Gå til hovedinnhold

Fordeling og mengde av tobis i norsk sone av Nordsjøen i april-mai 2025

Forfatter(e): Espen Johnsen og Hector Pena (HI)
Toktleder(e): Espen Johnsen og Hector Pena (HI)

Sammendrag

I perioden 24. april - 7. mai 2025 har Havforskningsinstituttet (HI) gjennomført et akustisk tråltokt med FF Johan Hjort på tobisfeltene i sørlig del av norske sone i Nordsjøen. Disse undersøkelsene gir oppdatert kunnskap om bestandsstørrelse, aldersfordeling og geografisk utbredelse av tobisbestanden. Biomassen i 2025 av tobis (Ammodytes marinus) (alder 1+) i sørlige del av norsk sone av Nordsjøen er 9 270 tonn (5%-95% konfidensintervall er 3 951 – 16 250 tonn), og dette er det laveste estimatet i tidsserien som startet i 2009. Reduksjonen i biomasse fra 2024 er stor, og er en fortsettelse av nedgangen fra toppåret 2020. Rekrutteringen de siste årene har vært svært dårlig, og toktserien viser en økt dødelighet av eldre fisk på tross av at fisketrykket har avtatt de siste årene. I 2025, var individvekten per alder høyere enn de siste årene, og mageprøver fra tobisen viser at de har mye dyreplankton i magen. De fem årene har det vært store forekomster av hyse og en del hvitting på i tobisområdene i norsk sone, og det er mulig at høyt beitetrykk fra disse forklarer mye av den svake rekrutteringen og økt dødelighet på eldre tobis. Grunnet få tilgjengelige toktdøgn var det ikke anledning til dekke Vikingbanken i 2025. Lite tokttid medførte også en redusert innsats i sørlig del, og usikkerheten (relativ standard feil=0.41) for biomasseestimatet er vesentlig høyere enn for tidligere tokt.

På sikt ønsker HI at tobistoktet skal gjennomføres med en kombinasjon forskningsfartøy og ubemannede overflatefartøy (USV), og som en pilotstudie dekket HIs nye USV Frida et toktområde (Vestbanken) i perioden 29. – 30. april, omtrent samtidig med FF Johan dekket området. USV Frida ble styrt fra Bergen, og været var veldig fint og kvaliteten på ekkolodd dataene var meget bra. Dessverre, måtte USV Frida forlate området litt tidligere enn ønskelig siden det ble meldt svært dårlig vær og høye bølger. Både USV Frida og FF Johan Hjort målte lave akustiske tettheter av tobis jevnt fordelt i området, og det ble ikke observert noen store tobisstimer. Biomasseestimatet av tobis på Vestbanken målt USV Frida var noe høyere enn målt fra FF Johan Hjort, men forskjellen er ikke signifikant forskjellig. Studiet viser USV Frida fungerer meget bra gitt at været er fint, men den har klare værbegrensinger som må hensyntas i toktplanlegging og -gjennomføring.

1 - Formål og gjennomføring av toktet

I perioden 24. april - 7. mai 2025 har Havforskningsinstituttet gjennomført et akustisk tråltokt med FF Johan Hjort på tobisfeltene i sørlig del av norske sone i Nordsjøen. Disse undersøkelsene gir oppdatert kunnskap om bestandsstørrelse, aldersfordeling og geografisk utbredelse av tobisbestanden. Det er et særlig fokus på å måle rekrutteringen (ettåringene) da disse kan utgjøre en betydelig del av biomassen og den fiskbare bestanden. Resultatene fra toktet danner datagrunnlaget for bestandsvurderinger og endelig tobisråd for 2025 i norsk økonomisk sone (NØS) (Johnsen og Kvamme 2025). I tillegg ble det gjennomført en eksperimentell tokt på Vestbanken, som er et kjent tobisfelt, med det ubemannede overflatefartøyet (USV) Frida i perioden 29. april -1. mai. USVen ble fjernstyrt fra HIs operasjonssentral i Bergen. USV Frida samlet inn ekkolodd data, og disse ble sammenlignet med dataene innsamlet av Johan Hjort. Målet er for fremtidige tokt er at USV vil overta en større del av ekkolodd dekningen av tobisområdene.

