Gå til hovedinnhold

Norsk vårgytende sild overvintringstokt 2025 med F/F Johan Hjort og USV Frida

Forfatter(e): Are Salthaug , Erling Kåre Stenevik og Espen Johnsen (HI)
Toktleder(e): Erling Kåre Stenevik (HI)

Sammendrag

Store mengder norsk vårgytende (nvg) sild har siden 2017-2018 overvintret i Kvænangenområdet. De siste tre vintrene har silda også overvintret i Altafjordområdet. I perioden 15. - 22. desember 2025 ble det gjennomført et akustisk tråltokt i de antatte overvintringsområdene i fjordsystemene rundt Altafjorden, Sørøysundet og Kvænangen, samt litt ute i Lopphavet med FF Johan Hjort og den ubemannede fjernstyrte farkosten USV Frida. Store stimer med høye tettheter av sild ble observert øst og sør for øya Sildra i Kvænangen, i Altafjorden og i Sørøysundet. Total biomasse av sild i toktområdet ble estimert til å være rundt 780 tusen tonn (konfidensintervall: 576 - 980 tusen tonn). Dette er 38% av fjorårets biomasseestimat på tilsvarende tokt. Årsklassene som dominerte i antall i overvintringsområdet var 2016, 2021 og 2022, mens biomassen var dominert av 2016- og 2021-årklassen. Den estimerte biomassen var høyest i Altafjorden (cirka 340 tusen tonn) noe lavere i Kvænangenområdet (cirka 290 tusen tonn) og lavest i Sørøysundet (cirka 150 tusen tonn). Den relative aldersfordeling fra nvg-overvintringstoktet i 2025 korresponderer bra med det som ble observert i det internasjonale norskehavstoktet (IESNS) i mai 2025. Det ble også utført et sammenligningsforsøk mellom Johan Hjort og USV Frida i et område i Kvænangen med mye sild. Resultatene gir ikke noen grunn til å tro at de to plattformene måler ulikt på identiske sildetettheter.

1 - Introduksjon

Norsk vårgytende sild har stor dynamikk i overvintringsområder. I perioder overvintrer silda i de samme områdene for deretter å finne nye overvintringsområder. Dette skjer ofte når det kommer nye sterke årsklasser inn i bestanden (Huse et al., 2010). Havforskningsinstituttet gjennomførte årlige tokt i overvintringsområdene fram til 2007. Data fra disse toktene ble brukt i de årlige bestandsvurderingene. Over mange år var silda fordelt i et begrenset fjordområde som for eksempel inne i Vestfjord-systemet, noe som medførte at man kunne ha en god toktdekning av bestanden i overvintringsperioden med relativt få toktdager. På grunn av endringer i overvintringsområdene, der større deler av bestanden overvintret ute i havet, klarte HI ikke lengre å dekke hele bestanden under disse toktene. Grunnet dårlig dekning og usikre toktresultat ble toktserien derfor avsluttet i 2007. Etter dette har gytetoktet i februar og Norskehavetoktet i mai vært de viktigste toktdatakildene i bestandsvurderingen av nvg-sild, og de historiske overvintringstoktene er helt utelatt fra bestandsvurdering.

Høsten 2017 viste fiskeriet at silda hadde begynt å overvintre i Kvænangen. HI gjennomførte da på nytt et begrenset overvintringstokt i dette området i desember, der mengden nvg-sild ble målt akustisk Toktet viste at betydelige mengder sild overvintret i Kvænangen. Etter 2017 har overvintringen fortsatt i fjordsystemene i Troms, inkludert Kvænangen, Lyngen, Fugløyfjorden/Fugløysundet, Sørøysundet, Altafjordområdet (Figur 1). I desember 2024 ble det for første gang siden høsten 2017 gjennomført et akustisk tråltokt (Salthaug et al. 2025), finansiert av Norges Sildesalgslag, som ga et totalestimat på rundt 2 millioner tonn som var fordelt i Kvænangen, Sørøysundet og Altafjorden.

