [41-74] 32 [19-54] 135 41 [26-59]
  23 34 68 (16-308) 85 [70-94] 17 [9-33] 133 35 [21-52]
Nedstrand 21 4 171 (40-285) 100 [51-100] 28 [6-47] 58 50 [15-85]
  23 6 138 (35-353) 100 [61-100] 97 [64-148] 192 100 [61-100]
Tabell 2. Infestasjon av lakselus på sjøørret i PO 2. Se Tabell 1 for forklaring av verdiene. Merk lav N enkelte uker.

Fordelingen av lus viser at de fastsittende stadiene dominerer i ukene 21 og 23, mens andelen av bevegelige har økt på sjøørreten ved Nedstrand i uke 23 (Figur 6). Dataene tyder derfor på relativt høyt smittepress rundt tid for smoltutvandringen (uke 19) på begge stasjonene, høyere i Nedstrand. I uke 23 har det noe mindre antall fastsittende på sjøørreten ved Nedstrand, men høyere ved Ytre Årdalsfjord. 

 

Se figurtekst
Figur 6. Antall lakselus (A), relativt antall lus (antall lus/gram kroppsvekt) (B) og antall lakselus fordelt på fastsittende og bevegelige stadier (C) fra sjøørret på stasjonene undersøkt i PO2.

 

Estimert dødelighet i 2023 er over 30% på begge stasjonene uke 21, og høy i Nedstrand og moderat i Ytre Årdalsfjord uke 23 (Figur 7). I Nedstrand er nivåene omtrent som de to foregående årene, i Ytre Årdalsfjord noe lavere enn i 2022.

 

Se figurtekst
Figur 7. Estimert luseindusert dødelighet på rusefanget sjøørret med 95% konfidensintervaller. Alle beregningene er basert på all fisk fanget og alle lusestadier. Antall undersøkt hver uke er angitt i figuren.

 

Tråldata

Det er i 2023 trålt i Boknafjorden ukene 18-21, 1. - 25. mai. Fangstene har vært gode, spesielt på sørsiden av fjorden. Fangstmønsteret indikerer at trålperioden har fanget opp utvandringen, men det lave antall fanget fisk fra elver på spesielt nordsiden kan skyldes at de har vandret før eller etter perioden det ble trålt, eller at de i liten grad kan bestemmes til hjemelv med nødvendig sikkerhet.

 

Se figurtekst
Figur 8. Kumulativ fangst av utvandrende postsmolt av laks i 2023.

 

Første fangstuke ble det trålt en del fisk på nordsiden, mens senere ble mest fisk fanget relativt langt inne på sørsiden av fjorden (Figur 9), selv om innsatsen var spredt over hele fjordens bredde.

 

Figuren viser posisjonene for tråltrekkene i et kart
Figur 9. Tråltrekkene etter utvandrende postsmolt laks i Boknafjorden, hvor farge indikerer fangst. Grønne felt viser de nasjonale laksefjordene.

 

Andelen av laks med lus (prevalens) var 12 og 31 % de to første ukene, 86% uke 20, for deretter falle til 33% uke 21. Gjennomsnittlig intensitet var 1 lus/fisk de to første ukene, og 4 og 13 (merk svært lav N) de to siste (Tabell 3).

Uke n Vekt (range) Prevalens [KI] Intensitet [KI] Maks N lus % >0.1 rel.int. [KI]
18 57 24 (9-49) 12 [6-23] 1 [1-2] 2 2 [0-9]
19 173 24 (11-47) 31 [24-38] 1 [1-2] 6 6 [3-10]
20 243 22 (8-50) 86 [82-90] 4 [4-4] 27 58 [52-64]
21 3 17 (13-20) 33 [2-79] 13 [13-13] 13 33 [2-79]
Tabell 3. Infestasjon av lakselus på utvandrende laksesmolt i Boknafjorden. Se Tabell 1 for forklaring av verdiene. Det ble trålt 1.-25. mai 2023.

Estimert dødelighet økte utover i perioden trålt (Figur 10). De to ukene med størst fangst, uke 19 og 20, estimeres hhv. liten og moderat dødelighet.

 

Se figurtekst
Figur 10. Estimert luseindusert dødelighet (med konfidensintervaller) som snitt av all trålfanget vill postsmolt av laks fanget hver uke i Boknafjorden. Antall undersøkt hver uke er angitt i figuren.

 

I snitt for året estimeres dødeligheten til 14 [11-16] % (Figur 11). Dette er noe høyere enn de to foregående årene.

 

Se figurtekst
Figur 11. Estimert luseindusert dødelighet som snitt av all fisk fanget beregnet med ulike toleransegrenser (med konfidensintervaller) på trålfanget vill postsmolt av laks.

 

I Boknafjorden er 140 av 476 (29 %) postsmolt genetisk bestemt til elv i 2023. Elvene er gruppert i regioner, øst er elvene på sørøstsiden, nord fra Sands- og Vindafjorden, mens sør er fra Høgsfjorden. Kyst inkluderer i 2023 Figgjo (n=9), og Bjerkreimselva i PO1 (n=8). Antall fisk fanget fra elvene på øst og spesielt fra nordsiden var lavere enn antall fisk fra de sørlige elvene.

Ser en på lus på fisk fra de ulike elvene (delt i regioner da antallet fra elvene oftest er lavt), estimeres det moderat dødelighet for alle regionene, øst 11 [6-20] %, nord 20 [0-57] % og sør 15 [9-22] % i 2023 (Figur 12), kyst er lav.

 

Se figurtekst
Figur 12. Estimert lakselusindusert dødelighet (med konfidensintervaller) på trålfanget vill postsmolt av laks tilordnet hjemelv. Elver som kan tilordnes er vist i kartet til høyre. Antall er angitt i figuren. Elvene er gruppert i regioner. Kyst inkluderer bare Figgjo 2017-2019, men også andre elver nedover Jæren/Dalane i 2020-2023 (jfr. PO1).

 

3.3 - PO 3 Karmøy til Sotra

Data fra ruse og garnfangst i 2023 indikerer høy dødelighet i Ålvik uke 22, moderat uke 24, høy i Rosendal ukene 23 og 25, og høy i Etne ukene 21-25. Dataene indikerer en høy til moderat dødelighet på stasjoner i hele fjordsystemet gjennom hele den undersøkte perioden. Stasjonene anses dekkende i tid og rom for å fange opp smittepresset for utvandrende postsmolt av laks. Smittekartene sentrert rundt midtpunkt for smoltutvandring indikerer høyest smittepress i midtre deler av Hardangerfjorden og i Bjørnafjorden med lavere smittepress i indre og ytre deler av Hardangerfjorden, og øker i etterkant av midtpunkt for utvandring. Data fra Bjørnafjorden mangler, men samtidig er det bare to lakseførende elver i dette systemet. Undersøkelsene startet 1-3 uker etter midtpunkt for utvandring, og er derfor dekkende for smittepresset noe før og etter dette. Usikkerheten anses som liten da det indikeres en høy til moderat dødelighet på stasjoner i hele fjordsystemet gjennom hele den undersøkte perioden. Overvåkingsperioden dekker ikke tidlig utvandrende fisk, og data fra Bjørnafjorden mangler.

I 2023 ble det trålt i perioden 2.-28. mai. Tråldata indikerer lav lakselusindusert dødelighet for de to første, høy for de to siste ukene, og høy (35 [27-43] %) for hele trålperioden sett under ett. Fangsten var generelt lav, men størst fangst var uke 19, fulgt av uke 20. Estimert dødelighet for fisk tilordnet hjemelv var moderat for de ytre, høy for de midtre og indre regionene. Samlet indikerer derfor tråldata en kategorisering i høy lakselusindusert dødelighet. Usikkerheten vurderes som middels da antall undersøkte fisk er lav i starten på perioden samt at trålingen sannsynligvis ikke har fanget opp sent utvandrende fisk eller fisk med lang utvandringsvei fra de indre bestandene. Trålingen dekker heller ikke de to bestandene som vandrer ut i Bjørnafjorden i den nordlige delen av produksjonsområdet.

Vaktburene indikerer et generelt lavt smittepress i de ytterste og innerste delene og moderat i de midterste i den første runden. Den andre runden var det generelt noe lavere smittepress i midtre og noe høyere i ytre deler av fjorden. Resultatene støtter en kategorisering i moderat lakselusrelatert dødelighet. Gitt en median utvandring av laks i uke 20 dekker første runden fra median dato for utvandring og de to neste ukene. Den andre perioden dekker sent utvandrende laks, og laks som bruker lang tid på vandringen gjennom fjorden. Usikkerheten vurderes som middels da burene ikke dekker første del av smoltutvandringen, og ikke dekker Bjørnafjorden.

Ruse og garnfangst

I 2023 er tre stasjoner i Hardangerfjorden undersøkt (Figur 13). I dette produksjonsområdet estimeres gjennomsnittlig midtpunkt for utvandring til 17. mai (uke 20 i 2023).

 

Figuren viser ørretstasjonene i et kart
Figur 13. Stasjonene undersøkt med ruse eller garn i PO3 i 2023. Grønne felt viser de nasjonale laksefjordene.

 

Stasjonen i Ålvik er undersøkt uke 22 og 24, Rosendal ukene 23 og 25, mens Etne er undersøkt sammenhengende ukene 21-25. Ruseundersøkelsene startet ca. 2 uker etter median utvandring, og er i tid derfor relativt dekkende fra 1-2 uker før median smoltutvandring i området.

I Ålvik har over 67% av fisken lus, med intensitet i begge ukene på 15-16 lus/fisk. I Rosendal ligger prevalens på over 80 i uke 22 og uke 25, mens intensiteten er 17-19 lus/fisk (Tabell 4). Ved stasjonen Etne er prevalens alle ukene mellom 77 og 100 %, intensiteten de tre første ukene ligger mellom 15 og 21 lus/fisk, men øker til 45 og 82 lus/fisk de to siste ukene (Tabell 4).

Stasjon Uke n Vekt (range) Prevalens [KI] Intensitet [KI] Maks n lus % >0.1 rel.int.
Ålvik 22 36 80 (18-870) 75 [59-86] 15 [9-23] 66 44 [30-60]
  24 69 48 (21-301) 67 [55-77] 16 [10-29] 162 25 [16-36]
Rosendal 23 78 30 (14-84) 87 [78-93] 17 [12-23] 96 55 [44-66]
  25 67 53 (16-420) 81 [70-88] 19 [12-35] 206 52 [40-64]
Etne 21 126 72 (20-1166) 77 [69-83] 15 [12-18] 75 48 [40-57]
  22 85 65 (16-1408) 91 [83-95] 21 [16-35] 286 68 [58-77]
  23 162 55 (12-632) 81 [74-86] 13 [10-17] 118 46 [38-53]
  24 57 47 (10-260) 96 [88-99] 45 [33-62] 200 81 [69-89]
  25 43 66 (22-410) 100 [92-100] 82 [63-106] 300 95 [85-99]
Tabell 4. Infestasjon av lakselus på sjøørret i PO 3. Se Tabell 1 for forklaring av verdiene.

De fastsittende lusene dominerer første uken både i Ålvik og i Rosendal, og antall fastsittende er høyere første uken enn senere (Figur 14). Dette indikere noe høyere smittepress rundt median utvandring. I Etne dominere de fastsittende alle ukene, men det er også en kraftig økning av både fastsittende og bevegelige lus de to siste ukene, som indikerer kraftig økning i smittepresset etter median dato for utvandring (Figur 14).

 

Se figurtekst
Figur 14. Antall lakselus (A), relativt antall lus (antall lus/gram kroppsvekt) (B) og antall lakselus fordelt på fastsittende og bevegelige stadier (C) fra sjøørret på stasjonene i Hardangerfjorden.

 

Estimert dødelighet for sjøørret fanget ved Ålvik var henholdsvis høy og moderat de to undersøkte ukene (Figur 15). I Rosendal og Etne estimeres høy lakselusrelatert dødelighet alle undersøkte ukene (Figur 15).

 

Se figurtekst
Figur 15. Estimert luseindusert dødelighet på rusefanget sjøørret med 95% konfidensintervaller. Alle beregningene er basert på all fisk fanget og alle lusestadier. Antall undersøkt hver uke er angitt i figuren.