Været var veldig bra i store deler av toktet, men grunnet store bølger og sterk kuling ble dekningen 4. mai redusert. Grunnet lite tilgjengelig tokttid var det ikke anledning til å undersøke Vikingbanken i 2025.

2 - Forvaltningsmodell og områdeinndeling

En nasjonal områdebasert forvaltning av tobis i NØS av Nordsjøen (NØS-NS) ble fullt iverksatt i 2011 med hovedmålet om å bygge opp gytebiomassen av tobis på alle historisk viktige tobisfelt i NØS-NS. Økt geografisk spredning og biomasse gir et større rekrutteringspotensial for denne nøkkelarten i økosystemet. Dette kan forbedre mattilgangen for arter i Nordsjøen som beiter på tobislarver og eldre tobis, og bidra til et langsiktig bærekraftig fiske etter tobis.

Områdeinndelingene gjeldende fra 2024 er vist i Figur 1. Geografiske posisjoner per område er gitt i Vedlegg 1, og detaljer knyttet til forvaltningsmodellen er tilgjengelig i Johnsen m.fl. (2021).

 

Forvaltningsområdene i norsk sone (Områdeinndelingen er gyldig fra 2024). Bokstavene a, b og c viser til forskjellige underområdene. De rosa feltene inni forvaltningsområdene viser de viktigste tobisfeltene.
Figur 1 Forvaltningsområdene i norsk sone (Områdeinndelingen er gyldig fra 2024). Bokstavene a, b og c viser til forskjellige underområdene. De rosa feltene inni forvaltningsområdene viser de viktigste tobisfeltene.

 

3 - Toktmetodikk

I nært samarbeid med tobisfiskerne er de historisk viktige tobisområdene i norsk sone definert (Figur 1). Disse områdene består i stor grad av sandbunn, med dyp fra 85 m til 120 m på Vikingbanken, og dyp fra 40 m til 95 m i de sørlige områdene. Med ny kunnskap om geografisk fordeling av tobis har noen av toktområdene (strata) blitt litt endret mellom de årlige toktene. Toktområdene som ble dekket i 2025 er tilnærmet like de som ble dekket i 2020-2024, men i 2025 var det ikke tid til å dekke feltene Nordgyden og Vikingbanken.

For hvert toktområde (Figur 2) blir det brukt et survey-design som enten baserer seg på parallelle eller sikksakk-kurser (Harbitz 2019) (Figur 3) med tilfeldig startpunkt. Dette designet tillater beregning av samplingsusikkerheten. Den akustiske kartlegging av kurslinjene gjennomføres, med en skipsfart på ca. 10 knop, ved dagslys mellom klokka ca. 06:45 og ca. 21:30 norsk tid ettersom tobisen gjemmer seg i sanden om natten. Biologisk prøvetaking skjer med bunntrål dersom man observerer tobisstimer med ekkoloddet. Ettersom det var få sikre tobisregistreringer ble også bunntrålen brukt i områder uten tobisregistreringer. Om natten, og av og til om dagen, bruker man en tobisskrape for å fange tobis som er nedgravd i sanden. Det var kun tilgjengelig 12 toktdøgn med Johan Hjort i 2025, noe som er vesentlig færre døgn enn tidligere år da man har hatt ca. 20 toktdøgn tilgjengelig. USV Frida ble kjørt i ca. 5 knop da høyere hastigheter enn dette kan medføre redusert kvalitet på ekkolodd dataene. For USV Frida var kurslinjene sikksakk basert på (Strindberg og Buckland, 2004) med tilfeldig startpunkt. Den biologiske prøvetakingen gjort fra FF Johan Hjort ble brukt for å lage biomasseestimatet for toktet med USV Frida.

 

Toktområder (grå polygoner) dekket under tobistoktet 2025. Et toktområde kan dekke flere mindre tobisfelt.
Figur 2 Toktområder (grå polygoner) dekket under tobistoktet 2025. Et toktområde kan dekke flere mindre tobisfelt.