Tilsvarende som i 2024 besluttet Norges Sildesalgslag å finansiere et overvintringstokt i regi av HI med formål å måle mengde, fordeling og bestandsstruktur i overvintringsområdene i fjorder i Nord-Troms og Vest-Finnmark. I tillegg til å gjennomføre et akustisk tråltokt med FF Johan Hjort, ble det besluttet å inkludere akustiske observasjoner fra den ubemannede overflatefarkosten Frida (heretter USV Frida). En sentral del av toktet i 2025 var gjennomføringen av et sammenligningseksperiment mellom FF Johan Hjort og USV Frida, med mål om å kvantifisere eventuelle avvik i estimert sildemengde under sammenlignbare tetthetsforhold.

Spesifikke målsetninger med toktet:

  • Gjennomføre en akustisk mengdeberegning av nvg-sild i overvintringsområdene i fjorder i Nord-Troms og Vest-Finnmark

  • Studere romlig variasjon i mengde og aldersstruktur

  • Sammenligne utbredelse og aldersstruktur med overvintringstoktet i 2024

  • Sammenligne resultatene med estimat fra gytetoktet og maitoktet i 2025

  • Sammenligne resultater mellom forskningsfartøy og USV

2 - Metoder

2.1 - Toktområde og strata

Toktområdet skulle i best mulig grad dekke overvintringsområdet til nvg-sild, ved hjelp av tilgjengelig informasjon fra det kommersielle fiskeriet (Figur 1). Basert på dette og tilgjengelig tokttid ble det totale toktområdet definert (Figur 2). Figur 1 viser at fiskeriet i forkant av toktet i 2025 var relativt likt fiskeriet i perioden 2017-2024 som er perioden da nvg-silda har overvintret i det nåværende overvintringsområdet, spesielt i Kvænangen.

Det totale toktområdet ble inndelt i underområder, såkalte strata som vist i Figur 2. Grensene for hvert stratum ble manuelt definert i softwaren OpenCPN, og lagret som standard gpx-kartfiler. Sikksakk transektmønster (Strindberg og Buckland 2004) ble produsert for hvert stratum med surveyplanleggingsfunksjonene i Stox. Det ble bestemt å kjøre sikksakk transektmønster da dette innebærer en tidseffektivt toktdekning (Harbitz 2019), spesielt når strataene er små og smale som i dette tilfellet. Antall transekter i hvert stratum ble definert slik at dekningsgraden (total distanse av de akustiske transektene dividert med kvadratroten av stratumarealet) ble åtte eller høyere for å få sikre en akseptabel presisjon i toktestimatene (Aglen 1989).

2.2 - Datainnsamling og prøvetaking

Ekkolodd-data ble samlet inn i CW (smalbånd) med 18, 38, 120, 200 og 333 kHz Simrad EK80 ekkolodd med en samplingrate på 1 Hz fra FF Johan Hjort. USV Frida samlet i tillegg data fra 70 kHz med en samplingsrate på 0,83 Hz. Pulsperioden var 1.024 ms for alle ekkolodd-data. USV Frida ble fjernstyrt fra HI sin operasjonssentral i Bergen som har en døgnkontinuerlig drift med to personer hvorav en er formelt utdannet navigatør. Ekkolodd-data ble kontinuerlig overført til en skyløsning via Starlink både fra Johan Hjort og USV Frida, og etterprosessering av disse ble utført med programvaren LSSS (versjon 3.1.0) (Korneliussen et al. 2016) som også skjedde på sky. Dataene fra USV Frida ble komprimert før analyse i LSSS, men dette har ikke noen effekt på sluttresultatene. Overføring av data til sky er i en testfase, og personell fra HI og Kongsberg Discovery deltok med feilsøking og korreksjon under toktet.

Tolking av ekkogrammene ble foretatt flere ganger daglig om bord på Johan Hjort under toktet av de to forskerne ombord i samarbeid med instrumentsjef. Det ble brukt to akustisk kategorier: «sild» og «andre». Kategori «andre» betyr for dette toktet ekko som ikke er definert til å være fra sild. Tolkingen ble vurdert til å være god da det meste av silda sto i tydelige stimstrukturer og lag. Akustiske tetthetsverdier (NASC) for hver kategori ble lagret med standard 10 m vertikal oppløsning og 0,1 nautisk mil horisontal oppløsning.