 

Ruse og garnundersøkelsene er tatt fra uke 22 i Ålvik, uke 23 i Rosendal og uke 21 i Etne, ca. 1-3 uker etter midtpunkt for utvandring for området. Stasjonene anses dekkende i tid og rom for å fange opp smittepresset for utvandrende postsmolt av laks. Smittekartene sentrert rundt estimert median tid for smoltutvandring indikerer høyest smittepress i midtre deler av Hardangerfjorden og i Bjørnafjorden (jfr. Figur 8 i vedlegg; Modellert påvirkning av lakselus på vill laksefisk i 2023), med lavere smittepress i indre og ytre deler av Hardangerfjorden. Da det er en betydelig økning av lus utover overvåkningsperioden, vil laks som vandrer ut sent, eller ankommer sent i de ytre delene på grunn av lang vandringsrute, trolig oppleve et høyt smittepress. Det var ingen stasjoner i Bjørnafjorden, men smittepresskartene indikerer like høyt smittepress i utvandringsruten for fisk fra de to lakseførende elvene i dette området som i Hardangerfjorden.

Tråldata

I 2023 ble det trålt i perioden 2.- 28. mai. Størst fangst var uke 19. Fangstene av utvandrende postsmolt laks var dårligere enn de to foregående årene (Figur 16). Trålingen startet tidlig, og det ble fanget svært få fisk første fangstuken, men ble også avslutte relativt tidlig. Gitt en median dato for utvandring 17. mai, kan dette indikere at noe fisk, spesielt fra elver med lang vandringsavstand, men også sent utvandrende fisk fra de ytre elvene, kan være underrepresentert i fangstene.

 

Se figurtekst
Figur 16. Kumulativ fangst av utvandrende postsmolt av laks i Hardangerfjorden i 2023. Fangsten vist for trålsonene ytterst (1) og innerst (3).

 

Mye av fisken ble tatt i den ytre sonen, men det var også fanget fisk lengre inne (Figur 17).

 

Figuren viser posisjonene for tråltrekkene i et kart
Figur 17. Tråltrekkene etter utvandrende postsmolt laks i Hardangerfjorden, hvor farge indikerer fangst. Grønne felt viser de nasjonale laksefjordene.

 

Andelen av laks med lus (prevalens) var på 33 % i begynnelsen av trålingen for deretter å øke til 86-88 % de to siste ukene (Tabell 5). Gjennomsnittlig intensitet økte fra 1 i første uken (merk veldig lav N) til 10 og 24 de to siste ukene.

Uke n Vekt (range) Prevalens [KI] Intensitet [KI] Maks N lus % >0.1 rel.int. [KI]
18 3 20 (17-25) 33 [2-79] 1 [1-1] 1 0 [0-56]
19 46 21 (11-50) 39 [26-54] 3 [2-4] 7 17 [9-31]
20 34 24 (12-44) 88 [73-95] 10 [7-15] 47 76 [60-88]
21 22 24 (13-38) 86 [67-95] 24 [17-30] 42 77 [57-90]
Tabell 5. Infestasjon av lakselus på utvandrende laksesmolt i Hardangerfjorden. Se Tabell 1 for forklaring av verdiene.

Estimert dødelighet på utvandrende postsmolt av laks var lav uke 18 og 19, høy ukene 20 og 21 (Figur 18). I Hardangerfjorden er det fra 2016 oftest observert en økning i estimert dødelighet utover perioden det tråles, men oftest er høyest antall fisk fanget observert i eller rundt uke 20.

 

Se figurtekst
Figur 18. Estimert luseindusert dødelighet (med konfidensintervaller) som snitt av all trålfanget vill postsmolt av laks fanget hver uke i Hardangerfjorden. Antall undersøkt hver uke er angitt i figuren.

 

Regnet som snitt av all fisken fanget i Hardangerfjorden estimeres høy lakselusindusert dødelighet i 2023, 35 [27-43] % (Figur 19).

 

Se figurtekst
Figur 19. Estimert luseindusert dødelighet som snitt av all fisk fanget beregnet med ulike toleransegrenser (med konfidensintervaller) på trålfanget vill postsmolt av laks.

 

Trålfangst kan inndeles i forhold til hjemelv, og disse blir da kategorisert som enten indre (Steinsdal – Opo), midtre (Uskedal – Ænes) eller ytre (Etne – Ådland) elver. Av de 108 analyserte postsmolt av laks fanget i trålen, kan 64 % (n=69) bestemmes til hjemelv.

Av de 69 laksene som kunne bestemmes til hjemelv, domineres fangstene av laks fra Etne (n=50), dernest Uskedal, Rosendal og Eidfjord (n=5, 4 og 4).

Estimert dødelighet beregnet for fisk fra de ulike regionene er høy for indre (n=8, 87 [25-100] %) og midte (n=10, 42 [17-69] %) regionene, moderat (n=52, 29 [20-41] %) for ytre (Figur 20).

 

Se figurtekst
Figur 20. Estimert luseindusert dødelighet (med konfidensintervaller) på trålfanget vill postsmolt av laks tilordnet hjemelv. Elver som kan tilordnes er vist i kartet til høyre. Antall er angitt i figuren. Elvene er gruppert i regioner. Det er ikke trålt i Bjørnafjorden.

 

Vaktbur

Vaktburene var i 2023 satt ut i Hardangerfjorden i 2 perioder, 16. - 31. mai og 30. mai - 15. juni (Figur 21). Disse indikere et generelt lavt smittepress i de ytterste og innerste delene og moderat i de midterste i den første runden. I den andre runden var det generelt noe lavere smittepress i midterste og noe høyere i ytterste delene av fjorden. Første periode dekker fra midtpunkt for utvandring og de to neste ukene. Den andre perioden dekker sent utvandrende laks, og laks som bruker lang tid på vandringen gjennom fjorden.

 

Se posdisjonen til vaktburene i ett kart over Hardangerfjorden.
Figur 21. Snitt antall lakselus normalisert til 14 dager på vaktburene i Hardangerfjorden 2023. Punktene viser burposisjonene, grønt angir < 2, gult 2-6 og rødt > 6 lus/fisk. Tallene angir antall undersøkt.

 

3.4 - PO 4 Nordhordland til Stadt

Data fra Nordhordland viser høy estimert lakselusrelatert dødelighet på sjøørret på både stasjonen Herdlafjorden ukene 21-26 og Herøyosen ukene 19-21, lav uke 25. De siste undersøkelsene er tatt så sent at trolig kan lusesituasjonen ha blitt påvirket av prematur tilbakevandring. I Sognefjorden var det betydelig mer lus på fisken i Balestrand enn i Bjordal, spesielt de første ukene undersøkt. På den innerste stasjonen i Sognefjorden (Balestrand) ble det estimert høy dødelighet ukene 22-23, moderat uke 24, mens på den ytterste stasjonen (Bjordal) ble det estimert moderat uke 22 og høy dødelighet uke 24. I Nordfjord (Maurstadvika) ble det estimert høy dødelighet uke 22, deretter moderat og høy dødelighet hhv. ukene 24 og 25. Ruseundersøkelsene startet uken før eller 1-2 uker etter estimert gjennomsnittlig smoltutvandring for området, og vurderes derfor som dekkende for smoltutvandringen. Smittepresset sentret rundt midtpunkt for utvandring viser høyest tetthet av kopepoditter i de ytre delen av hele området, og tettheten øker gjennom utvandringsperioden, sammenfallende med observasjonene. Det er mer lus på sjøørret i Sognefjorden enn smittekartene indikerer. Ruse og garnfangst indikerer derfor en kategorisering i høy lakselusindusert dødelighet. Usikkerheten anses som middels da Sunnfjord ikke er undersøkt.

Det ble i 2023 trålt etter postsmolt av laks i Sognefjorden over 4 uker fra 10. mai til 4. juni, ukene 19-22., og i Nordfjord fra 8. mai til 3. juni, ukene 19-22. I Sognefjorden var fangsten var dårlig de to første ukene, men økte kraftig de to siste, hvor fangsten var høyest uke 21. I de to første ukene estimeres lav dødelighet (lav N), deretter øker estimatene til moderat og høy, og for hele trålperioden sett under ett estimeres høy (49 [42-55] %) dødelighet. Estimert dødelighet for fisk tilordnet hjemelv var høy på trålfanget smolt fra de indre og moderat for smolt fra de midtre elvene. Data fra trål indikerer derfor en kategorisering av Sognefjorden i høy lakselusindusert dødelighet. I Nordfjord var fangsten generelt god, best de tre første ukene, og høyest uke 20. Estimert lakselusrelatert dødelighet regnet som snitt av fisk fanget de respektive ukene økte fra lav til høy de tre første ukene, og lav den siste, og moderat (22 [19-26] %) for hele trålperioden sett under ett. Estimert dødelighet for fisk tilordnet hjemelv var moderat på trålfanget smolt fra alle regionene. Data fra trål indikerer derfor en kategorisering av Nordfjord i moderat lakselusindusert dødelighet. I snitt for begge fjordene estimeres høy lakselusrelatert dødelighet i 2023. Usikkerheten vurderes som middels da trålingen ikke dekker elvene i Nordhordland eller Sunnfjord , og de store fangstene på slutten av trålperioden i Sognefjorden kan indikere at trålingen er avsluttet for tidlig til å fange opp sent utvandrende laks, mens trålperioden i Nordfjord vurderes som bedre dekkende for utvandringen, men også her indikerer de relativt gode fangstene første og siste tråluke at noe fisk har vandret ut både før og etter.

Vaktburene var i 2023 satt ut i Sognefjorden i 2 perioder, 18. mai - 2. juni og 1. - 14 juni. Vaktburene indikerte moderat smittepress i midtre og lavt i ytre deler av fjorden begge rundene. Data fra vaktbur indikerer moderat lakselusindusert dødelighet i 2023. Første runden dekker fra gjennomsnittlig midtpunkt for utvandring og de to neste ukene, samt fisk som har vandret tidligere og har lang vandringsrute. Den andre perioden dekker bare sent utvandrende laks, men også laks som bruker lang tid på vandringen gjennom denne lange fjorden. Usikkerheten vurderes som middels, da vaktburene bare dekker perioden etter median smoltutvandring, og bare Sognefjorden.

Ruse og garnfangst

I produksjonsområde 4 er i 2023 Herdlafjorden og Austefjorden (Herøyosen) undersøkt i Nordhordland, Balestrand og Bjordal i Sognefjorden og Maurstadvika i Nordfjord (Figur 22). I dette produksjonsområdet estimeres gjennomsnittlig midtpunkt for utvandring 18. mai (uke 20 i 2023).

 

Figuren viser ørretstasjonene i et kart
Figur 22. Stasjonene undersøkt med ruse eller garn i PO4 i 2023. Merk at det er benyttet lakseruse ved Herdla. Grønne felt viser de nasjonale laksefjordene.

 

I Nordhordland var det mye lus på fisken på begge stasjonene undersøkt. Herøyosen ble undersøkt sammenhengende ukene 21-26 og Herdlafjorden ukene 19-21 og 25. I Herøysosen var prevalens rundt 100% alle de undersøkte ukene, mens intensiteten var mellom 29 og 39 lus/fisk (Tabell 6). I Herdlafjorden hadde all ørreten lus de tre første ukene, 47 % siste uken. Intensiteten var svært høy første uken, men få fisk ble da fanget. De to neste ukene var intensiteten høy (67-72 lus/fisk), mens i den siste uken var intensiteten 11 lus/fisk. Ruseundersøkelsene startet uken før eller uken etter estimert gjennomsnittlig smoltutvandring for området. Undersøkelsene dekker derfor i stor grad smoltutvandringen (Herdlafjorden), eller 1-2 uker før (Herøysosen), og er i tid derfor relativt dekkende for estimert smoltutvandring. De siste undersøkelsene er tatt så sent at trolig kan lusesituasjonen ha blitt påvirket av prematur tilbakevandring.

Det var betydelig mer lus på fisken i Balestrand enn i Bjordal, spesielt de første ukene undersøkt. I Sognefjorden var andelen av fisk med lus i Balestrand 92-96 % de to første ukene, 50 % siste uken. Intensiteten falt fra 25-26 til 14 lus/fisk de samme ukene. I Bjordal økte prevalens fra 74 til 100 % fra uke 22 til uke 24. Intensiteten økte fra 4 til 11 lus/fisk. Undersøkelsen er tatt ca. 2 uker etter gjennomsnittlig smoltutvandring, og dekker smittepresset fra ca. 1 uke før dette, og vurderes derfor som dekkende for smoltutvandringen.