 

 

Toktområder (grå polygoner) dekket under tobistoktet 2025. Et toktområde kan dekke flere mindre tobisfelt.
Figur 3 Toktområder (grå polygoner), akustiske transekt (svarte linjer) og biologiske stasjoner (T= trålstasjoner, S=skrapestasjoner) utført på tobistoktet 2025.

 

På FF Johan Hjort er det installert ekkolodd av type SIMRAD EK80 med frekvensene 18, 38, 120, 200 and 333 kHz. På USV Frida er det i tillegg installert SIMRAD EK80 70 kHz. Ping raten som ble brukt var ca. 3 Hz.

Ekkolodd-dataene fra FF Johan Hjort ble lastet ned i programvaren Large Scale Survey System (LSSS 2.17.0, Korneliussen m.fl., 2016) hvor stimenes utbredelse og akustisk frekvensrespons blir undersøkt (Figur 4). For USV Frida EK80 data ble LSSS 3.0.0 (Korneliussen m.fl. 2016) brukt (Figur 5). Tobis har en karakteristisk frekvensrespons som brukes til å skille den fra andre arter (Johnsen at al. 2009). De stimene som blir identifisert til å være tobis får akustisk kategori «tobis» (kode 27 i LSSS). Stimer som ble identifisert som ikke-tobis får kategori «andre» (kode 1 i LSSS). Analyserte ekkolodd-data blir lagret i en database der nautiske arealspredningskoeffisienten NASC [m2/nm2] har en vertikal og horisontal oppløsning på henholdsvis 10 meter og 0,1 nautisk mil per akustiske kategori og ekkolodd frekvens.

 

Ekkogram med tobisstimer på toktområdet Vestbanken North observert fra USV Frida 30. april
Figur 4 Ekkogram med tobisstimer på toktområdet Vestbanken North observert fra FF Johan Hjort 29. april.

 

 

Ekkogram med tobisstimer på toktområdet Vestbanken North observert fra USV Frida 30. april
Figur 5 Ekkogram med tobisstimer på toktområdet Vestbanken North observert fra USV Frida 30. april.

 

På hver trål- og skrapestasjon gjennomføres måling av tobisfangst, individlengde, individvekt og det gjennomføres aldersavlesing av otolitter (øresteiner). Toktestimatene beregnes ved å kombinere de biologiske dataene og NASC verdiene i StoX (Johnsen m.fl., 2019).

Den kombinerte lengdefordelingen (d), beregnet for hver transekt (PSU, j), er gitt ved

Ligning ,

hvor dl,s,j er fisketetthet (antall individer per nautisk mil tråldistanse) per stasjon (s) og lengdegruppe (l cm), og n er det totale antallet stasjoner.

Fisketettheten (ρ, individer per nautisk mil²) per lengdegruppe og transekt beregnes ved (MacLennan m.fl., 2002)

Ligning

hvor NASCj,l (m2 nmi-2) er den gjennomsnittlige nautiske arealspredningskoeffisienten per transekt og lengdegruppe, og σbs,l (m2) er akustiske tilbakespredningskoeffisient for en fisk med lengde (l).

NASCj,l er gitt med

Ligning

hvor σbs,l er multiplisert med andelen (p) av fisk med lengde (l) i Ligning , og NASCj er gjennomsnittlige nautiske arealspredningskoeffisienten for transekt (j).

Akustiske tilbakespredningskoeffisient for en fisk med lengde (l) blir beregnet ved hjelp av

Ligning

Hvor akustisk målstyrke, TS (dB re 1m2), for en fisk med lengde l er

Ligning

hvor m og a er konstanter. For 38 kHz på tobis brukes TS = 20logl – 93.

Mengden (N) av tobis per lengdegruppe l og stratum k er gitt med

Ligning ,

hvor Ak (nmi2) er stratum areal, and tetthet av tobis per l og k er gitt med

Ligning

hvor Ligning er lengden på transekt og nk er det totale antallet transekter, og Lk,j and Ligning er henholdsvis distansen for hvert transekt og gjennomsnittlig transektdistanse per stratum.