Biologisk prøvetaking ble foretatt med pelagisk trål (Harstadtrål) med finmasket (20 mm maskevidde) innernett i trålsekken, for å kunne verifisere den akustiske tolkingen og omsette og fordele de akustiske tetthetsverdiene på størrelse, alder og andre biologiske karakteristikker. Tråling skjedde når vakthavende forsker ønsket å ta prøver av de akustiske registeringene.

I tillegg til mengden av hver art i fangsten ble følgende variabler registrert på hver trålstasjon der det var fangst av sild: vekt i gram og totallengde i cm (rundet ned til nærmeste 0.5 cm) av hvert individ opp til 100 individer. Av disse ble det tatt mer grundige individprøver av 30 individer; skjell til aldersavlesning, kjønn, modningsstadium, magefyllingsgrad og gonadevekt. Utvelgelsen av individer var tilfeldig.

2.3 - Mengdeberegning

Mengdeestimatene av sild ble beregnet med programvaren Stox (versjon 4.2.0) (Johnsen et al. 2019) der gjennomsnittet og presisjonen til estimatene ble basert på 1000 bootstrap-replikater. Mer detaljert informasjon og ligninger for estimeringsprosessen står beskrevet i Salthaug (2021). Følgende akustiske målstyrke (TS) som funksjon av fiskelengde ble brukt (Foote 1987): TS = 20logL – 71.9.

2.4 - Sammenligningseksperiment mellom Johan Hjort og USV Frida

Et viktig mål for nvg-overvintringstoktet i 2025 var å utføre et eksperiment for å undersøke hvorvidt USV og forskningsfartøy måler lik mengde sild akustisk når de reelle tetthetene er like. Tidligere pilotstudier har funnet indikasjoner på at USV måler mer akustisk tetthet av sild enn fra et forskningsfartøy (Handegard et al. 2024). Hypotesen er at et stort forskningsfartøy har en høyere skremmeeffekt på silda siden støyen er sterkere sammenlignet med en liten USV, og at denne effekten vil føre til at USV vil måle mer selv om den reelle tettheten av sild under fartøyene er identisk. Når silda reagerer på fartøystøy kan det tenkes at den både viker ut til sidene bort fra ekkoloddstrålen samt at tilt-vinkelen blir høyere fordi silda dykker slik at den akustiske målstyrken blir lavere.

For å undersøke dette forskningsspørsmålet, altså om de to plattformene måler likt når tettheten av sild er lik, ble det satt opp et eksperiment der Johan Hjort og USV Frida begge skulle dekke det samme området fire ganger i løpet av et døgn. Flere dekninger vil både gi informasjon om variasjon og eventuelle effekter av tid på døgnet. Området som ble valgt var stratum 7 som ligger rett øst for øya Spildra (se Figur 2). Fiskeriet i november indikerte at sildemengden i dette området var høy. Planen var at USV Frida skulle dekke området først for å sjekke at sildemengden var høy nok, siden hun ankom Kvænangen noen timer før Johan Hjort. Videre var planen at Johan Hjort og USV Frida skulle starte i hver sin ende av stratumet og bruke cirka like lang tid på hver dekning. Siden den forventede farten til Johan Hjort var høyere enn USV Frida, henholdsvis 7.5 og 5 knop, ble det planlagt høyere dekningsgrad for Johan Hjort. En dekningsgrad på 11 for Johan Hjort og 8 for USV Frida ble planlagt siden dette ga forventet lik tid på en stratumdekning for de plattformene.

Den statistiske størrelsen som ble sammenlignet i hver dekning dekningene var gjennomsnittlig NASC per plattform, der hver NASC-observasjon er fra de primære samplingsenhetene (PSU) definert i Stox (dvs. ett transekt). Gjennomsnittlig NASC er et vektet gjennomsnitt der vektene er transektlengde. For å undersøke hvorvidt forskjellene i gjennomsnittlig NASC per dekning er statistisk signifikante ble Welchs t-test brukt (Two Sample Weighted T-Test).