Nordfjord (Maurstadvika) ble i 2023 undersøkt ukene 22, 24 og 25. Høyest smittetrykk var i uke 22, med 97% prevalens og intensitet på 59 lus/fisk (Tabell 6). I uke 24-25 var prevalens fremdeles høy (80-95 %), men intensiteten var lavere (11-21 lus/fisk). Undersøkelsen er tatt ca. 2 uker etter gjennomsnittlig smoltutvandring, og dekker smittepresset fra ca. 1 uke før dette, og vurderes derfor som dekkende for smoltutvandringen.

Stasjon Uke n Vekt (range) Prevalens [KI] Intensitet [KI] Maks % >0.1 rel.int.
Herøyosen 21 77 135 (30-866) 97 [91-99] 39 [32-47] 161 78 [67-86]
  22 118 115 (28-1390) 98 [94-100] 29 [25-34] 113 85 [77-90]
  23 183 60 (25-410) 100 [98-100] 38 [34-44] 210 92 [87-95]
  24 225 72 (21-691) 100 [98-100] 33 [30-37] 184 98 [96-99]
  25 94 114 (22-676) 100 [96-100] 34 [29-42] 162 94 [87-97]
  26 15 296 (24-930) 100 [80-100] 39 [25-55] 104 60 [36-80]
Herdlafjorden 19 4 287 (129-457) 100 [51-100] 103 [86-130] 140 100 [51-100]
  20 26 307 (86-775) 100 [87-100] 67 [52-93] 237 73 [54-86]
  21 18 292 (95-1200) 100 [82-100] 72 [55-94] 179 89 [67-97]
  25 30 216 (30-890) 47 [30-64] 11 [6-17] 28 0 [0-11]
Balestrand 22 23 65 (20-166) 96 [79-100] 26 [15-54] 184 70 [49-84]
  23 13 80 (18-190) 92 [67-100] 25 [13-53] 114 69 [42-87]
  24 48 49 (13-320) 50 [36-64] 14 [8-24] 75 27 [17-41]
Bjordal 22 65 43 (15-186) 74 [62-83] 4 [3-6] 17 26 [17-38]
  24 51 62 (14-696) 100 [93-100] 13 [11-19] 84 78 [65-88]
Maurstadvika 22 31 137 (32-528) 97 [84-100] 59 [40-85] 221 71 [53-84]
  24 40 46 (17-144) 80 [65-90] 11 [7-18] 71 40 [26-55]
  25 22 67 (28-358) 95 [78-100] 21 [14-32] 78 77 [57-90]
Tabell 6. Infestasjon av lakselus på sjøørret i PO 4. Se Tabell 1 for forklaring av verdiene. Merk lav N enkelte uker.

Fordelingen av lus kan si noe om når fisken er smittet. Antall fastsittende lus var høy og dominerte i antall de første ukene undersøkt i på begge stasjonene i Nordhordland, Balestrand i Sognefjorden og Nordfjord (Figur 23). På slutten var det noe lavere antall fastsittende, dette kan indikere ett redusert smittepress.

 

Se figurtekst.
Figur 23. Antall lakselus (A), relativt antall lus (antall lus/gram kroppsvekt) (B) og antall lakselus fordelt på fastsittende og bevegelige stadier (C) fra sjøørret på stasjonene i PO4.

 

I Nordhordland ble det estimert høy dødelighet på sjøørret på begge stasjonene alle ukene undersøkt, med unntak av siste uken i Herdlafjorden hvor det estimeres lav dødelighet (Figur 24). På den innerste stasjonen i Sognefjorden (Balestrand) ble det estimert høy dødelighet de to første ukene, moderat i siste, mens på den ytterste stasjonen (Bjordal) ble det estimert moderat første og høy dødelighet siste uken. I Nordfjord (Maurstadvika) ble det estimert høy dødelighet den første uken, deretter moderat og høy dødelighet hhv. ukene 24 og 25.

 

Se figurtekst.
Figur 24. Estimert luseindusert dødelighet på rusefanget sjøørret med 95% konfidensintervaller. Alle beregningene er basert på all fisk fanget og alle lusestadier. Antall undersøkt hver uke er angitt i figuren.

 

Tråldata Sognefjorden

Det ble i 2023 trålt etter postsmolt av laks i Sognefjorden over 4 uker fra 10. mai til 4. juni, ukene 19-22. Fangsten var dårlig de to første ukene, men økte kraftig de to siste (Figur 25 og 26), hvor fangsten var høyest uke 21. Trålingen startet derfor omtrent 8 dager før estimert gjennomsnittlig utvandring for området (18. mai). Siden fisk fra de store indre elvene i tillegg trenger ca. 10 dager på vandringen fra elv til trålområde, betyr det at trålingen bør fange opp fisk som har vandret fra ca. 1. mai. Da trålingen er avsluttet 4. juni, vil utvandring frem til ca. 25. mai trolig dekkes av trålperioden. De store fangstene på slutten av trålperioden kan indikere at trålingen er avsluttet for tidlig til å fange opp sent utvandrende laks.

 

Se figurtekst.
Figur 25. Kumulativ fangst av utvandrende postsmolt av laks i Sognefjorden i 2023.

 

 

Figuren viser posisjonene for tråltrekkene i et kart
Figur 26. Tråltrekkene etter utvandrende postsmolt laks i Sognefjorden, hvor farge indikerer fangst.

 

Andelen av laks med lus (prevalens) økte fra 17 til 95 % fra uke 19 til 22 (Tabell 7). Gjennomsnittlig intensitet lå mellom 1 og 4 lus/fisk de tre første ukene, 16 lus/fisk siste uken.

Uke n Vekt (range) Prevalens [KI] Intensitet [KI] Maks N lus % >0.1 rel.int. [KI]
19 6 22 (18-26) 17 [1-56] 1 [1-1] 1 0 [0-39]
20 6 26 (18-34) 50 [19-81] 3 [3-4] 4 33 [10-70]
21 388 25 (12-45) 78 [73-82] 4 [4-5] 25 51 [46-56]
22 229 26 (13-50) 95 [91-97] 16 [15-17] 63 93 [89-96]
Tabell 7. Infestasjon av lakselus på utvandrende laksesmolt i Sognefjorden. Se Tabell 1 for forklaring av verdiene.

I de to første ukene estimeres lav dødelighet (merk lav N), deretter øker estimatene til moderat og høy (Figur 27). Estimatene er noe lavere enn i 2020, og uken med størst fangst er også uken med moderat estimert dødelighet.

 

Se figurtekst.
Figur 27. Estimert luseindusert dødelighet (med konfidensintervaller) som snitt av all trålfanget vill postsmolt av laks fanget hver uke i Sognefjorden. Antall undersøkt hver uke er angitt i figuren.

 

Ser en på snittet for hele trålperioden estimeres det høy (49 [42-55] %) dødelighet, som er noe lavere enn i 2019 og 2021, men høyere enn i 2018 og 2020 (Figur 28).

 

Se figurtekst.
Figur 28. Estimert luseindusert dødelighet som gjennomsnitt (med konfidensintervaller) av all fisk fanget beregnet med ulike toleransegrenser på trålfanget vill postsmolt av laks.

 

Det er gjennomført tilhørighet til elv analyser for Sognefjorden også i 2023, hvor 455 av 629 (72%) av laks er bestemt til hjemelv. Elvene er delt inn i regionene indre (fra Vikja og innover) og midtre (Ytredals og Dale).

Størst fangst fås av fisk fra Lærdal (n = 219), etterfulgt av Nærøy (n=99), Vikja (n=68), Årøy (n=20) og Mørkrids (n=18). Forholdet er derfor omtrent slik det er observert de fleste tidligere år (med unntak av 2021 hvor det ble fanget lite fisk fra Lærdal, samt at det tidligere ikke er fanget så mye fisk fra Vikja).

Det estimeres høy dødelighet på trålfanget smolt fra de indre og moderat for smolt fra de midtre elvene i 2023 (Figur 29).

 

Se figurtekst.
Figur 29. Estimert lakselusindusert dødelighet (med konfidensintervaller) på trålfanget vill postsmolt av laks tilordnet hjemelv. Antall er angitt i figuren. Elvene er gruppert i regioner.

 

Tråldata fra Nordfjord

Det ble i 2023 trålt etter postsmolt av laks i Nordfjord fra 8. mai til 3. juni, ukene 19-22. Fangsten var best de tre første ukene, høyest uke 20 (Figur 30). Trålingen startet derfor omtrent 10 dager før estimert gjennomsnittlig utvandring for området (18. mai). Siden fisk fra de indre elvene i tillegg trenger noen dager på vandringen fra elv til trålområde, betyr det at trålingen bør fange opp fisk som har vandret fra tidlig mai. Da trålingen er avsluttet 3. juni, vil utvandring frem til slutten av mai trolig dekkes av trålperioden. Vi anser derfor at trålperioden er dekkende for utvandringen, men relativt gode fangster første og siste tråluke kan indikere at noe fisk har vandret ut både før og etter.

 

Se figurtekst.
Figur 30. Kumulativ fangst av utvandrende postsmolt av laks i Nordfjord i 2023

 

 

Figuren viser posisjonene for tråltrekkene i et kart
Figur 31. Tråltrekkene etter utvandrende postsmolt laks i Nordfjord, hvor farge indikerer fangst. Grønt felt viser den nasjonale laksefjorden.

 

Andelen av laks med lus (prevalens) var på over ca. 50 % både første og siste tråluke, 83-84 % de to midterste (Tabell 8). Gjennomsnittlig intensitet var mellom 2 og 7 lus/fisk, høyest uke 21.

Uke n Vekt (range) Prevalens [KI] Intensitet [KI] Maks N lus % >0.1 rel.int. [KI]
19 91 20 (10-43) 49 [39-60] 2 [2-3] 8 22 [15-32]
20 201 19 (7-40) 83 [77-87] 3 [3-4] 22 57 [50-64]
21 73 24 (14-38) 85 [75-91] 7 [5-9] 39 64 [53-74]
22 45 19 (9-32) 51 [37-65] 4 [2-8] 30 27 [16-41]
Tabell 8. Infestasjon av lakselus på utvandrende laksesmolt i Nordfjord. Se Tabell 1 for forklaring av verdiene.

Estimert lakselusrelatert dødelighet regnet som snitt av fisk fanget de respektive ukene økte fra lav til høy de tre første ukene, og lav den siste (Figur 32).

 

Se figurtekst.
Figur 32. Estimert lakselusindusert dødelighet (med konfidensintervaller) som snitt av all trålfanget vill postsmolt av laks fanget hver uke i Nordfjord. Antall undersøkt hver uke er angitt i figuren.

 

Ser en på snittet for hele trålperioden estimeres det moderat (22 [19-26] %) dødelighet i 2023 (Figur 33).

 

Se figurtekst.
Figur 33. Estimert luseindusert dødelighet (med konfidensintervaller) som snitt av all fisk fanget de ulike år beregnet med ulike toleransegrenser på trålfanget vill postsmolt av laks.

 

Det er gjennomført tilhørighet til elv analyser for Nordfjord i 2023. Av totalfangsten på 410 laks kunne 275 (67 %) bestemmes genetisk til hjemelv.

Størst fangst var av fisk fra Gjengedalselva (n = 72), etterfulgt av Hopselva (n=51), Hjalma (n=37) og Strynelva (n=36). Inndelt i regionene indre (Loelva, Oldenelva, Strynelva), midtre Gjengedalsvassdraget, Gloppenelva, Hopselva, Ryggelva) og ytre (Hjalma), estimeres luserelatert dødelighet til moderat på laks fra alle regionene (Figur 34).

 

Se figurtekst.
Figur 34. Estimert lakselusindfusert dødelighet (med konfidensintervaller) på trålfanget vill postsmolt av laks tilordnet hjemelv. Antall er angitt i figuren. Elvene er gruppert i regioner.

 

Vaktbur

Vaktburene var i 2023 satt ut i Sognefjorden i 2 perioder, 18. mai - 2. juni og 1. - 14 juni (Figur 35). Vaktburene indikerte moderat smittepress i midtre og lavt i ytre deler av fjorden begge rundene.

 

Se posdisjonen til vaktburene i ett kart over Sognefjorden.
Figur 35. Snitt antall lakselus normalisert til 14 dager på vaktburene i Sognefjorden 2023. Punktene viser burposisjonene, grønt angir < 2, gult 2-6 og rødt > 6 lus/fisk. Tallene angir antall undersøkt.