Konverteringen av antall fisk per lengdegruppe (l) til antall per aldersgruppe beregnes ved å bruke aldersfordelingen fra aldersleste individer innen lengdegruppen (l). Ved å kombinere de biologiske og akustiske dataene kan man følge utviklingen av årsklassene mellom år. Man kan også beregne årsklassestyrken til rekruttene (ettåringer). Tilsvarende får man ut estimat på individvekt og individlengde per aldersgruppe.

Alle toktestimatene i denne rapporten er basert på 1000 bootstrap-kjøringer i StoX.

Evalueringer viser at kvaliteten på toktestimatene er god, og at toktresultatene avdekker reelle endringer i mengde og geografisk fordeling av tobis. Det er også en fordel at man har fått utviklet akustisk metodikk som identifiserer og skiller tobisstimer fra andre fiskestimer (Johnsen m.fl., 2009). Bestandskartlegging og analyser blir gjort per toktområde (stratum).

4 - Resultat

4.1 - Sørlige område: Forvaltningsområdene 1-4

Den totale biomassen av tobis alder 1+ i 2025 ble estimert til 9 270 tonn (5%-95% konfidensintervall er 3 951 – 16 250 tonn). Biomassen er sterkt redusert fra toppåret 2020 med betydelig årlig nedgang i biomasse (Figur 5, Tabell 1). Presisjonen av biomasseestimatet er det dårligste i tidsserien med en relativ standardfeil på 41% (Tabell 1). Tidligere år har denne variert mellom 10% og 25%.

 

6 Tobis (Ammodytes marinus) i norsk økonomisk sone (forvaltningsområde 1-4).  Estimert biomasse med konfidensintervall (5-95%) for alle toktområdene i forvaltningsområdene 1-4 i NØS (unntatt Nordgyden) per år.
Figur 6 Tobis (Ammodytes marinus) i norsk økonomisk sone (forvaltningsområde 1-4). Estimert biomasse med konfidensintervall (5-95%) for alle toktområdene i forvaltningsområdene 1-4 i NØS (unntatt Nordgyden) per år.

 

År Biomasse 5% Biomasse gjennomsnitt Biomasse 95% RSE
2009 138 706 225 460 316 510 0,24
2010 239 645 353 115 485 511 0,21
2011 102 188 146 119 198 268 0,20
2012 73 275 104 916 139 178 0,19
2013 17 317 30 251 44 969 0,28
2014 274 610 404 807 536 469 0,20
2015 137 311 170 161 204 197 0,12
2016 80 016 117 780 159 490 0,20
2017 278 679 363 980 449 827 0,14
2018 121 654 141 939 162 970 0,09
2019 265 930 327 518 392 703 0,12
2020 478 096 653 184 863 507 0,18
2021 293 489 372 707 462 884 0,14
2022 181 866 275 160 388 847 0,23
2023 80 435 105 480 136 609 0,16
2024 20 169 31 133 45 293 0,25
2025 3 951 9 270 16 250 0,41
Tabell 1 Tobis (Ammodytes marinus) i norsk økonomisk sone (forvaltningsområde 1-4). Estimert biomasse (i tonn) for alle toktområdene i forvaltningsområdene 1-4 i NØS (unntatt Nordgyden) (alder 1+): 5-persentilen, gjennomsnitt og 95-persentilen med relativ standardfeil (RSE).

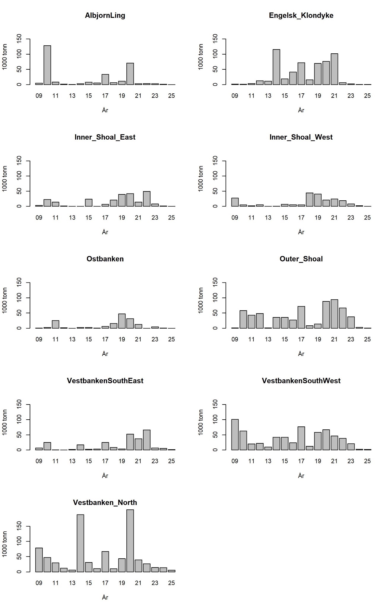
Biomassen er vesentlig redusert i alle områder siden 2024 (Figur 7). Med unntak av noen få middels store tobisstimer (f.eks. Figur 4) ble det kun registrert svært små tobisstimer, og den geografiske utbredelsen er kraftig redusert de siste fem årene (Figur 8).