3 - Resultater og diskusjon

3.1 - Toktets dekning

Figur 3 viser de akustiske transektene og trålstasjonene som ble gjennomført på toktet. Kvænangen ble dekket av både Johan Hjort og USV Frida, mens Sørøysundet og Altafjorden kun ble dekket av Johan Hjort. For stratum 7 i Kvænangen der sammenligningsforsøket mellom de to plattformene ble utført, ble Johan Hjort sin første dekning brukt i den ordinære mengdeberegningen. Det ble tatt 9 trålstasjoner på toktet, alle med tilstrekkelig fangst av sild for biologiske prøver av god kvalitet.

3.2 - Estimater av sildemengde og geografisk fordeling i overvintringsområdet

Det ble registrert høye tettheter av sild enkelte steder og Figur 4 viser eksempel på et ekkogram med noen store og tette sildestimer. Høye sildetettheter ble observert i den østlige delen av Kvænangen (øst og sør for øya Spildra), i Sørøysundet og i Altafjorden (Figur 5). Det ble ikke registrert noe sild i Lopphavet og ytre deler av Kvænangen.

Estimatene av antall sild per alder og totalt er vist i Tabell 1 og Figur 6. Aldersgruppene 3 (2022-årsklassen), 4 (2021-årsklassen) og 9 (2016-årsklassen) dominerte i antall i overvintringsområdet og utgjorde over 80% av totalantallet. Presisjonen til estimatene av 4-åringer og 9-åringer, som de mest tallrike aldersgruppene var høy med relative standardfeil på henholdsvis 21 og 25 %. Totalantallet av sild i toktområdet ble estimert til å være 3,3 milliarder med et 90% konfidensintervall fra 2,5 til 4,3 milliarder individer. Dette er litt i overkant av en tredel av fjorårets estimat.

Estimert biomasse av sild per alder og totalt er vist i Tabell 2. Total biomasse i toktområdet ble estimert til å være rundt 779 tusen tonn med et 90% konfidensintervall fra 576 til 980 tusen tonn. Dette er 38% av fjorårets biomasseestimat. Dette er et relativt presist estimat med en relative standardfeil på kun 16 %. Biomassen ble dominert av fire og ni år gammel sild. Niåringer (2016-årsklassen) utgjorde i overkant av en tredel av biomassen mens fireåringer (2021-årsklassen utgjorde i underkant av en tredel.

Tabell 3 viser estimatene av vekt og lengde per alder. Gjennomsnittsvektene av 2016-, 2021 og 2022- årsklassene er noe lavere enn det som tidligere har vært observert i prøver fra fiskeriet på denne tiden av året av tilsvarende aldere, noe som er forventet når årsklasser er tallrike på grunn av tetthetsavhengig vekst.

Figur 7 viser estimert biomasse per stratum; det meste av biomassen (over 80%) ble observert i stratum 7, 8 og 10 i Kvænangen samt Stratum 28 i Sørøysundet og Stratum 35 i Altafjorden. Estimert biomasse, samt gjennomsnittlig vekt og lengde per alder for tre større underområder (grupper av strata) er vist i Tabell 4, og Figur 8 viser aldersfordelingen i de tre underområdene. Biomassen var høyest i Altafjorden (cirka 340 tusen tonn) noe lavere i Kvænangenområdet (cirka 290 tusen tonn) og lavest i Sørøysundet (cirka 150 tusen tonn). Sildeindividene i Sørøysundet var større (se Tabell 4) og eldre (se Figur 8) sammenlignet med silda i Kvænangen og Altafjorden. Gjennomsnittlig alder og størrelse var lavest i Altafjorden.

3.3 - Sammenligning med andre nvg-tokt

Figur 9 viser estimert antall per alder i nvg-overvintringstoktet i 2025 sammenligning med estimat per årsklasse fra henholdsvis nvg-overvintringstoktet i 2024 (Salthaug et al. 2025a), nvg-gytetoktet i februar 2025 (Salthaug og Stenevik 2025) og det internasjonale Norskehavstoktet (IESNS) i mai 2025 (Salthaug et al. 2025b). I nvg-overvintringstoktet i desember 2024 og i nvg-gytetoktet i februar 2025 dominerte 2021- og 2016-årsklassene, mens 2022-årsklassen også gjorde seg gjeldende i IESNS i mai 2025. Dette korresponderer med nvg-overvintringstoktet i 2025 der disse tre årsklassene dominerte i antall. Imidlertid så er estimert antall, både totalt og per årsklasse, betydelig lavere i nvg-overvintringstoktet 2025 enn i de andre tre toktene. Dette kan tyde på at mye av nvg-silda overvintret et annet sted denne vinteren, sannsynligvis ute i havet. Det har vært et betydelig internasjonalt sildefiske øst og sentralt i Norskehavet i november, desember og begynnelsen av januar. Dette viser at det er nvg-sild som overvintrer her, men hvilke årsklasser som dominerer i dette området blir ikke kjent før fangstlotteriprøvene fra fiskeriet er opparbeidet og aldersbestemt.