 

Gitt en gjennomsnittlig utvandring av laks i uke 20 (18. mai) dekker første runden fra median dato for utvandring og de to neste ukene. Den andre perioden dekker sent utvandrende laks, og laks som bruker lang tid på vandringen gjennom fjorden.

3.5 - PO 5 Stadt til Hustadvika

Ruse og garnfangst av sjøørret i 2023 indikerte høyt smittepress i ytre deler av Romsdalsfjorden, både på den sørlige delen (Vatnefjorden ukene 22-27) og i den nordlige delen (Frænfjorden uke 23 og 25). Det estimeres også høy lakselusrelatert dødelighet ytterst i Storfjorden (Ørsta) ukene 23 og 25. Data fra ruse og garnfangst støtter derfor en kategorisering i høy lakselusindusert dødelighet. Siden midtpunkt for utvandring i dette området er estimert til uke 20, er tidsrommet for undersøkelsene i Vatnefjorden dekkende for utvandringen, mens Ørsta og Frænfjorden dekker fra omtrent midtpunkt for utvandring. Smittekartene indikerer høyt smittepress i store deler av området, og øker på slutten av utvandringsperioden. Usikkerheten vurderes som middels, basert på begrenset antall stasjoner i Romsdalsfjorden og det bare undersøkt en stasjon i Storfjordsystemet.

Tråldata fra Romsdalsfjorden indikerer høy lakselusrelatert dødelighet første uken (lav n), og økende fra lav til høy de tre siste ukene (lav n siste uken). For trålepioden som helhet estimeres moderat dødelighet (23 [17-30] %). Når elvene ble inndelt i regioner, er estimert dødelighet for elvene fra nordsiden høy, mens for elvene i de sørlige og østre deler estimeres moderat dødelighet. Tråldata støtter derfor en kategorisering i moderat lakselusindusert dødelighet. Usikkerheten vurderes som stor selv om fangstdata kan indikere at trålperioden har vært relativt dekkende for smoltutvandringen er antall fanget fisk relativt lav gjennom hele perioden, og i tillegg tråles det ikke i Storfjorden hvor smittekartene indikerer høyere smittepress enn i Romsdalsfjorden.

Det er ikke benyttet vaktbur i dette området.

Ruse og garnfangst

I produksjonsområde 5 er Ørsta ytterst i Storfjorden og Vatne- og Frænfjorden i Romsdalsfjorden undersøkt med ruse og garn (Figur 36). Gjennomsnittlig midtpunkt for utvandring er 20. mai (uke 20 i 2023).

 

Figuren viser ørretstasjonene i et kart
Figur 36. Stasjonene undersøkt med ruse eller garn i PO5 i 2023. Grønne felt viser de nasjonale laksefjordene.

 

Ørsta og Frænfjorden ble undersøkt ukene 23 og 25, Vatnefjorden ukene 22-27 (men merk svært lav N i uke 25), og Frænfjorden i uke 23. Prevalens for sjøørreten ved Ørsta økte fra 68 til 99 %, og intensiteten fra 26 til 64 lus/fisk (Tabell 9). For stasjonene i utkanten av Romsdalsfjordsystemet, var det mest lus på sørsiden (Vatnefjorden) hvor prevalens var 100% foruten første uken, og intensiteten var mellom 24 og 38 lus/fisk. I Frænfjorden hadde 91 og 96% av fisken lus, og intensiteten var 13-16 lus/fisk.

Stasjon Uke n Vekt (range) Prevalens [KI] Intensitet [KI] Maks n lus % >0.1 rel.int.
Ørsta 23 57 60 (19-456) 68 [56-79] 26 [20-34] 73 53 [40-65]
  25 70 42 (22-233) 99 [92-100] 64 [51-80] 256 97 [90-99]
Vatnefjord 22 45 104 (23-660) 73 [59-84] 35 [24-49] 138 60 [45-73]
  23 17 82 (23-540) 100 [82-100] 26 [17-41] 97 94 [73-100]
  24 12 75 (31-225) 100 [76-100] 24 [16-40] 79 92 [65-100]
  25 6 69 (37-167) 100 [61-100] 25 [13-33] 40 100 [61-100]
  26 43 143 (21-678) 100 [92-100] 38 [32-46] 136 86 [73-93]
  27 20 109 (41-310) 100 [84-100] 37 [27-55] 138 85 [64-95]
Frænfjord 23 46 38 (17-336) 91 [80-97] 13 [9-19] 72 78 [64-88]
  25 52 29 (15-68) 96 [87-99] 16 [13-21] 58 87 [75-93]
Tabell 9. Infestasjon av lakselus på sjøørret i PO 5. Se Tabell 1 for forklaring av verdiene. Merk lav N enkelte uker.

Stadiefordelingen av lus på den rusefangete sjøørreten viser at de fastsittende stadiene dominerer i de fleste uttakene (Figur 37). Ruseundersøkelsene i Ørsta og Frænfjorden startet omtrent 3 uker etter dato for gjennomsnittlig midtpunkt for utvandring i området, Vatnefjorden startet en uke tidligere og er i tid derfor relativt dekkende fra omtrent 1 uke før gjennomsnittlig utvandring for området.

 

Se figurtekst.
Figur 37. Antall lakselus (A), relativt antall lus (antall lus/gram kroppsvekt) (B) og antall lakselus fordelt på fastsittende og bevegelige stadier (C) fra sjøørret på stasjonene i PO5.

 

Estimert lakselusindusert dødelighet på den undersøkte sjøørreten ved Ørsta var høy begge ukene (Figur 38), og i Romsdalsfjorden estimeres det høy dødelighet alle de undersøkte ukene i både Vatne på sørsiden og Frænfjorden på nordsiden.

 

Se figurtekst.
Figur 38. Estimert luseindusert dødelighet på rusefanget sjøørret med 95% konfidensintervaller. Alle beregningene er basert på all fisk fanget og alle lusestadier. Antall undersøkt hver uke er angitt i figuren.

 

Tråldata

Det ble trålt i Romsdalsfjorden fra 15. mai til 11. juni, ukene 20-23. Fangsten var lav i starten og slutten, høyest fangst var månedsskiftet mai-juni (Figur 39).

 

Se figurtekst.
Figur 39. Kumulativ fangst av utvandrende postsmolt av laks i Romsdalsfjorden 2023.

 

Trålhalene ble tatt i ytre deler av Romsdalsfjorden (Figur 40), og anses som relativt godt egnet til å vurdere smittepress på laksesmolten.

 

Figuren viser posisjonene for tråltrekkene i et kart
Figur 40. Tråltrekkene etter utvandrende postsmolt laks i Romsdalsfjorden, hvor farge indikerer fangst. Grønt felt viser den nasjonale laksefjorden.

 

Prevalens på den trålfangete fisken var mellom 40 og 76%, høyest de tre siste ukene trålt (Tabell 10). Intensitet varierte fra 3-12 lus/fisk høyest siste uken (12 lus/fisk). Størst fangst var uke 22.

Uke n Vekt (range) Prevalens [KI] Intensitet [KI] Maks N lus % >0.1 rel.int. [KI]
20 5 18 (11-24) 40 [12-77] 8 [7-8] 9 40 [12-77]
21 25 23 (15-40) 76 [57-89] 3 [2-9] 29 20 [9-39]
22 85 20 (11-43) 75 [65-83] 6 [4-13] 106 48 [38-59]
23 7 25 (17-44) 71 [36-92] 12 [2-40] 50 43 [16-75]
Tabell 10. Infestasjon av lakselus på utvandrende laksesmolt i Romsdalsfjorden. Merk lav N enkelte uker. Se Tabell 1 for forklaring av verdiene.

Dødeligheten i ukene 20-23 estimeres til høy første uken (lav n), og økende fra lav til høy de tre siste ukene (Figur 41).

 

Se figurtekst.
Figur 41. Estimert lakselusindusert dødelighet (med konfidensintervaller) som snitt av all trålfanget vill postsmolt av laks fanget hver uke i Romsdalsfjorden. Antall undersøkt hver uke er angitt i figuren.

 

For hele trålperioden uavhengig av uke estimeres moderat (23 [17-30] %) dødelighet (Figur 42). Dette er noe høyere enn i 2020-2022.

 

Se figurtekst.
Figur 42. Estimert lakselusindusert dødelighet (med konfidensintervaller) som snitt av all fisk fanget beregnet med ulike toleransegrenser trålfanget vill postsmolt av laks.

 

Det er gjort genetisk tilhørighetsanalyse også i 2023. Av de totalt 122 laksene fanget er 73 (60 %) genetisk bestemt til hjemelv. Fangstene domineres av Visa (n=35), Opdøls (n=10) og Tressa (n=9). Basert på tilhørighetsanalysene estimeres det moderat dødelighet for de østlige (Eira, Mittet, Visa) og de nordlige elvene (Oppdøls, Os, Røa) og høy lakselusindusert dødelighet for de sørlige (Skorg, Tressa, Rauma) elvene (Figur 43).

 

Se figurtekst.
Figur 43. Estimert lakselusindusert dødelighet (med konfidensintervaller) på trålfanget vill postsmolt av laks tilordnet hjemelv. Elver som kan tilordnes er vist i kartet til høyre. Antall er angitt i figuren. Elvene er gruppert i regioner.

 

3.6 - PO 6 Nordmøre og Sør-Trøndelag

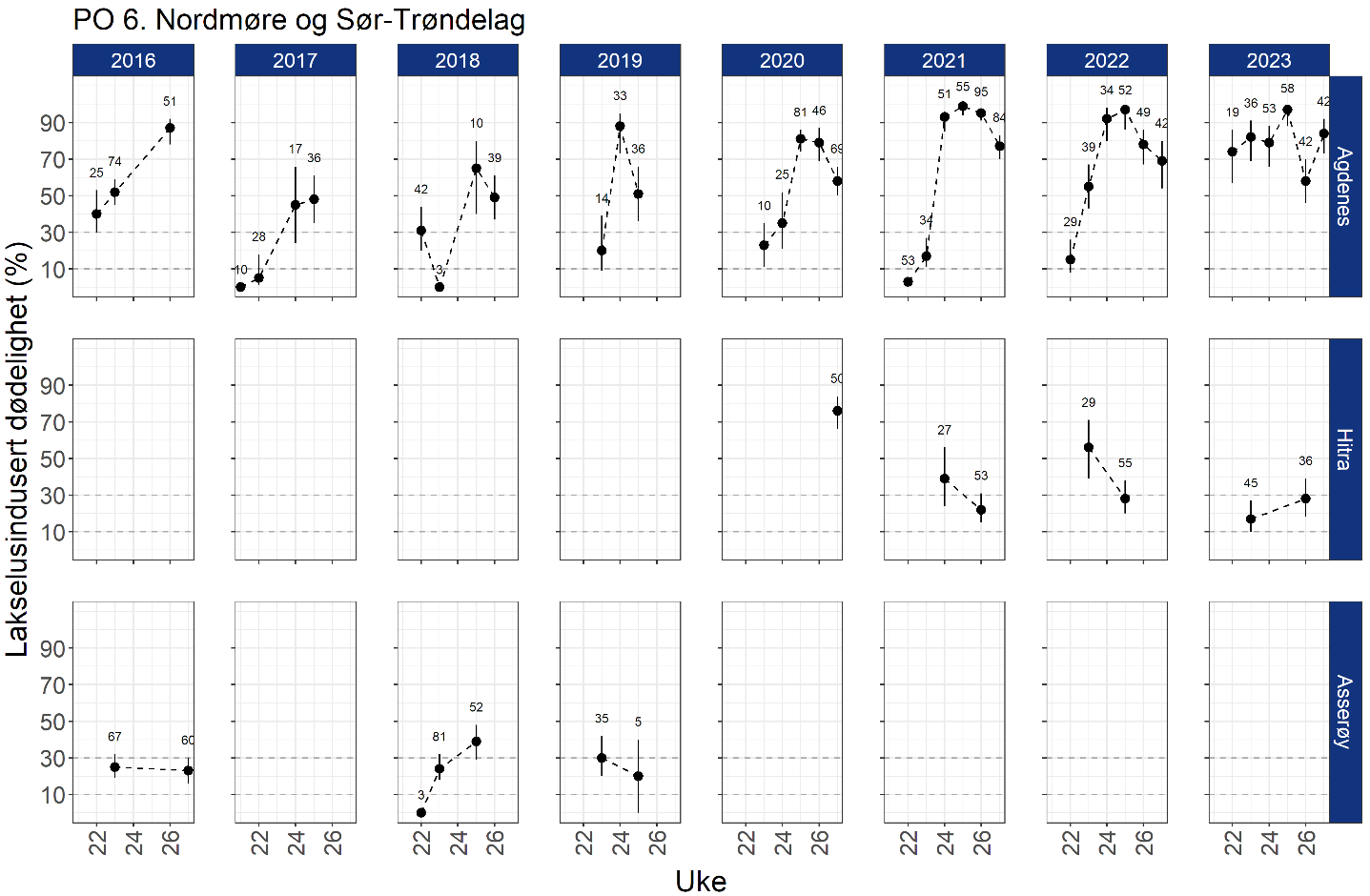
Data fra ruse og garnfangst fra like etter smoltutvandringen indikerer høy lakselusrelatert dødelighet for sjøørret fanget ved Agdenes alle ukene 22-27, moderat ved Hitra både uke 23 og 26. Undersøkelsene ved Agdenes startet uken etter midtpunkt for utvandring, og anses relativt dekkende for utvandringsperioden for laksen fra Trondheimsfjorden, mens stasjonen på Hitra er undersøkt 2 uker etter estimert median utvandring og vil derfor dekke fra omtrent en uke før midtpunkt for utvandring. Smittekartene sentrert rundt midtpunkt for utvandring viser høyest tetthet av kopepoditter i de sørlige delene av området, og at tettheten øker i utvandringsperioden for laks. Rusedata fra Agdenes avviker noe fra smittekartene, mens smittepresset på nordsiden av Hitra er lavere og mer i samsvar med smittepresset. Ruse og garndata tilser derfor en kategorisering i høy lakselusrelatert dødelighet, men usikkerheten anses som stor da det bare er undersøkt to stasjoner, og disse dekker ikke området med høyest tetthet av lakselus på Nordmøre.