Rekrutteringen av 2024-årsklassen er den tredje laveste i tidsserien (Figur 9, Tabell 2), og antall ettåringer av denne årsklassen er bare 6% av gjennomsnittet i tidsserien. Rekrutteringen de tre siste årene er også den klart laveste rekrutteringsperioden i tidsserien, og er hovedårsaken til den nedgangen i mengde og biomasse for tobis. Antall individer fordelt per lengde og alder per tokt er vist i Figur 10, og lengde per aldersgruppe kan ha en stor spredning, og ett år gammel fisk er fordelt fra 9 cm til 16 cm i 2025 (Figur 10).

Aldersstrukturen viser at det fremdeles er eldre fisk i bestanden der den relative fordelingen mellom 1-7-åringer er henholdsvis 69%, 7%, 6%, 4%, 11%, 2% og 0%. Biomassen av ettåringene utgjør 31 % av den totale biomassen.

De siste årene har fiskedødeligheten vært lav, men totaldødeligheten økt de siste årene. I kombinasjon med lav rekruttering så er dette årsaken til en stor nedgang i mengden av tobis.

Gjennomsnittlig individvekt per aldersgruppe har vært lavere i siste del av tidsserien sammenlignet med årene frem til 2018 (Figur 11, Tabell 3), men i 2025 økte individvekten per aldersgruppe for aldre og det var mye dyreplankton i magene.

 

Tobis (Ammodytes marinus) i norsk økonomisk sone. Biomasseestimat per toktområde i perioden 2009-2025
Figur 7 Tobis (Ammodytes marinus) i norsk økonomisk sone. Biomasseestimat per toktområde i perioden 2009-2025

 

 

Geografisk utbredelse av ekkotetthet av tobis (Ammodytes marinus) per 0,1 n.mi. for perioden 2020-2025. Størrelsen og fargen på sirklene indikerer ekkotettheten (NASC). Nullverdien er angitt som blå prikker.
Figur 8 Geografisk utbredelse av ekkotetthet av tobis (Ammodytes marinus) per 0,1 n.mi. for perioden 2020-2025. Størrelsen og fargen på sirklene indikerer ekkotettheten (NASC). Nullverdien er angitt som blå prikker.

 

 

Estimert antall ettåringer tobis (Ammodytes marinus) med konfidensintervall (5-95%) per år for alle toktområdene kombinert i forvaltningsområdene 1-4 i NØS (unntatt Nordgyden).
Figur 9 . Estimert antall ettåringer tobis (Ammodytes marinus) med konfidensintervall (5-95%) per år for alle toktområdene kombinert i forvaltningsområdene 1-4 i NØS (unntatt Nordgyden).

 

År/Alder 1 2 3 4 5 6 7
2009 8436 4657 1135 68 13 15 1
2010 16232 6460 1530 810 73 32 33
2011 968 8763 911 217 40 35 33
2012 168 329 3690 386 113 42 13
2013 2405 752 102 571 70 12 0
2014 21958 1892 189 95 2436 297 44
2015 9573 2459 1404 80 106 650 119
2016 75 6011 604 281 26 92 513
2017 35277 123 3617 646 28 45 40
2018 1668 17522 86 330 79 9 0
2019 11351 1124 15506 790 197 40 0
2020 41480 10161 629 9727 248 272 5
2021 15138 12859 2794 464 3738 52 35
2022 4828 5035 5602 976 147 1020 0
2023 2138 1367 1395 1949 878 119 695
2024 1139 359 204 349 405 141 65
2025 644 65 58 41 104 23 4
Tabell 2 . Estimert antall individer (i millioner) tobis ( Ammodytes marius ) per alder per år. (Kombinert for alle toktområdene i forvaltnings-områdene 1-4 i NØS unntatt Nordgyden).

