Sprat survey Oslofjorden 2025 with R/V Prinsesse Ingrid Alexandra
Status for pelagic species in Oslofjorden in 2025
The 2025 sprat survey in the Oslofjord had as its main objective to map the abundance, geographical distribution, and age structure of pelagic species, particularly sprat, herring, and anchovy. The acoustic survey was conducted continuously using the unmanned surface vehicle (USV) Frida, while R/V Prinsesse Ingrid Alexandra (PIA) carried out trawl hauls to verify species composition and allocate acoustic registrations to species and age groups. The survey was conducted from 2 to 11 December, covered both the inner and outer parts of the fjord, including side fjords, and used acoustic measurements and biological sampling to collect data.
The acoustic coverage with USV Frida was carried out from 2 to 8 December and covered all fjords and planned transects. The data were uploaded and interpreted in a cloud-based solution so that areas with high densities could be identified before R/V PIA began its part of the survey on 5 December. This enabled targeted trawling with R/V PIA.
The results showed high densities of sprat and herring throughout the Oslofjord, while anchovy was mainly observed in the inner areas. The abundance estimate for sprat was 261 million individuals, with a biomass of approximately 2,971 tonnes. For herring, an estimated 75 million individuals were recorded, corresponding to a biomass of 2,718 tonnes, while the estimate for anchovy was 50 million individuals and 196 tonnes, respectively.
One-year-olds dominated for both sprat and herring, while 0-group fish dominated for anchovy. Older age groups were also recorded for sprat and herring. The precision of the estimates was generally low, with a relative standard error (CV) above 25% for most age groups, except for 1- to 3-year-old sprat, which showed good precision (<20%). The study provides insight into the pelagic fish stocks in the Oslofjord and highlights the need for continued monitoring and research on the fjord ecosystem.
Sammendrag
Brislingtoktet i Oslofjorden 2025 hadde som hovedmål å kartlegge mengden, geografisk fordeling og aldersstruktur av pelagiske arter, spesielt brisling, sild og ansjos. Den akustiske kartleggingen ble gjennomført kontinuerlig med den ubemannede overflatefarkosten USV Frida, mens F/F Prinsesse Ingrid Alexandra (PIA) gjennomførte trålhal for å verifisere artssammensetning og fordele akustiske registreringer på arter og aldersgrupper. Toktet ble gjennomført fra 2. til 11. desember, dekket både indre og ytre deler av fjorden, inkludert sidefjorder, og brukte akustiske målinger og biologisk prøvetaking for å samle data.
Den akustiske dekningen med USV Frida ble gjennomført fra 2. til 8. desember og dekket alle fjorder og planlagte transekter. Dataene ble lastet opp og tolket i en skyløsning slik at områder med høye tettheter kunne identifiseres før F/F PIA startet sin del av toktet 5. desember. Dermed kunne målrettet tråling gjennomføres med F/F PIA.
Resultatene viste høye tettheter av brisling og sild i hele Oslofjorden, mens ansjos hovedsakelig ble observert i de indre områdene. Antallsestimatet for brisling var 261 millioner individer og biomassen omtrent 2971 tonn. For sild ble det estimert 75 millioner individer og en biomasse på 2718 tonn, mens estimatet for ansjos var henholdsvis 50 millioner individer og 196 tonn.
Ettåringene dominerte for både brisling og sild, mens for ansjos dominerte 0-åringene. For brisling og sild ble det også registrert eldre aldersgrupper. Estimatenes presisjon var generelt lav med en relativ standardfeil (CV) over 25 % for de fleste aldersgruppene, med unntak av 1 til 3 år gammel brisling som hadde god presisjon (<20%). Studien gir innsikt i de pelagiske fiskebestandene i Oslofjorden og understreker behovet for videre overvåkning og forskning på fjordens økosystem.