Det er ikke benyttet vaktbur eller trålt etter utvandrende laksesmolt.

Ruse og garnfangst

I produksjonsområde 6 har vi undersøkt Agdenes sammenhengende ukene 22 til 27 og Hitra uke 23 og 26 (Figur 44). Gjennomsnittlig midtpunkt for utvandring er 24. mai (uke 21 i 2023).

 

Figuren viser ørretstasjonene i et kart
Figur 44. Stasjonene undersøkt med ruse eller garn i PO6 i 2022. Grønne felt viser de nasjonale laksefjordene.

 

Agdenes er som tidligere år undersøkt, i 2023 ukene 22-27, i tillegg er Hitra undersøkt ukene 23 og 26. Ved Agdenes var prevalens nær 100% alle ukene (Tabell 11), mens intensiteten varierte, men var oftest høy (> 28 lus/fisk). Ved Hitra økte prevalens fra 67 til 97%, og intensiteten var 21 og 16 lus/fisk. Da midtpunkt for smoltutvandringen i dette området er uke 21, dekker undersøkelsen i Agdenes 1-2 uker før midtpunktet, mens Hitra dekker siste halvdel. Merk at fisken fra Trondheimsfjorden vil bruke noe tid for å komme ut til dette området.

Stasjon Uke n Vekt (range) Prevalens [KI] Intensitet [KI] Maks n lus % >0.1 rel.int.
Agdenes 22 21 208 (36-1467) 100 [85-100] 37 [27-50] 93 89 [69-97]
  23 36 161 (49-637) 100 [90-100] 78 [60-104] 291 81 [65-90]
  24 53 134 (39-465) 92 [82-97] 106 [87-127] 312 79 [67-88]
  25 58 159 (62-432) 100 [94-100] 83 [76-90] 154 97 [88-99]
  26 42 313 (31-2487) 100 [92-100] 28 [22-34] 94 64 [49-77]
  27 42 279 (28-1774) 100 [92-100] 73 [57-104] 393 83 [69-92]
Hitra 23 45 362 (34-1530) 67 [52-79] 21 [13-32] 92 9 [4-21]
  26 36 209 (46-723) 97 [86-100] 16 [11-28] 121 33 [20-50]
Tabell 11. Infestasjon av lakselus på sjøørret i PO 6. Se Tabell 1 for forklaring av verdiene.

Fordelingen av lus på sjøørreten fanget med ruse og garn viser noe overvekt av de fastsittende stadiene de to første ukene undersøkt ved Agdenes (Figur 45), men uke 25 og 25 ses en kraftig økning i påslag. Ved Hitra dominerer de fastsittende stadiene i første undersøkte uke.

 

Se figurtekst.
Figur 45. Antall lakselus (A), relativt antall lus (antall lus/gram kroppsvekt) (B) og antall lakselus fordelt på fastsittende og bevegelige stadier (C) fra sjøørret på stasjonene i PO6.

 

Estimert lakselusrelatert dødelighet for sjøørreten fanget ved Agdenes er høy alle de undersøkte ukene (Figur 46). Med unntak av høyere estimert dødelighet i starten av overvåkingen, er dette mye tilsvarende resultater som observert årene 2016-2022. Ved Hitra estimeres det moderat lakselusrelatert dødelighet begge ukene undersøkt.

 

Se figurtekst.
Figur 46. Estimert luseindusert dødelighet på rusefanget sjøørret med 95% konfidensintervaller. Alle beregningene er basert på all fisk fanget og alle lusestadier. Antall undersøkt hver uke er angitt i figuren.

 

3.7 - PO 7 Nord-Trøndelag med Bindal

Sitter ble undersøkt med garn/ruse uke 24 og 26. Data indikerer moderat lakselusindusert dødelighet uke 24, høy uke 26. Stasjonen ble overvåket fra ca. 2 uker etter estimert dato for utvandring og anses dekkende fra 1-2 uker før dette. Påslagene uke 24 er dominert av fastsittende lus. De fastsittende stadiene uke 26 er dekkende for sent utvandrende smolt. Smittepresskartene indikerer at høyest tetthet av lakselus er nord for Vikna. Data fra ruse/garn støtter derfor en kategorisering i moderat lakselusindusert dødelighet. Da det bare er en stasjon i området som ikke dekker området med høyest tetthet av lakselus, anser vi at kategoriseringen har stor usikkerhet.

Det er ikke benyttet vaktbur eller trålt etter utvandrende laksesmolt.

Ruse og garnfangst

Sitter rett sør for innløpet til Namsenfjorden er undersøkt med garn og ruse (Figur 47). Gjennomsnittlig midtpunkt for utvandring er 2. juni (uke 22 i 2023).

 

Figuren viser ørretstasjonene i et kart
Figur 47. Stasjonen undersøkt med ruse eller garn i PO7 i 2022. Grønne felt viser de nasjonale laksefjordene.

 

Stasjonen Sitter sør for innløpet til Namsfjorden ble undersøkt i ukene 24 og 26. Prevalens var høy begge ukene (77-100 %) (Tabell 12). Intensiteten var hhv. 9 og 30 lus/fisk. Fangstene var gode begge ukene.

Stasjon Uke n Vekt (range) Prevalens [KI] Intensitet [KI] Maks n lus % >0.1 rel.int.
Sitter 24 39 52 (30-236) 77 [62-87] 9 [6-14] 51 46 [32-61]
  26 50 199 (26-860) 100 [93-100] 30 [24-37] 113 76 [63-86]
Tabell 12. Infestasjon av lakselus på sjøørret i PO 7. Se Tabell 1 for forklaring av verdiene.

I uke 24 var fordelingen av lus på sjøørreten dominert av de fastsittende stadiene (Figur 48), mens i uke 26 var antall både fastsittende og bevegelige lus høyere. Dette indikere økende smittepress fra uke 24 til uke 26.

 

Se figurtekst.
Figur 48. Antall lakselus (A), relativt antall lus (antall lus/gram kroppsvekt) (B) og antall lakselus fordelt på fastsittende og bevegelige stadier (C) fra sjøørret på stasjonene i PO7.

 

Estimert dødelighet ved Sitter var moderat uke 24, høy uke 26 (Figur 49). Estimatene er lavere den første uken enn observert 2019-2022.

 

Se figurtekst.
Figur 49. Estimert luseindusert dødelighet på rusefanget sjøørret med 95% konfidensintervaller. Alle beregningene er basert på all fisk fanget og alle lusestadier. Antall undersøkt hver uke er angitt i figuren.

 

3.8 - PO 8 Helgeland til Bodø

Stasjonene Leirfjord og Meisfjorden er undersøkt med garn/ruse. Data fra garn/ruse indikerer lav lakselusindusert dødelighet for sjøørreten ved Leirfjord, og høy dødelighet for sjøørret ved Meisfjorden i uke 27. Smittekarten sentrert rundt gjennomsnittlig dato for utvandring viser høy tetthet av lakselus begrensede områder i andre deler av produksjonsområdet, mens ROC kartene som dekker tiden fra gjennomsnittlig dato for utvandring indikerer høyere smitte nord og sør for de undersøkte områdene. Tettheten av lakselus er relativt stabil i første del av smoltutvandringen, men øker kraftig mot slutten av juli (uke 29-30). Data fra ruse/garn støtter derfor en kategorisering i lav lakselusindusert dødelighet. På grunn av få observasjoner og lavt antall på den ene stasjonen som også er undersøkt sent i et område hvor smittemodellen indikerer stor variasjon i smittepresset anser vi at kategoriseringen har stor usikkerhet.

Det er ikke benyttet vaktbur eller trålt etter utvandrende laksesmolt.

Ruse og garnfangst

Det er foretatt ruse og garnfiske på stasjonene Leirfjord og Meisfjorden (Figur 50). Gjennomsnittlig midtpunkt for utvandring er 7. juni (uke 23 i 2023).

 

Figuren viser ørretstasjonene i et kart
Figur 50. Stasjonene undersøkt med ruse eller garn i PO8 i 2022. Grønne felt viser de nasjonale laksefjordene.

 

Fisken fanget i Leirfjord hadde ikke lus ukene 24 og 26, mens prevalens var 36% uke 27 (Tabell 13). Intensitet uke 27 var 41 lus/fisk (merk at dette var betydelig større fisk enn uken før). I Meisfjorden uke 27 hadde 86 % av fisken lus, intensitet var 16 lus/fisk, men det ble fanget få fisk på denne stasjonen. Leirfjord er undersøkt ca. 1-4 uker etter estimert median utvandring (dvs. uke 23), og tidsperioden undersøkt anses som dekkende for smoltutvandringen i området. Meisfjorden er undersøkt uke 27, og de fastsittende stadiene vil derfor være dekkende for smittepresset fra omtrent en uke etter gjennomsnittlig dato for utvandring.

Stasjon Uke n Vekt (range) Prevalens [KI] Intensitet [KI] Maks n lus % >0.1 rel.int.
Leirfjord 24 29 49 (34-74) 0 [0-12]     0 [0-12]
  26 13 52 (26-86) 0 [0-23]     0 [0-23]
  27 14 211 (20-1130) 36 [16-61] 41 [1-143] 178 7 [0-31]
Meisfjorden 27 7 109 (26-430) 86 [49-99] 16 [8-40] 55 57 [25-84]
Tabell 13. Infestasjon av lakselus på sjøørret i PO 8. Se Tabell 1 for forklaring av verdiene.

Det er få fisk med lus, og fordelingen av lus på fisk er svært variabel, men indikerer lavt smittepress i Leirfjord i perioden undersøkt (Figur 51). I Meisfjorden er antall bevegelige lavt, mens antall fastsittende er noe høyere. Dette indikere ett høyere smittepress de 3 foregående ukene, men dette blir da etter gjennomsnittlig dato for utvandring.

 

Se figurtekst.
Figur 51. Antall lakselus (A), relativt antall lus (antall lus/gram kroppsvekt) (B) og antall lakselus fordelt på fastsittende og bevegelige stadier (C) fra sjøørret på stasjonene i PO8.

 

I Leirfjord estimeres det lav lakselusrelatert dødelighet alle ukene (Figur 52). Estimert dødelighet er tilsvarende som tidligere år på denne stasjonen. I Meisfjorden uke 27 estimeres høy lakselusrelatert dødelighet.