Estimert antall individer av tobis (Ammodytes marinus) per lengdegruppe, alder og år. (Kombinert for alle toktområdene i forvaltningsområdene 1-4 i NØS (unntatt Nordgyden).

Estimert antall individer av tobis (Ammodytes marinus) per lengdegruppe, alder og år. (Kombinert for alle toktområdene i forvaltningsområdene 1-4 i NØS (unntatt Nordgyden).
Figur 10 . Estimert antall individer av tobis ( Ammodytes marinus ) per lengdegruppe, alder og år. (Kombinert for alle toktområdene i forvaltningsområdene 1-4 i NØS (unntatt Nordgyden).

 

 

Individvekt (g) for tobis (Ammodytes marinus) per alder per år for forvaltnings-områdene 1-4 i NØS (unntatt Nordgyden).
Figur 11 . Individvekt (g) for tobis ( Ammodytes marinus ) per alder per år for forvaltnings-områdene 1-4 i NØS (unntatt Nordgyden).

 

År/Alder 1 2 3 4 5 6
2009 12,6 17,4 30,6 38,8 41,8 42,9
2010 9,1 20,4 24,9 34,3 38,9 32,4
2011 5,1 13,3 21,6 24,3 38,9 36,7
2012 5,5 12,4 22,7 29,7 31,7 34,5
2013 5,5 7,6 16,2 22,3 27,7 26,7
2014 10,8 22,2 29,4 35,2 40,8 44,1
2015 8,5 17,4 30,6 37,8 32,0 35,6
2016 4,9 14,6 22,4 27,8 29,6 37,9
2017 7,3 14,8 19,5 24,8 21,4 28,7
2018 3,3 7,3 10,5 16,7 21,4 33,7
2019 6,6 8,5 14,8 13,8 22,5 23,2
2020 6,7 14,6 15,5 21,0 25,0 28,1
2021 5,1 11,5 17,7 17,7 23,3 22,5
2022 7,7 13,3 20,2 23,6 22,7 28,7
2023 4,3 9,6 14,6 15,0 20,4 19,6
2024 4,3 11,3 14,0 17,1 19,0 22,9
2025 4,5 13,8 23,0 24,5 23,0 27,7
Tabell 3 . Individvekt (g) for tobis ( Ammodytes marinus ) per alder per år for forvaltnings-områdene 1-4 i NØS (unntatt Nordgyden),

4.2 - Vikingbanken: Forvaltningsområde 5

Grunnet få toktdøgn tilgjengelig, var det ikke tid til å dekke Vikingbanken i 2025. Se Johnsen og Pena (2024) for estimat for perioden 2009-2024.

4.3 - Sammenligninger mellom USV Frida og FF Johan Hjort

USV Frida dekket Vestbanken North 29. – 30. april, og FF Johan dekket området 28. april – 30. april. Været var veldig fint disse dagene. Begge fartøyene dekket store deler av området, men grunnet dårlige værmeldinger måtte USV Frida avslutte litt tidligere enn planlagt, og fikk derfor ikke tid til å dekke det østligste transektet (Figur 12). I sammenligningen ser vi bort fra denne lille forskjellen i dekningen.

Både USV Frida og FF Johan Hjort målte lave akustiske tettheter av tobis, og det ble ikke observert noen store tobisstimer fra noen av fartøyene. Den geografiske fordelingen av tobisstimer var relativ lik (Figur 12), og det ble funnet noen stimer over hele området. Med USV Frida var biomasse estimatet av tobis alder 1+ 9 285 tonn (5%-95% konfidensintervall er 5 189 – 14 320 tonn), og med FF Johan Hjort var biomasse estimatet 5 385 (5%-95% konfidensintervall er 772 – 12 156 tonn). Det ingen signifikant forskjell i biomasse av tobis målte fra de to fartøyene (Figur 13).