1 - Introduksjon
Oslofjorden er et dynamisk og komplekst økosystem, preget av et variert sjølandskap med dype basseng, grunne kystområder, elveutløp og tidevannsstrømmer. Denne variasjonen skaper et mangfold av leveområder for marine arter. De siste tiårene har imidlertid langvarig menneskelig påvirkning ført til en negativ utvikling i fjordens økosystem (Frigstad mfl., 2024). Miljøtilstanden og kildene til menneskelig påvirkning varierer mellom ytre og indre deler av fjorden (Arvnes mfl., 2019). En nylig publisert studie identifiserer høsting, miljøgifter, mikroplast, fysisk påvirkning og næringssalter som de viktigste menneskeskapte stressfaktorene i ytre Oslofjord, med potensielt alvorlige konsekvenser for økosystemet (Aarflot mfl., 2024).
Oslofjorden huser et rikt marint artsmangfold, inkludert fisk, skalldyr, planktonsamfunn og marine pattedyr som sel og nise. Fjorden er også en viktig næringskilde for sjøfugl og har stor betydning for den regionale økonomien gjennom fiskeri, turisme og rekreasjon. Data fra Havforskningsinstituttets strandnotserie tyder på at det de siste tiårene har skjedd en betydelig forskyvning i fiskesamfunnet og artssammensetningen, med økt forekomst av pelagiske arter som brisling, sild og ansjos, og samtidig tilbakegang av bunnlevende arter (Barceló mfl., 2016).
Pelagisk fisk lever hovedsakelig i de frie vannmassene og vandrer ofte i store stimer. Brisling er til stede i Oslofjorden hele året, mens de største forekomstene av makrell forekommer om sommeren under makrellens beitevandring. Sild trekker mot kysten i gyteperioden og bruker kystområdene som oppvekstområde (Berg mfl., 2022). Generelt vurderes tilstand til pelagiske fiskebestander i Nordsjøen og Skagerrak/Kattegat til å være god, men det er fortsatt usikkerhet knyttet til sammenhengen mellom bestandene i disse områdene og de som finnes i kystnære farvann og Oslofjorden (Quintela mfl., 2020; Seljestad mfl., 2024).En god oversikt over den lokale brislingbestanden, endringer i mengde, fordeling og overlapp mellom denne, havbrislingen og sildebestandene er sentralt for å forstå økosystemet i Oslofjorden. Etablering av en tokttidsserie på pelagisk fisk vil gi informasjon som kan brukes til fiskeriråd på brisling og sild, og serien vil være et viktig bidrag for å overvåke tilstanden på økosystemet i fjorden.
Formålet med brislingtoktet i Oslofjorden er å kartlegge rekruttering, mengde, biomasse, geografisk fordeling, vekstrate og aldersstruktur for bestandene av brisling, sild og ansjos i Oslofjorden, og undersøke endringer mellom år.
2 - Metoder
2.1 - Toktgjennomføring, -område og stratainndeling
Toktet ble gjennomført med den ubemannede overflatefarkosten USV Frida fra 2. til 8. desember 2025 som ble fjernstyrt fra Havforskningsinstituttets operasjonssentralen i Bergen, og F/F Prinsesse Ingrid Alexandra (PIA) fra 5. til 11. desember 2025. Toktstart og avslutning for USV Frida var i Horten, mens start og avslutning for F/F PIA var i Oslo Havn (Skur 38). Den akustiske kartleggingen ble utført døgnkontinuerlig med USV Frida, og basert på disse akustiske målingene ble F/F PIA brukt til målrettet og effektiv tråling for biologisk prøver. F/F PIA ble benyttet 12 timer per døgn, fra klokka 09:00 til 21:00 norsk tid.
Toktområdet dekker både indre og ytre Oslofjorden, inkludert sidefjordene, og er inndelt i seks underområder (strata) som vist i Figur 1. Stratumgrensene ble manuelt definert i programvaren OpenCPN og lagret som standard GPX-kartfiler. For hvert stratum ble det utarbeidet random sikksakk transekter (Strindberg og Buckland, 2004) ved hjelp av planleggingsverktøyet «TransectDesign» i en prerelease versjon av StoX 4.2.0 (Johnsen mfl., 2019). Denne metoden ble valgt for å sikre en mest mulig effektiv dekning av toktområdet, spesielt med tanke på at strataene var små og smale (Harbitz, 2019).