3.4 - Sammenligningseksepriment mellom Johan Hjort og USV Frida

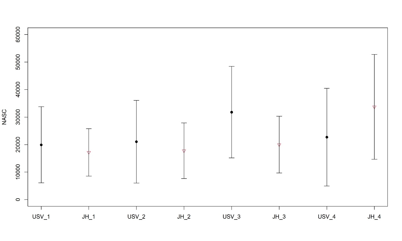
Sammenligningseksperimentet ble gjennomført 17.–18. desember, etter at de akustiske observasjonene fra USV Fridas første dekning (som ikke inngikk i selve eksperimentet) indikerte høy sildetetthet i Stratum 7. Dette området ble derfor vurdert som egnet for gjennomføring av eksperimentet. Tabell 5 viser start- og stopptid per plattform for hver dekning, gjennomsnittlig NASC, relativ standardfeil og p-verdi for Welchs t-test. Det var ikke statistisk signifikant forskjell mellom de to plattformene i noen av de fire dekningene (p >> 0.05). Figur 10 viser gjennomsnittlig NASC med 90% konfidensintervall per dekning for hver plattform, og her ser man at det heller ikke var noen statistiske signifikante forskjeller i gjennomsnittlig NASC mellom dekningene. Konfidensintervallene (Figur 10) og relativ standardfeil (Tabell 5) til USV Frida er høyere enn de fra Johan Hjort, noe som korresponderer med at USV Frida hadde lavere dekningsgrad. Sildas vertikale fordeling på dagtid i dekning 4 skiller seg vesentlig fra de andre dekningene når det er mørkt (Figur 11). Når det er mørkt i dekning 1-3 er den målte silda fordelt mer jevnt i vannsøylen sammenlignet med når det er mer dagslys i dekning 4 da det meste av den målte silda befinner seg på rundt 150 meters dybde (Figur 11). Figur 12 viser NASC-verdier per 0,1 nautiske mil for hver av de åtte dekningene, og her ser man indikasjoner på at den målte silda i dekning 4 var mer konsentrert sammenlignet med dekning 1-3 (siden det er færre observasjoner med NASC over 10 000 men ikke noe signifikant forskjell i gjennomsnittlig NASC). Dette skyldes at silda står i færre og tettere stimer når det er lyst noe som er en kjent antipredator-atferd (Skaret et al., 2003). Observasjoner fra toktet bekreftet at potensielle predatorer som hval og stor sei var til stede i toktområdet.

Resultatene fra sammenligningsforsøket var overraskende da det var forventet at NASC-verdiene skulle være vesentlig høyere målt fra en liten USV enn målt fra et stort forskningsfartøy. Tidligere studier i overvintringsområdene til NVG-sild har vist at silda, spesielt når den står høyt på natten, dykker kraftig når et stort forskningsskip nærmer seg og fører til langt lavere NASC (Vabø et al. 2002 ; Ona et al. 2007 ). Denne adferden har vært påvist i overvintringsområdene i både Vestfjordområdet (Vabø et al. 2002 ; Ona et al. 2007) og i Kvænangen (Pedersen et al. 2024). Videre er det vist at adferden hos silda ikke påvirkes av stillegående USV-kajakkdroner (Totland og Johnsen 2022; Pedersen et al. 2024). I et tidligere eksperiment i 2023 i Kvænangen med USV Frigg (identisk type USV som USV Frida) målte USV Frigg 3 til 4 ganger mer NASC enn FF G.O. Sars (Handegard et al. 2004 ). Det bør også nevnes at til tross for at Figur 11 viser at USV Frida måler mer sild på grunt vann (cirka 30-90 meters dyp), så er altså ikke gjennomsnittlig NASC signifikant forskjellig fra Johan Hjort. Mer analyser med tilhørende publisering av årets eksperiment er under planlegging for å undersøke årsaker til hvorfor resultatene på disse sammenlignbare forsøkene variere så mye. 