 

Geografisk utbredelse av ekkotetthet (NASC) av tobisl (Ammodytes marinus) per 0,1 n.mi. for på Vestbanken. Størrelsen på sirklene indikerer ekkotettheten (NASC). Nullverdien er angitt som prikker. Rødt viser verdiene målt med FF Johan Hjort, og blått viser verdiene målt med USV Frida.
Figur 12 Geografisk utbredelse av ekkotetthet (NASC) av tobisl (Ammodytes marinus) per 0,1 n.mi. for på Vestbanken. Størrelsen på sirklene indikerer ekkotettheten (NASC). Nullverdien er angitt som prikker. Rødt viser verdiene målt med FF Johan Hjort, og blått viser verdiene målt med USV Frida.

 

 

Estimert biomasse) av tobis (Ammodytes marinus) med konfidensintervall (5-95%) for Vestbanken_North for dekningene gjennomført med henholdsvis FF Johan Hjort og USV Frida.
Figur 13 Estimert biomasse) av tobis (Ammodytes marinus) med konfidensintervall (5-95%) for Vestbanken_North for dekningene gjennomført med henholdsvis FF Johan Hjort og USV Frida.

 

5 - Takk

Tusen takk til mannskapet på FF «Johan Hjort» for et godt utført arbeid. Tusen takk også til våre dyktige og engasjerte prøvetakere og instrumentpersonell. Vi setter også stor pris på gode faglige innspill fra Kenneth Dahl som deltok som observatør på vegne av tobisflåten under årets tokt. Gjennomføringen av toktet med USV Frida ble gjennomført i nært samarbeid med Kongsberg Discovery, USV operasjonssentralen på HI, og SFI CRIMAC (https://crimac.no/). Vi takker for godt samarbeid.

Teksten i rapporten er kvalitetssikret, og i noe grad korrigert ved hjelp av GPT UiO.

6 - Referanser

Harbitz, A, 2019. A zigzag survey design for continuous transect sampling with guaranteed equal coverage probability, Fisheries Research 213:151-159. https://doi.org/10.1016/j.fishres.2019.01.015

Johnsen, E,, Pedersen, R,, & Ona, E, (2009). Size-dependent frequency response of sandeel schools, ICES Journal of Marine Science, 66(6), 1100-1105. https://doi.org/10.1093/icesjms/fsp091

Johnsen, E,, Totland, A, Skålevik, Å,, Holmin, A, J,, Dingsør, G, E,, Fuglebakk, E,, and Handegard, N, O, 2019, StoX: An open source software for marine survey analyses, Methods in Ecology and Evolution, 10(9), 1523-1528. https://doi.org/10.1111/2041-210X.13250

Johnsen, E., Sørhus, E., de Jong, K., Lie, K.K., and Grøsvik, B 2021. Kunnskapsstatus for havsil i norsk sone av Nordsjøen. Rapport fra havforskningen 2021-33. ISSN:1893-4536.

Johnsen, E. and Kvamme, C., 2025. Foreløpig råd for tobisfiske i norsk økonomisk sone i 2025. Rapport fra havforskningen 2025-9. ISSN: 1893-4536.

Korneliussen, R, J,, Heggelund, Y,, Macaulay, G, J,, Patel, D,, Johnsen, E,, & Eliassen, I, K,. 2016. Acoustic identification of marine species using a feature library, Methods in Oceanography, 17, 187-205, https://doi.org/10.1016/j.mio.2016.09.002

MacLennan, D. N., Fernandes, P. G., and Dalen, J. 2002. A consistent approach to definitions and symbols in fisheries acoustics. ICES Journal of Marine Science, 59: 365–369. https://doi.org/10.1006/jmsc.2001.1158

Strindberg, S, Buckland S.T., 2004. Zigzag survey designs in line transect sampling. Journal of Agricultural, Biological and Environmental Statistics, 9 (4), pp. 443-461,  10.1198/108571104X15601

7 - Vedlegg

Forvaltningsområdene som gjelder fra 2024

7.1 - Forvaltningsområde 1

7.1.1 - Underområde 1a. Inner Shoal sør.

Området sør for N56°40’, vest for Ø004°36’ og ellers avgrenset av norsk sektorlinje i sør og vest.

7.1.2 - Underområde 1c. Inner Shoal midt.

Vil alltid være åpnet dersom det tillates fiskeri i område 1.