Figur 1: Strata (røde; merket med stratanummer), realiserte akustiske transekt (grå linjer) og trålstasjoner (blå sirkler) dekket under Brislingtokt Oslofjorden 2025.
Antall transekt i hvert stratum ble tilpasset arealet per strata gitt tilgjengelig toktperiode. Planlagt dekningsgrad (total transektdistanse dividert med kvadratroten av stratumarealet) var 15 i alle strata, noe som gir en høy dekning (Tabell 1). En dekningsgrad på syv skal normalt sett være tilstrekkelig for å få god presisjon i toktestimatene (Aglen, 1989). Noen transekt ble modifisert av hensyn til navigasjon og annen skipstrafikk (Figur 1).
Stratum
Design
Areal (nmi2)
Distanse (nmi)
Dekningsgrad
OF_91_Bunnefjorden
Dobbel zz
15,74
59,52
15
OF_92_IndreOslofjorden
Dobbel zz
35,85
89,81
15
OF_93_Holmestrandsfjorden
Dobbel zz
67,09
122,87
15
OF_94_YtreOslofjorden
Dobbel zz
87,64
140,42
15
OF_95_FærderHvaler
Dobbel zz
210,28
217,51
15
OF_96_Drammensfjorden
Dobbel zz
12,13
52,24
15
Tabell 1: Oversikt over strata dekket på Brislingtokt i Oslofjorden 2025 inkludert design, stratumareal, total transektdistanse og dekningsgrad. nmi = nautisk mil, zz = sikksakk.
2.2 - Datainnsamling og prøvetaking
Akustiske data ble innhentet ved hjelp av Simrad EK80 ekkolodd i CW (smalbånd) modus med frekvensene 18, 38, 70, 120, 200 og 333 kHz. Ekkoloddets transducere (sendere / mottakere) er installert på gondolen under USV Frida (2,7 m dypt), og fartøyet opererte med en hastighet på omtrent 5 knop under datainnsamlingen. F/F PIA brukte Simrad EK80 (frekvenser 38, 120 og 200 kHz) for å lokalisere fiskestimer før tråling. Transducerene på F/F PIA er installert på kjølen (3,5 m dypt).
Etterprosesseringen av ekkoloddataene ble utført i programvaren Large Scale Survey System (LSSS, versjon 3.1.0; (Korneliussen mfl., 2016)). En sky-variant av LSSS ble brukt slik at flere erfarne eksperter kunne bidra til å tolke dataene. Akustiske registreringer ble klassifisert som «pelagisk fisk» eller «andre». Kategorien «pelagisk fisk» ble benyttet for stimer av pelagisk fisk, mens «andre» omfattet ekko som ikke stammet fra pelagisk fisk.
Ekkogrammene ble tolket per 5 nautiske mil for 38 kHz data. I noen tilfeller brukte vi stimbokser for å identifisere stimer, men hovedsakelig var det ikke mulig å identifisere enkeltstimer. Akustiske tetthetsverdier (NASC) ble beregnet ved bruk av en -50 dB terskel. NASC-verdier ble så allokert til «pelagisk fisk». Rest-NASC-verdier mellom -50 dB og -82 dB ble klassifisert som «andre». Akustiske tetthetsverdier ble lagret med en vertikal oppløsning på 10 meter og en horisontal oppløsning på 0,1 nautiske mil.
Figur 2: Ekkogram av brislingstim.