 

Se figurtekst.
Figur 52. Estimert luseindusert dødelighet på rusefanget sjøørret/sjørøye med 95% konfidensintervaller. Alle beregningene er basert på all fisk fanget og alle lusestadier. Antall undersøkt hver uke er angitt i figuren.

 

3.9 - PO 9 Vestfjorden og Vesterålen

Stasjonen Steigen er undersøkt med garn/ruse. Data fra garn/ruse indikerer lav lakselusindusert dødelighet i første periode (uke 25) og høy lakselusindusert dødelighet i andre periode (uke 27). Resultatene støtter en kategorisering i lav lakselusrelatert dødelighet. Smittekartene sentrert rundt median utvandring indikerer enkelte områder med forhøyet smittepress, spesielt Nordfolda. Tettheten av kopepoditter er relativt stabilt frem til midten av juni, men øker deretter. ROC kartene som dekker fra gjennomsnittlig midtpunkt for utvandring indikerer tilsvarende, men noe mer lus i ved stasjonen i Steigen. Stasjonen ble overvåket fra ca. 2 uker etter midtpunkt for utvandring, og anses dekkende fra ca. 1-2 uker før dette. Det er bare undersøkt en stasjon i dette området, og den dekker ikke området med høyest tetthet av lakselus, og vi anser derfor at kategoriseringen har stor usikkerhet.

Det er ikke benyttet vaktbur eller trålt etter utvandrende laksesmolt.

Ruse og garnfangst

I dette området har vi undersøkt stasjonen Steigen (Figur 53) med ruse og garn ukene 25 og 27. I dette produksjonsområdet estimeres gjennomsnittlig midtpunkt for utvandring 9. juni (uke 23 i 2023).

 

Figuren viser ørretstasjonene i et kart
Figur 53. Stasjonen undersøkt med ruse eller garn i PO9 i 2022.

 

Første fangstuken (uke 25) hadde 62% av fisken lus, og intensiteten var 5 lus/fisk (Tabell 14). To uker senere hadde nær all fisken lus, og intensiteten var økt til 18 lus/fisk.

Stasjon Uke n Vekt (range) Prevalens [KI] Intensitet [KI] Maks n lus % >0.1 rel.int.
Steigen 25 39 92 (40-714) 62 [46-75] 5 [3-11] 39 8 [3-20]
  27 54 150 (42-1282) 98 [90-100] 18 [13-23] 69 52 [39-65]
Tabell 14. Infestasjon av lakselus på sjøørret i PO 9. Se Tabell 1 for forklaring av verdiene.

Fordelingen av lus viser at de fastsittende stadiene dominerer lusepopulasjonen i uke 25 i Steigen (Figur 54), mens både antall fastsittende og bevegelige lus bar høyere uke 27. Dette indikerer ett lavt smittepress i starten, noe høyere senere. Undersøkelsen i Steigen har startet ca. 2 uker etter median tid for utvandring i området, og antall av fastsittende stadiene av lus er derfor dekkende for lusepåslagene 1-2 uker før dette. Uke 27 er dekkende for utvandringen noe etter gjennomsnittlig dato for utvandring.

 

Se figurtekst.
Figur 54. Antall lakselus (A), relativt antall lus (antall lus/gram kroppsvekt) (B) og antall lakselus fordelt på fastsittende og bevegelige stadier (C) fra sjøørret på stasjonene i PO9.

 

Det estimeres økende fra lav til moderat lakselusrelatert dødelighet ukene 25 til 27 i Steigen (Figur 55).

 

Se figurtekst.
Figur 55. Estimert luseindusert dødelighet på rusefanget sjøørret/sjørøye med 95% konfidensintervaller. Alle beregningene er basert på all fisk fanget og alle lusestadier. Antall undersøkt hver uke er angitt i figuren.

 

3.10 - PO 10 Andøya til Senja

Stasjonene Finnsnes og Løksebotn undersøkt med garn/ruse. Data fra Finnsnes indikerer lav lakselusindusert dødelighet i uke 26, moderat uke 28, mens i Løksebotn estimeres lav lakselusrelatert dødelighet de samme ukene. Da gjennomsnittlig utvandring for dette området er estimert til uke 23, og undersøkelsene startet uke 26, anses undersøkelsen å dekke infeksjonstrykket fra midtpunkt for utvandring, den siste undersøkte uken vil dekke perioden for sent utvandrende smolt. Rusedata indikerer derfor en kategorisering i lav lakselusrelatert dødelighet. Smittekartene som dekker median utvandring indikerer få områder med forhøyet smittepress, hovedsakelig enkelte områder ved Senja, senere øker tettheten av lus i de sørlige delene av området. Stasjonene anses dekkende for smittepresset i området tidlig i sesongen, men dekker ikke områdene med høyest tetthet av lus etter midtpunkt for utvandring. Vi anser derfor at kategoriseringen har moderat usikkerhet.

Det er trålt etter postsmolt av laks i Vågsfjorden sør for Senja. Fangstene var lave, og det ble bare fanget laks de tre første ukene, høyest første fangstuke. Estimert dødelighet for hele trålperioden er lav, og tilsvarende om en deler dette opp i uker, eller i forhold til region elven renner ut i. Tråldata støtter derfor en kategorisering i lav lakselusrelatert dødelighet. Antall fisk fanget var lavt, høyest fangst var første fangstuken som kan indikere at det har utvandret fisk før trålingen startet, og fisken er i stor grad fanget nær elven de utvandret fra, med unntak av de fra Senja nord som også har høyest estimert luserelatert dødelighet. Luserelatert dødelighet er derfor trolig underestimert. Usikkerheten i kategoriseringen vurderes derfor som stor.

Det er ikke satt ut vaktbur i dette området.

Ruse og garnfangst

I dette området har vi undersøkt stasjoner i Løksebotn og Finnsnes med ruse og garn (Figur 56). Gjennomsnittlig midtpunkt for utvandring er 13. juni (uke 23 i 2023).

 

Figuren viser ørretstasjonene i et kart
Figur 56. Stasjonene undersøkt med ruse eller garn i PO10 i 2022. Grønt felt viser den nasjonale laksefjorden.

 

Prevalens av lakselus på sjøørret fanget ved Finnsnes økte fra 27 til 67 % mens intensiteten falt fra 14 til 5 lus/fisk ukene 26 og 28. For Løksebotn økte prevalens fra 5 til 77%, og intensiteten fra 3 til 6 lus/fisk de samme ukene (Tabell 15)

Stasjon Uke n Vekt (range) Prevalens [KI] Intensitet [KI] Maks n lus % >0.1 rel.int.
Løksebotn 26 30 187 (40-1006) 27 [14-44] 14 [4-33] 56 0 [0-11]
  28 36 143 (42-1098) 67 [50-80] 5 [3-8] 26 0 [0-10]
Finnsnes 26 40 53 (30-150) 5 [1-17] 3 [1-4] 6 0 [0-9]
  28 60 76 (24-252) 77 [65-86] 6 [5-9] 25 20 [12-32]
Tabell 15. Infestasjon av lakselus på sjøørret i PO 10. Se Tabell 1 for forklaring av verdiene.

Fordelingen av lus på fisken fanget i uke 26 viser lavt antall lus i alle stadier første uken undersøkt (uke 26) på begge stasjonene, og noe høyere antall fastsittende uke 28, som indikerer noe økende smittepress i begge områdene undersøkt (Figur 57).

 

Se figurtekst.
Figur 57. Antall lakselus (A), relativt antall lus (antall lus/gram kroppsvekt) (B) og antall lakselus fordelt på fastsittende og bevegelige stadier (C) fra sjøørret på stasjonene i PO10.

 

Estimert lakselusrelatert dødelighet er lav begge de undersøkte ukene i Løksebotn, og øker fra lav til moderat ved Finnsnes fra uke 26 til uke 28 (Figur 58).

 

Se figurtekst.
Figur 58. Estimert luseindusert dødelighet på rusefanget sjøørret/sjørøye med 95% konfidensintervaller. Alle beregningene er basert på all fisk fanget og alle lusestadier. Antall undersøkt hver uke er angitt i figuren.

 

Tråldata

I 2023 ble det trålt i perioden 13. juni – 9. juli, ukene 24-27. Det ble fanget lite laks, spesielt de siste ukene, størst fangst fra 16. til 28. juni (Figur 59).

 

Se figurtekst.
Figur 59. Kumulativ fangst av utvandrende postsmolt av laks i Vågsfjorden i 2023.

 

Mye av fangsten er tatt relativt nært land, spesielt opp mot Senja (Figur 60.

 

Figuren viser posisjonene for tråltrekkene i et kart
Figur 60. Tråltrekkene etter utvandrende postsmolt laks i Vågsfjorden, hvor farge indikerer fangst. Grønt felt viser den nasjonale laksefjorden.

 

Andelen av laks med lus (prevalens) var på 9 % i begynnelsen av trålingen for deretter å øke til 24 % uke 25 (Tabell 5). Ingen av de 7 laksene som ble fanget uke 26 hadde lus, og det ble ikke fanget laks i uke 27. Gjennomsnittlig intensitet var mellom 1 og 2 lus/fisk.

Uke n Vekt (range) Prevalens [KI] Intensitet [KI] Maks N lus % >0.1 rel.int. [KI]
24 22 21 (15-32) 9 [3-28] 1 [1-2] 2 5 [0-22]
25 17 17 (9-38) 24 [10-47] 2 [1-2] 3 12 [3-34]
26 7 18 (12-21) 0 [0-35]     0 [0-35]
27 0          
Tabell 16. Infestasjon av lakselus på utvandrende laksesmolt i Vågsfjorden. Se Tabell 1 for forklaring av verdiene.

Estimert dødelighet på utvandrende postsmolt av laks var lav ukene 24-26 (Figur 61).

 

Se figurtekst.
Figur 61. Estimert lakselusindusert dødelighet (med konfidensintervaller) som snitt av all trålfanget vill postsmolt av laks fanget hver uke i Vågsfjorden. Antall undersøkt hver uke er angitt i figuren.

 

Regnet som snitt av all fisken fanget i Vågsfjorden estimeres lav lakselusindusert dødelighet i 2023, 1 [0-3] % (Figur 62).

 

Se figurtekst.
Figur 62. Estimert lakselusindusert dødelighet (med konfidensintervaller) beregnet med ulike toleransegrenser på trålfanget vill postsmolt av laks.

 

Av de 46 analyserte postsmolt av laks fanget i trålen, kan 33 (72 %) bestemmes til hjemelv. Fangstene domineres av fisk fra Tennelv (n=11), Ånderå (n=8) og Laukhelle (n=6).

Estimert dødelighet beregnet for fisk fra de ulike regionene Reisafjorden (Skøelv), Senja nord (Lysbotn), Senja midt (Laukhelle) og Senja sør (Tennelv og Åndervassdraget), estimeres det lav lakselusrelatert dødelighet på fisk fra alle regionene, hvor fisken fra Senja nord (Lysbotnvassdraget) er helt på grensen til moderat (10 [0-15] %) (Figur 63).

 

Se figurtekst.
Figur 63. Estimert luseindusert​​​ dødelighet (med konfidensintervaller) på trålfanget vill postsmolt av laks tilordnet hjemelv. Elver som kan tilordnes er vist i kartet til høyre. Antall er angitt i figuren. Elvene er gruppert i regioner.

 

3.11 - PO 11 Kvaløya til Loppa

I 2023 ble to stasjoner i Nord-Reisa undersøkt med garn/ruse, Oksfjord (uke 24-25 og 27-28) og Straumfjord (uke 27). Data fra begge stasjoner indikerer lav lakselusindusert dødelighet alle undersøkte ukene. Data fra ruse/garn støtter derfor en kategorisering i lav lakselusindusert dødelighet. Smittekartene indikerer lav tetthet av lakselus i området undersøkt med ruse, men noe høyere i andre begrensede områder. Tetthet av kopepoditter indikerer en svak økning fra midten av juni til midten av juli. Stasjonene ble overvåket fra samme uke som estimert midtpunkt for utvandring, og anses dekkende fra 1-2 uker før. Resultatene fra ruseundersøkelsene er i samsvar med forventingene fra smittekartene, men p å grunn av få stasjoner (kun to nærliggende) og tidvis lav fangst anser vi at kategoriseringen har middels usikkerhet.

Det er ikke benyttet vaktbur eller trålt etter utvandrende laksesmolt.