Området nord for N56°40’ og sør for N56°44’, vest for Ø004°36’ og ellers avgrenset av norsk sektorlinje i sør og vest.

7.1.3 - Underområde 1b. Inner Shoal nord.

Området mellom N56°40’ og N57°04’, vest for Ø004°36’ til norsk sektorlinje i vest.

7.2 - Forvaltningsområde 2

7.2.1 - Underområde 2a. Outer Shoal sør, Snurreplassen, Triangel.

Nordlige grense er N57°11’. Vest for Ø004°36’ er sydlige grense N57°04’, og øst for Ø004°36’ er sydlige grense den norske sektorlinjen. Den østlige grensen er Ø005°18’, og den norske sektorlinje er den vestlige grensen mellom N57°04’ og N57°11’. Sør for N57°04’ er den vestlige grensen Ø004°36’.

7.2.2 - Underområde 2c. Outer Shoal midt, Snuplassen.

Vil alltid være åpent dersom det tillates fiskeri i område 2.

Området nord for N57˚11’ og sør for N57˚16’, og mellom Ø005˚18’ og norsk sektorlinje i vest.

7.2.3 - Underområde 2b. Outer Shoal nord, Karusellen, Hardangerviden

Området nord for N57˚16’ og sør for N57˚27’, og mellom Ø005˚18’og norsk sektorlinje i vest.

7.3 - Forvaltningsområde 3

7.3.1 - Underområde 3a. Vestbanken vest, Korridoren, Diana.

Området mellom følgende koordinater;

1.       N56˚40’ (Ved sektorlinja); Ø005˚18’

2.       N57˚41’ ; Ø005˚18’

3.       N57˚41’; Ø005˚59’42’’

N56˚40’ (Ved sektorlinja); Ø005˚18’

7.3.2 - Underområde 3c. Vestbanken sentral, Falittene.

Vil alltid være åpnet dersom det tillates fiskeri i område 3.

Området mellom følgende koordinater;

1.       N56˚40’ (Ved sektorlinja); Ø005˚18’

2.       N57˚41’ ; Ø005˚59’42’’

3.       N57˚41’ ; Ø006˚23`2’’

4.       N56˚50,5’ (Mot sektorlinje) ; Ø005˚50’

7.3.3 - Underområde 3b; Vestbanken øst.

Området mellom følgende koordinater;

  1. N56˚50,5’ (Mot sektorlinje); Ø005˚50’

  2. N57˚41’; Ø006˚23’2’’

  3. N57˚41’; Ø008˚00’

  4. N57°30’11’’; Ø008°00’ (Ved sektorlinja)

7.4 - Forvaltningsområde 4

7.4.1 - Underområde 4a. Albjørn og Engelsk Klondyke Sør.

Området mellom norsk sektorlinje i vest og Ø005˚18 ’ i øst og mellom N57˚27 ’ og N57˚41 ’ eksklusiv området mellom N57˚38 ’ og N57˚41 ’ , og Ø003˚25 ’ og Ø003˚56 ’ .

7.4.2 - Underområde 4b. Lingbanken, Kadaveret, Minefeltet, Østbanken og Engelsk Klondyke Nord.

Området mellom N57°41’ og N58°15’, og den norsk sektorlinje i vest og Ø005°18’ i øst inklusiv området mellom N57˚38` og N57˚41 ’ , og Ø003˚25 ’ og Ø003˚56 ’ .

7.5 - Forvaltningsområde 5

7.5.1 - Underområde 5a. Vikingbanken sør.

Området mellom N60°00 og N60°20’, og mellom norsk sektorlinje i vest og Ø003°10’.

7.5.2 - Underområde 5b. Vikingbanken nord.

Området mellom N60°25’ og N60°40’, og mellom norsk sektorlinje i vest og Ø003°10’.

7.5.3 - Underområde 5c. Vikingbanken sentralt.

Vil alltid være åpnet dersom det tillates fiskeri i område 5.

HAVFORSKNINGSINSTITUTTET

Postboks 1870 Nordnes

5817 Bergen

Tlf: 55 23 85 00

E-post: post@hi.no

www.hi.no