4 - Referanser

Aglen, A. 1989. Empirical results on precision effort relationships for acoustic surveys. Int. Coun. Explor. Sea CM 1989 B:30, 28pp.

Foote, K. 1987. Fish target strengths for use in echo integrator surveys. J. Acoust. Soc. Am. 82: 981-987.

Handegard et al. 2024. Survey report for CRIMAC SFI 2023. Survey report / Institute of Marine Research/ISSN 1503-6294/2024-7.

Harbitz, A. 2019.A zigzag survey design for continuous transect sampling with guaranteed equal coverage probability. Fisheries Research 213, 151-159.

Huse G., Fernö A., and Holst J.C. 2010. Establishment of new wintering areas in herring co-occurs with peaks in the ‘first time/repeat spawner’ ratio. Marine Ecology Progress Serues 409: 189–198.

Johnsen, E., Totland, A., Skålevik, Å., Holmin, A.J., Dingsør, G.E., Fuglebakk, E., Handegard, N.O. 2019. StoX: An open source software for marine survey analyses. Methods in Ecology and Evolution 10:1523–1528.

Korneliussen, R. J., Heggelund, Y., Macaulay, G. J., Patel, D., Johnsen, E., and Eliassen, I. K. 2016. Acoustic identification of marine species using a feature library. Methods in Oceanography, 17: 187–205.

Ona, E., Godø. O.R., Handegard, N.O. et al. 2007. Silent research vessels are not quiet. Journal of the Acoustical Society of America 121:EL145–50.

Simmonds, J, and David N. MacLennan. 2005. Fisheries acoustics: theory and practice. John Wiley & Sons, 2008.

Salthaug, A., Stenevik, E.K., Vatnehol, S., Anthonypillai, V., and Slotte, A. 2021. Distribution and abundance of Norwegian spring spawning herring during the spawning season in 2021. Survey report / Institute of Marine Research/ISSN 15036294/Nr. 1– 2021.

Salthaug et al 2025a. Norsk vårgytende sild overvintringstokt 2024 med F/F Johan Hjort. Survey report / Institute of Marine Research/ISSN 1503-6294/2025-3.

Salthaug, A. et al 2025b. International Ecosystem Survey in Nordic Seas (IESNS) in April-May 2025. Working Document to WGWIDE 2025 and WGIPS 2026.

Salthaug, A. and Stenevik, E.K. 2025. Distribution and abundance of Norwegian spring spawning herring during the spawning season in 2025. Survey report / Institute of Marine Research/ISSN 1893-4536/2025-18.

Skaret, G., Nøttestad, L., Fernö, A., Johannessen, A. and Axelsen, B.E. 2003. Spawning of herring: day or night, today or tomorrow? Aquatic Living Resources, 16(3): 299-306.

Strindberg, S. and Buckland, S.T. 2004. Zigzag survey designs in line transect sampling. Journal of Agricultural, Biological, and Environmental Statistics, 9: 443-461.

Totland, A., Johnsen, E. 2022. Kayak Drone – a silent acoustic unmanned surface vehicle for marine research. Frontiers in Marine Science 2022;9.

Vabø R., Olsen K., Huse I. 2002. The effect of vessel avoidance of wintering Norwegian spring spawning herring. Fish. Res. 58:59–77.