Ruse og garnfangst

I dette området har vi undersøkt to nærliggende stasjoner i Reisa, Straumfjord og Oksfjord (Figur 64) med ruse og garn sammenhengende ukene 24-28. Gjennomsnittlig midtpunkt for utvandring er 19. juni (uke 24 i 2023).

 

Figuren viser ørretstasjonene i et kart
Figur 64. Stasjonene undersøkt med ruse eller garn i PO11 i 2022. Grønne felt viser de nasjonale laksefjordene.

 

I Oksfjord økte prevalens ukene 24-28 fra 20 til 64 % (men merk svært lav N), mens intensiteten økte (Tabell 17). I Straumfjord var prevalens 76% i uke 27, intensitet 3 lus/fisk.

Stasjon Uke n Vekt (range) Prevalens [KI] Intensitet [KI] Maks n lus % >0.1 rel.int.
Oksfjord 24 5 941 (22-2060) 20 [1-62] 1 [1-1] 1 0 [0-43]
  25 11 301 (62-1538) 45 [21-72] 2 [1-3] 4 0 [0-26]
  27 3 662 (414-1012) 67 [21-98] 11 [10-10] 11 0 [0-56]
  28 11 413 (62-1230) 64 [35-85] 4 [2-5] 6 0 [0-26]
Straumfjord 27 21 82 (24-551) 76 [55-89] 3 [2-4] 7 0 [0-15]
Tabell 17. Infestasjon av lakselus på sjøørret i PO 11. Se Tabell 1 for forklaring av verdiene. Merk lav N enkelte uker.

Fordelingen av lus på sjøørreten og røyen fanget ved Oksfjord viser at de bevegelige dominerer uke 25, ellers er fordelingen av fastsittende og mobile relativt like (Figur 65).

 

Se figurtekst.
Figur 65. Antall lakselus (A), relativt antall lus (antall lus/gram kroppsvekt) (B) og antall lakselus fordelt på fastsittende og bevegelige stadier (C) fra sjøørret på stasjonene i PO11.

 

Estimert dødelighet på sjøørret/røye var liten alle ukene (Figur 66). Grunnet lavt antall er de to nærliggende stasjonene slått sammen til Nordreisa i analysene.

 

Se figurtekst.
Figur 66. Estimert luseindusert dødelighet på rusefanget sjøørret/sjørøye med 95% konfidensintervaller. Alle beregningene er basert på all fisk fanget og alle lusestadier. Antall undersøkt hver uke er angitt i figuren.

 

3.12 - PO 12 Vest Finnmark

Ruse og garn undersøkelsene i PO12 indikerer liten dødelighet i Talvik ukene 25, moderat uke 27, og Handelsbukt moderat uke 29. Stadiefordelingen av lus indikerer lavt smittepress i starten av smoltutvandringen, men økende fra gjennomsnittlig tidspunkt for utvandring. I Handelsbukt er mye av lusen bevegelige, og undersøkelsen er tatt 3 uker etter utvandringen og representerer derfor trolig ett smittepress over en lengre tidsperiode. Smittekartene sentrert rundt midten av smoltutvandringen indikere enkelte små områder med forhøyet tetthet av lakselus, mens utslippene øker jevnt utover juni, men faller noe i starten av juli. Observasjonene indikerer derfor en kategorisering av området i moderat lakselusrelatert dødelighet i 2023. Grunnet få stasjoner, og at de ikke samsvarer med øvrige data fra området, vurderes usikkerheten som stor.

Det er ikke benyttet vaktbur eller trålt etter utvandrende laksesmolt i dette området.

Ruse og garnfangst

I dette området er det i 2023 undersøkt Talvik i Altafjorden samt Handelsbukt i Porsangerfjorden med ruse og garn (Figur 67). Begge stasjonene ligger i nasjonale laksefjorder. I dette produksjonsområdet estimeres gjennomsnittlig midtpunkt for utvandring 28. juni (uke 26 i 2023).

 

Figuren viser ørretstasjonene i et kart
Figur 67. Stasjonene undersøkt med ruse eller garn i PO12 i 2022. Grønne felt viser de nasjonale laksefjordene.

 

Sjøørret og røye fanget ved Talvik i Altafjorden hadde lav (44 %) prevalens uke 25, men denne økte til 81% to uker etterpå (Tabell 18). Intensiteten var hhv. 3 og 11 lus/fisk (men merk relativt høye snittvekter på fisken). I Handelsbukt i Porsangerfjorden var prevalens 65 % uke 29, mens intensiteten var 9 lus/fisk.

Stasjon Uke n Vekt (range) Prevalens [KI] Intensitet [KI] Maks % >0.1 rel.int.
Talvik 25 16 114 (45-501) 44 [23-67] 3 [1-5] 7 0 [0-19]
  27 31 380 (29-4700) 81 [64-91] 11 [7-15] 32 35 [21-53]
Handelsbukt 29 26 320 (36-2600) 65 [46-81] 9 [5-18] 48 19 [9-38]
Tabell 18. Infestasjon av lakselus på sjøørret i PO 12. Se Tabell 1 for forklaring av verdiene.

Fordelingen av lus på fisken i Talvik indikerer relativt lavt smittepress uke 25, men et høyt antall fastsittende lus uke 27 indikerer en økning i smittepresset de 2-3 foregående ukene (Figur 68).

 

Se figurtekst.
Figur 68. Antall lakselus (A), relativt antall lus (antall lus/gram kroppsvekt) (B) og antall lakselus fordelt på fastsittende og bevegelige stadier (C) fra sjøørret på stasjonene i PO12.

 

I Talvik estimeres liten dødelighet uke 25, moderat uke 27. I Handelsbukt i Porsangerfjorden estimeres moderat dødelighet uke 29 (Figur 69).

 

Se figurtekst.
Figur 69. Estimert luseindusert dødelighet på rusefanget sjøørret/sjørøye med 95% konfidensintervaller. Alle beregningene er basert på all fisk fanget og alle lusestadier. Antall undersøkt hver uke er angitt i figuren.

 

3.13 - PO 13 Øst Finnmark

Undersøkelsen i Jarfjorden med garn indikerer moderat luserelatert dødelighet på sjøørret og sjørøye. Undersøkelsen er foretatt uke 29, 3-4 uker etter gjennomsnittlig utvandring for elvene i området. Det er ingen økning i utslipp av klekte nauplier fra anlegg i ukene 20-30, og smittekartene indikerer ikke områder med forhøyet smittepress i smoltutvandringsperioden. O vervåkningsdata og smittepress avviker derfor, og det kan skyldes enten en naturlig lokal oppblomstring av parasitten, eller være fra kilder vi ikke kjenner. Da resultatene ikke er ventet ut fra oppdrettsaktiviteten i området, undersøkelsen er foretatt sent, og dette er den eneste stasjonen undersøkt, vurderes u sikkerheten som stor.

Det er ikke benyttet vaktbur eller trålt etter utvandrende laksesmolt.

Ruse og garnfangst

I dette området er det i 2023 undersøkt stasjonen i Jarfjord med garn (Figur 70). Estimert gjennomsnittlig midtpunkt for utvandring er 27. juni (uke 26 i 2023).

 

Figuren viser ørretstasjonene i et kart
Figur 70. Stasjonen undersøkt med garn i PO13 i 2022. Grønne felt viser de nasjonale laksefjordene.

 

I 2021 ble bare Jarfjord undersøkt uke 29. All fisken hadde lus, og intensitet var 17 lus/fisk (Tabell 19).

Stasjon Uke n Vekt (range) Prevalens [KI] Intensitet [KI] % >0.1 rel.int.
Jarfjord 29 51 390 (60-820) 100 [93-100] 17 [15-20] 18 [10-30]
Tabell 19. Infestasjon av lakselus på sjøørret i PO 13. Se Tabell 1 for forklaring av verdiene.

Det er de bevegelige stadiene som dominerer, hvilket indikerer et smittepress gjennom hele utvandringsperioden (Figur 71).

 

Se figurtekst.
Figur 71. Antall lakselus (A), relativt antall lus (antall lus/gram kroppsvekt) (B) og antall lakselus fordelt på fastsittende og bevegelige stadier (C) fra sjøørret på stasjonene i PO13.

 

Det estimeres moderat dødelighet (24 [19-31] %) for sjøørret og sjørøye på stasjonen Jarfjord i 2023 (Figur 72).

 

Se figurtekst.
Figur 72. Estimert luseindusert dødelighet på rusefanget sjøørret/sjørøye med 95% konfidensintervaller. Alle beregningene er basert på all fisk fanget og alle lusestadier. Antall undersøkt hver uke er angitt i figuren.

 

4 - Referanser

Bjørn, P. A., Finstad, B., Asplin, L., Skilbrei, O., Nilsen, R., Serra-Llinares, R. M. & Boxaspen, K. K. (2011). Metodeutvikling for overvåkning og telling av lakselus på viltlevende laksefisk. Rapport fra Havforskningen, nr. 8-2011, 58 s.

Bui, S., Dempster, T., Remen, M. & Oppedal, F. (2016). Effect of ectoparasite infestation density and life‑history stages on the swimming performance of Atlantic salmon Salmo salar . Aquaculture Environment Interactions 8, 387-395.

Dawson, L. H. J., Pike, A. W., Houlihan, D. F. & McVicar, A. H. (1997). Comparison of the susceptibility of sea trout ( Salmo trutta L.) and Atlantic salmon ( Salmo salar L.) to sea lice ( Lepeophtheirus salmonis (Krøyer, 1837)) infections. ICES Journal of Marine Science 54, 1129-1139.

Efron, B. & Tibshirani, R. (1993). An introduction to the bootstrap. Chapman & Hall, London.

Grøn, H. H. (2016). Comparison of gillnet and trap in relation to retention of salmon lice ( Lepeophtheirus salmonis ), size selection of sea trout ( Salmo trutta ) and catch efficiency. - Comparing the two most used fishing gear in National Salmon lice monitoring Program. Master thesis, Universitetet i Tromsø.

Harvey, A. C., Quintela, M., Glover, K. A., Karlsen, Ø., Nilsen, R., Skaala, Ø., Sægrov, H., Kålås, S., Knutar, S. & Wennevik, V. (2019). Inferring Atlantic salmon post-smolt migration patterns using genetic assignment. Royal Society Open Science 6, 190426.

Hvas, M. & Bui, S. (2022). Energetic costs of ectoparasite infection in Atlantic salmon. Journal of Experimental Biology 225:1.

Nilsen, R., Serra-Llinares, R. M., Sandvik, A. D., Johnsen, I.A., Mohn, A.M., Karlsen, Ø., Lehmann, G. B., Birkeland, I.B., Stöger, E., Lennox, R., Uglem, I. & Berg, M. (2020). Lakselusinfestasjon på vill laksefisk langs norskekysten i 2020 - Sluttrapport til Mattilsynet. Rapport fra Havforskningen nr. 46-2020, 81 s.

Nilsen, R., Serra-Llinares, R. M., Sandvik, A. D., Mohn, A.M., Johnsen, I.A., Karlsen, Ø., Uglem, I. & Lehmann, G. B. (2021). Lakselusinfestasjon på vill laksefisk våren 2021 - Fremdriftsrapport til Mattilsynet. Rapport fra Havforskningen nr. 29-2021, 27 s.

Svåsand, T., Karlsen, Ø., Kvamme, B. O., Stien, L. H., Taranger, G. L. & Boxaspen, K. K. (2016). Risikovurdering norsk fiskeoppdrett 2016. Fisken og Havet, særnummer 2-2016, 190 s.

Taranger, G. L., Svåsand, T., Bjørn, P. A., Jansen, P. A., Heuch, P. A., Grøntvedt, R. N., Asplin, L., Skilbrei, O. T., Glover, K. A., Skaala, Ø., Wennevik, V. & Boxaspen, K. K. (2012). Forslag til førstegangs målemetode for miljøeffekt (effektindikatorer) med hensyn til genetisk påvirkning fra oppdrettslaks til villaks, og påvirkning av lakselus fra oppdrett på viltlevende laksefiskbestander Rapport fra Havforskningen nr. 13-2012 / Veterinærinstituttets rapportserie nr. 7-2012, 40 s.

Wagner, G. N., McKinley, R. S., Bjørn, P. A. & Finstad, B. (2003). Physiological impact of sea lice on swimming performance of Atlantic salmon. Journal of Fish Biology 62, 1000-1009.