5 - Tabeller

Alder 5-persentilen Median 95-persentilen Gjennomsnitt SD CV
1 2 14 37 15 11 0.71
2 13 25 46 27 10 0.39
3 286 608 1151 641 259 0.40
4 830 1188 1623 1201 251 0.21
5 71 105 144 106 22 0.21
6 5 12 23 13 5 0.43
7 20 83 163 83 45 0.54
8 54 132 218 132 50 0.38
9 540 883 1278 896 223 0.25
11 18 38 62 39 14 0.36
12 54 84 117 85 19 0.22
13 7 29 54 29 14 0.50
Ukjent 11 60 146 64 42 0.65
Totalt antall 2479 3324 4267 3329 537 0.16
Tabell 1. Estimert antall sild (millioner individer) i nvg-overvintringstoktet 2025 basert på 1000 bootstrap-replikater i Stox.
Alder 5-persentilen Median 95-persentilen Gjennomsnitt SD CV
1 0 1 2 1 0 0.71
2 1 2 3 2 1 0.34
3 43 88 163 92 36 0.39
4 164 234 319 237 48 0.20
5 18 27 36 27 6 0.21
6 1 3 7 4 2 0.44
7 6 26 50 25 14 0.54
8 17 41 67 41 15 0.38
9 176 287 415 292 73 0.25
11 7 14 23 14 5 0.36
12 19 30 41 30 7 0.22
13 3 11 20 11 5 0.50
Ukjent 1 4 8 4 2 0.59
Total biomasse 576 773 980 779 123 0.16
Tabell 2. Estimert biomasse av sild (tusen tonn) per alder i nvg-overvintringstoktet 2025 basert på 1000 bootstrap-replikater i Stox.
Alder Snittvekt (g) CV(vekt) Snittlengde (cm) CV(lengde)
2 65.1 0.014 21.5 0.005
3 146.8 0.005 26.7 0.002
4 191.3 0.007 28.8 0.002
5 260.3 0.009 31.5 0.003
6 286.2 0.006 32.2 0.002
7 307.1 0.006 32.8 0.001
8 311.3 0.005 33.5 0.002
9 323.6 0.002 33.8 0.001
11 370.6 0.006 35.5 0.002
12 352.2 0.003 35.3 0.001
13 383.5 0.014 36.4 0.003
Tabell 3. Estimert vekt og lengde av sild i nvg-overvintringstoktet 2025, basert på 1000 bootstrap-replikater i Stox.
Område (Strata) Biomasse (tusen tonn) Gjennomsnittsvekt (g) Gjennomsnittslengde (cm)
Altafjorden (33,35-38) 336.7 222.6 29.7
Kvænangen (1-11,13-17) 286.9 236.5 30.7
Sørøysundet (27-29,32) 155 279 32.1
       
Tabell 4. Estimert biomasse (gjemmsnitt av 1000 boostrapreplikater), vekt og lengde av sild i tre deler av dekningsområdet til nvg-overvintringstoktet 2025. Stratanummer er vist i Figur 2.
Sammenligning Plattform Start-stopp (DDMMHHMM) Gjennomsnittlig NASC Relativ standardfeil (%) p-verdi fra Welchs t-test
1 Johan Hjort 17121538-17122011 17189.57 30 0.81
1 USV Frida 17121536-17122105 19921.23 42
2 Johan Hjort 17122115-18120231 17786.42 35 0.78
2 USV Frida 17122111-18120229 21041.01 43
3 Johan Hjort 18120245-18120725 20008.87 31 0.28
3 USV Frida 18120246-18120808 31787.45 32
4 Johan Hjort 18120810-18121315 33723.77 34 0.46
4 USV Frida 18120814-18121401 22713.16 48
Tabell 5. Sammenligningseksperiment mellom platttformene Johan Hjort og USV Frida i stratum 7. For hver dekning: start- og stopptid (UTC) per plattform, gjennomsnittlig NASC og konfidensinterall/CV per plattform og p-verdi for Welchs t-test.

6 - Figurer

 

Kommersielle fangster av sild i overvintringsområdet mellom 15. november og 15. desember, basert på Fiskeridirektoratets elektroniske fangstdagbøker. Hvert punkt representerer en fangst på minst 10 tonn.
Figur 1. Kommersielle fangster av sild i overvintringsområdet mellom 15. november og 15. desember, basert på Fiskeridirektoratets elektroniske fangstdagbøker. Hvert punkt representerer en fangst på minst 10 tonn.

 

 

Strata (nummererte) som ble dekket under nvg-overvintringstoktet 2025.
Figur 2. Strata (nummererte) som ble dekket under nvg-overvintringstoktet 2025.

 

 

Akustiske transekt og trålstasjoner som ble gjennomført på nvg- overvintringstoktet 2025.
Figur 3. Akustiske transekt og trålstasjoner som ble gjennomført på nvg- overvintringstoktet 2025.