5 - Vedlegg A. Effekt av toleransegrenser for lus på garn og rusefanget sjøørret < 150 g

For å vurdere hvilken effekt endrede toleransegrenser har på estimert dødelighet på garn og rusefanget sjøørret og sjørøye < 150 g har vi analysert dataene med å sette toleransegrensene til hhv. halvparten og dobbelt så høy (Tabell A1), og grafene viser derfor estimert dødelighet med følgende toleransegrenser.

Dødelighet Lav toleranse Normal toleranse Høy toleranse
0 % RI ≤ 0,05 RI ≤ 0,1 RI ≤ 0,2
20 % 0,05 < RI ≤0,1 0,1 < RI ≤ 0,2 0,2 < RI ≤ 0,3
50 % 0,1< RI ≤ 0,15 0,2 < RI ≤ 0,3 0,4 < RI ≤ 0,6
100 % RI > 0,15 RI > 0,3 RI > 0,6
Tabell A1. Toleransegrenser brukt for i sensitivitetstesten, normal referer til toleransegrensene som er benyttet. RI er relativ infestasjon, dvs. antall lus per g fiskevekt.

 

ref. figurtekst
Figur A1. Estimert luseindusert dødelighet med konfidensintervaller for sjøørret fanget på stasjonene i PO1 beregnet ved å benytte standard (sirkler), lav (trekanter) eller høy (firkanter) toleransegrenser (Tabell A1). Alle beregningene er basert på sjøørret/sjørøye < 150 g.

 

 

ref. figurtekst
Figur A2. Estimert luseindusert dødelighet med konfidensintervaller for sjøørret fanget på stasjonene i PO2 beregnet ved å benytte standard (sirkler), lav (trekanter) eller høy (firkanter) toleransegrenser (Tabell A1). Alle beregningene er basert på sjøørret/sjørøye < 150 g.

 

 

ref. figurtekst
Figur A3. Estimert luseindusert dødelighet med konfidensintervaller for sjøørret fanget på stasjonene i PO3 beregnet ved å benytte standard (sirkler), lav (trekanter) eller høy (firkanter) toleransegrenser (Tabell A1). Alle beregningene er basert på sjøørret/sjørøye < 150 g.

 

 

ref. figurtekst
Figur A4. Estimert luseindusert dødelighet med konfidensintervaller for sjøørret fanget på stasjonene i PO4 beregnet ved å benytte standard (sirkler), lav (trekanter) eller høy (firkanter) toleransegrenser (Tabell A1). Alle beregningene er basert på sjøørret/sjørøye < 150 g.

 

 

ref. figurtekst
Figur A5. Estimert luseindusert dødelighet med konfidensintervaller for sjøørret fanget på stasjonene i PO5 beregnet ved å benytte standard (sirkler), lav (trekanter) eller høy (firkanter) toleransegrenser (Tabell A1). Alle beregningene er basert på sjøørret/sjørøye < 150 g.

 

 

ref. figurtekst
Figur A6. Estimert luseindusert dødelighet med konfidensintervaller for sjøørret fanget på stasjonene i PO6 beregnet ved å benytte standard (sirkler), lav (trekanter) eller høy (firkanter) toleransegrenser (Tabell A1). Alle beregningene er basert på all sjøørret/sjørøye fanget.

 

 

ref. figurtekst
Figur A7. Estimert luseindusert dødelighet med konfidensintervaller for sjøørret fanget på stasjonene i PO7 beregnet ved å benytte standard (sirkler), lav (trekanter) eller høy (firkanter) toleransegrenser (Tabell A1). Alle beregningene er basert på sjøørret/sjørøye < 150 g.

 

 

ref. figurtekst
Figur A8. Estimert luseindusert dødelighet med konfidensintervaller for sjøørret fanget på stasjonene i PO8 beregnet ved å benytte standard (sirkler), lav (trekanter) eller høy (firkanter) toleransegrenser (Tabell A1). Alle beregningene er basert på sjøørret/sjørøye < 150 g.

 

 

ref. figurtekst
Figur A9. Estimert luseindusert dødelighet med konfidensintervaller for sjøørret/sjørøye fanget på stasjonene i PO9 beregnet ved å benytte standard (sirkler), lav (trekanter) eller høy (firkanter) toleransegrenser (Tabell A1). Alle beregningene er basert på sjøørret/sjørøye < 150 g.

 

 

ref. figurtekst
Figur A10. Estimert luseindusert dødelighet med konfidensintervaller for sjøørret/sjørøye fanget på stasjonene i PO10 beregnet ved å benytte standard (sirkler), lav (trekanter) eller høy (firkanter) toleransegrenser (Tabell A1). Alle beregningene er basert på sjøørret/sjørøye < 150 g.

 

 

ref. figurtekst
Figur A11. Estimert luseindusert dødelighet med konfidensintervaller for sjøørret/sjørøye fanget på stasjonene i PO11 beregnet ved å benytte standard (sirkler), lav (trekanter) eller høy (firkanter) toleransegrenser (Tabell A1). Alle beregningene er basert på sjøørret/sjørøye < 150 g.

 

 

ref. figurtekst
Figur A12. Estimert luseindusert dødelighet med konfidensintervaller for sjøørret/sjørøye fanget på stasjonene i PO12 beregnet ved å benytte standard (sirkler), lav (trekanter) eller høy (firkanter) toleransegrenser (Tabell A1). Alle beregningene er basert på sjøørret/sjørøye < 150 g.

 

 

ref. figurtekst
Figur A13. Estimert luseindusert dødelighet med konfidensintervaller for sjøørret/sjørøye fanget på stasjonene i PO13 beregnet ved å benytte standard (sirkler), lav (trekanter) eller høy (firkanter) toleransegrenser (Tabell A1). Alle beregningene er basert på sjøørret/sjørøye < 150 g.

 

6 - Vedlegg B. Effekt av toleransegrenser for lus på trålfanget laks

For å vurdere hvilken effekt endrede toleransegrenser har på estimert dødelighet på trålfanget utvandrende postsmolt av laks har vi reanalysert dataene med å sette toleransegrensene til hhv. halvparten og dobbelt så høy (Tabell B1), og grafene viser derfor estimert dødelighet med følgende toleransegrenser:

Dødelighet Lav toleranse Normal toleranse Høy toleranse
0 % RI ≤ 0,05 RI ≤ 0,1 RI ≤ 0,2
20 % 0,05 < RI ≤0,1 0,1 < RI ≤ 0,2 0,2 < RI ≤ 0,3
50 % 0,1< RI ≤ 0,15 0,2 < RI ≤ 0,3 0,4 < RI ≤ 0,6
100 % RI > 0,15 RI > 0,3 RI > 0,6
Tabell B1. Toleransegrenser brukt for i sensitivitetstesten, normal referer til toleransegrensene som er benyttet. RI er relativ infestasjon, dvs. antall lus per g fiskevekt.

 

Ref. figurtekst.
Figur B1: Estimert luseindusert dødelighet med konfidensintervaller for trålfanget laks i Boknafjorden 2017-2023 beregnet ved å benytte standard (sirkler), lav (oppoverpekende trekant) eller høy (firkanter) toleransegrense slik de er definert i tabell B1.

 

 

Ref. figurtekst.
Figur B2: Estimert luseindusert dødelighet med konfidensintervaller for trålfanget laks i Hardangerfjorden 2015-2023 beregnet ved å benytte standard (sirkler), lav (trekanter) eller høy (firkanter) toleransegrense slik de er definert i tabell B1.

 

 

Ref. figurtekst.
Figur B3: Estimert luseindusert dødelighet med konfidensintervaller for trålfanget laks i Sognefjorden 2017-2023 beregnet ved å benytte standard (sirkler), lav (trekanter) eller høy (firkanter) toleransegrense slik de er definert i tabell B1.

 

 

Ref. figurtekst.
Figur B4: Estimert luseindusert dødelighet med konfidensintervaller for trålfanget laks i Nordfjord 2019 og 2023 beregnet ved å benytte standard (sirkler), lav (trekanter) eller høy (firkanter) toleransegrense slik de er definert i tabell B1.

 

 

Ref. figurtekst.
Figur B5: Estimert luseindusert dødelighet med konfidensintervaller for trålfanget laks i Romsdalsfjorden 2017-2023 beregnet ved å benytte standard (sirkler), lav (trekanter) eller høy (firkanter) toleransegrense slik de er definert i tabell B1.

 

 

Ref. figurtekst.
Figur B6: Estimert luseindusert dødelighet med konfidensintervaller for trålfanget laks i Vågsfjorden 2023 beregnet ved å benytte standard (sirkler), lav (trekanter) eller høy (firkanter) toleransegrense slik de er definert i tabell B1.

 

7 - Vedlegg C. Effekt av størrelse sjøørret

I dette vedlegget har vi sammenlignet estimert dødelighet for all sjøørret fanget med dødelighet beregnet for fisk < 150 g for hvert år, stasjon og uke.

 

Ref. figurtekst.
Figur C1: Estimert luseindusert dødelighet med konfidensintervaller for sjøørret/sjørøye fanget på stasjonene i PO1 beregnet enten ved å bare inkludere fisk < 150 g, eller all sjøørret/sjørøye fanget.

 

 

Ref. figurtekst.
Figur C2: Estimert luseindusert dødelighet med konfidensintervaller for sjøørret/sjørøye fanget på stasjonene i PO2 beregnet enten ved å bare inkludere fisk < 150 g, eller all sjøørret/sjørøye fanget.

 

 

Ref. figurtekst.
Figur C3: Estimert luseindusert dødelighet med konfidensintervaller for sjøørret/sjørøye fanget på stasjonene i PO3 beregnet enten ved å bare inkludere fisk < 150 g, eller all sjøørret/sjørøye fanget.

 

 

Ref. figurtekst.
Figur C4: Estimert luseindusert dødelighet med konfidensintervaller for sjøørret/sjørøye fanget på stasjonene i PO4 beregnet enten ved å bare inkludere fisk < 150 g, eller all sjøørret/sjørøye fanget.

 

 

Ref. figurtekst.
Figur C5: Estimert luseindusert dødelighet med konfidensintervaller for sjøørret/sjørøye fanget på stasjonene i PO5 beregnet enten ved å bare inkludere fisk < 150 g, eller all sjøørret/sjørøye fanget.

 

 

Ref. figurtekst.
Figur C6: Estimert luseindusert dødelighet med konfidensintervaller for sjøørret/sjørøye fanget på stasjonene i PO6 beregnet enten ved å bare inkludere fisk < 150 g, eller all sjøørret/sjørøye fanget.

 

 

Ref. figurtekst.
Figur C7: Estimert luseindusert dødelighet med konfidensintervaller for sjøørret/sjørøye fanget på stasjonene i PO7 beregnet enten ved å bare inkludere fisk < 150 g, eller all sjøørret/sjørøye fanget.

 

 

Ref. figurtekst.
Figur C8: Estimert luseindusert dødelighet med konfidensintervaller for sjøørret/sjørøye fanget på stasjonene i PO8 beregnet enten ved å bare inkludere fisk < 150 g, eller all sjøørret/sjørøye fanget.

 

 

Ref. figurtekst.
Figur C9: Estimert luseindusert dødelighet med konfidensintervaller for sjøørret/sjørøye fanget på stasjonene i PO9 beregnet enten ved å bare inkludere fisk < 150 g, eller all sjøørret/sjørøye fanget.

 

 

Ref. figurtekst.
Figur C10: Estimert luseindusert dødelighet med konfidensintervaller for sjøørret/sjørøye fanget på stasjonene i PO10 beregnet enten ved å bare inkludere fisk < 150 g, eller all sjøørret/sjørøye fanget.

 

 

Ref. figurtekst.
Figur C11: Estimert luseindusert dødelighet med konfidensintervaller for sjøørret/sjørøye fanget på stasjonene i PO11 beregnet enten ved å bare inkludere fisk < 150 g, eller all sjøørret/sjørøye fanget.

 

 

Ref. figurtekst.
Figur C12: Estimert luseindusert dødelighet med konfidensintervaller for sjøørret/sjørøye fanget på stasjonene i PO12 beregnet enten ved å bare inkludere fisk < 150 g, eller all sjøørret/sjørøye fanget.

 

 

Ref. figurtekst.
Figur C13: Estimert luseindusert dødelighet med konfidensintervaller for sjøørret/sjørøye fanget på stasjonene i PO13 beregnet enten ved å bare inkludere fisk < 150 g, eller all sjøørret/sjørøye fanget.