 

 

Ekkogram sterke sildestimer registrert på USV Frida cirka 4 nautiske mil sørvest av Altaeidet i Kvænangen den 18. desember under nvg-overvintringstoktet 2025.
Figur 4. Ekkogram sterke sildestimer registrert på USV Frida cirka 4 nautiske mil sørvest av Altaeidet i Kvænangen den 18. desember under nvg-overvintringstoktet 2025.

 

 

Akustiske tettheter (NASC per 0,1 nautisk mil) av sild registrert på nvg- overvintringstoktet 2025.
Figur 5. Akustiske tettheter (NASC per 0,1 nautisk mil) av sild registrert på nvg- overvintringstoktet 2025.

 

 

Estimert antall sild på nvg- overvintringstoktet 2025 (venstre y-akse) og relativ standardfeil (høyre y-akse). Svarte kuler er gjennomsnitt av 1000 boostrap-replikater i Stox, usikkerhetsstolper representerer 90% konfidensintervall og svarte trekanter er relativ standardfeil (RSE).
Figur 6. Estimert antall sild på nvg- overvintringstoktet 2025 (venstre y-akse) og relativ standardfeil (høyre y-akse). Svarte kuler er gjennomsnitt av 1000 boostrap-replikater i Stox, usikkerhetsstolper representerer 90% konfidensintervall og svarte trekanter er relativ standardfeil (RSE).

 

 

Estimert biomasse av sild per stratum fra på nvg- overvintringstoktet 2025.
Figur 7. Estimert biomasse av sild per stratum fra på nvg- overvintringstoktet 2025.

 

 

Akustiske tettheter (NASC per 0,1 nautisk mil) av sild registrert på nvg- overvintringstoktet 2025.
Figur 8. Estimert antall sild fra nvg-overvintringstoktet 2025 for de tre av underområdene definert i Tabell 4, der det ble tatt biologiske prøver.

 

 

Estimert antall sild fra nvg-overvintringstoktet 2025 sammenlignet med nvg-gytetoktet 2025 og det internasjonale norskehavstoktet i mai 2025, samt nvg-gytetoktet i 2024.
Figur 9. Estimert antall sild fra nvg-overvintringstoktet 2025 sammenlignet med nvg-gytetoktet 2025 og det internasjonale norskehavstoktet i mai 2025, samt nvg-gytetoktet i 2024.

 

 

Sammenligningseksperiment mellom Johan Hjort (JH) og Frida USV under nvg-overvintringstoktet 2025: gjennomsnittlig NASC (svarte prikker og røde trekanter) og 90% konfidensintervall (usikkerhetsstolper) for hver sammenligning (_1 til_4).
Figur 10. Sammenligningseksperiment mellom Johan Hjort (JH) og Frida USV under nvg-overvintringstoktet 2025: gjennomsnittlig NASC (svarte prikker og røde trekanter) og 90% konfidensintervall (usikkerhetsstolper) for hver sammenligning (_1 til_4).

 

 

Summet NASC fra sammenligningseksperiment mellom Johan Hjort (stiplede linjer) og Frida USV (heltrukne linjer) under nvg-overvintringstoktet 2025. Svart er sammenligning 1, rød er sammenligning 2, grønn er sammenligning 3, og blå er sammenligning 4.
Figur 11. Summet NASC fra sammenligningseksperiment mellom Johan Hjort (stiplede linjer) og Frida USV (heltrukne linjer) under nvg-overvintringstoktet 2025. Svart er sammenligning 1, rød er sammenligning 2, grønn er sammenligning 3, og blå er sammenligning 4.

 

 

Akustiske tettheter (NASC per 0.1 nautisk mil) av sild registrert  i hvert sammenligning (her kalt dekning) under nvg-overvintringstoktet 2025.
Figur 12. Akustiske tettheter (NASC per 0.1 nautisk mil) av sild registrert i hvert sammenligning (her kalt dekning) under nvg-overvintringstoktet 2025.

 

 

Takk

Takk til mannskapet på Johan Hjort og USV-operasjonssentralen i Bergen for glimrende innsats under toktet og ikke minst: takk til Norges Sildesalgslag som finansierte toktet!