Biologisk prøvetaking ble utført ved hjelp av en pelagisk Harstadtrål med en trålpose med 24 mm maskevidde der det var montert et innernett med finmasket maskevidde på 11 mm. Trålhalene ble utført målrettet basert på akustiske registreringer som var antatt å være pelagisk fisk. For hver trålstasjon med pelagisk fisk ble følgende parametere registrert: total fangstvekt per art, lengde (avrundet ned til nærmeste 0,5 cm) for opptil 100 individer, samt mer detaljert individprøvetaking av 25 fisk, inkludert otolittprøver for aldersbestemmelse, kjønn, modningsstadium, magefyllingsgrad, gonadevekt og genetikk for videre analyser. Utvelgelsen av individer var tilfeldig.
2.3 - Toktets dekning
Vær- og sjøforholdene var stort sett gunstige for både tråling og akustisk registrering, noe som sikret data av god kvalitet gjennom hele toktet. I ytre Oslofjord var det perioder med vind, men dette påvirket ikke toktgjennomføringen.
I 2025 ble de akustiske transektene dekket av USV Frida, noe som gjorde det mulig å oppnå en betydelig høyere dekningsgrad per stratum (≈15) sammenlignet med toktet i 2024 (≈7; (Berg og Kvamme, 2025)). I 2024 ble akustisk dekning gjennomført med F/F PIA på dagtid (8-20 norsk tid), mens USV Frida opererte kontinuerlig over 24 timer i 2025. Den økte dekningsgraden bidro til redusert usikkerhet i de akustiske tolkningene og dermed mer robuste estimater. Bruk av USV Frida kan gi noe høyere bestandsestimat enn ved bruk av større bemannede fartøy, som følge av både redusert skremmeeffekt på fisken (Totland og Johnsen, 2022) og at den øvre blindsonen er 0,8 m dypere på F/F PIA enn på USV Frida. Ettersom fisken stod dypt er det imidlertid forventet at den eventuelle fartøyeffekten er liten. Det er derfor rimelig å anta at effekten er minimal for de overordnede resultatene og konklusjonene i rapporten, noe som gjør estimatene sammenlignbare med 2024 resultatene (Berg og Kvamme, 2025). Merk at HI har gjennomført flere sammenligninger mellom USVer og forskningsfartøy, deriblant F/F PIA på brisling i Vestlandsfjordene. Resultatene er under opparbeiding og vil bli publisert i 2026.
Totalt ble det gjennomført 18 trålstasjoner (Tabell V1), men ikke alle hadde tilstrekkelig fangst av pelagiske arter til å sikre biologiske prøver av høy kvalitet (Figur V1).
I indre Oslofjord ble det registrert gode forekomster av alle de tre pelagiske artene ved Oslo havn. Tråling er utfordrende i dette området fordi det er grunt (<20 m) og har mye skipstrafikk, men i 2025 klarte vi å få en representativ fangst. Tilsvarende ble flere pelagiske stimer observert nært land i ulike deler av fjorden, men i flere tilfeller var det ikke praktisk gjennomførbart å tråle i disse områdene. Utfordringen med tråling nært land er varierende dybdeforhold og lite plass til å sette ut trålen mellom øyene. Likevel lyktes vi med å få tilstrekkelig med fangster i alle strata.
2.4 - Toktestimering
Mengdeestimatene for brisling, sild og ansjos ble beregnet med programvaren StoX (versjon 4.1.4) (Johnsen mfl., 2019), der estimatenes gjennomsnitt og presisjon ble basert på 1000 bootstrap-replikater. Alle resultater presentert i rapporten baserer seg på output fra disse bootstrap-replikatene hvis annet ikke er nevnt. NASC-verdiene for kategorien «pelagisk fisk» ble fordelt mellom brisling, sild og ansjos ved bruk av SplitNASC-metoden i StoX (Figur 3; (Johnsen mfl., 2019)). En mer detaljert beskrivelse av estimeringsprosessen finnes i Salthaug mfl. (2021).
Følgende akustiske målstyrke (TS) som funksjon av fiskelengde (L) ble anvendt (Foote, 1987):
hvor m = 20 og a = -71.2 for alle tre pelagisk arter (ICES, 2015).
3 - Resultater og diskusjon
3.1 - Geografisk fordeling av pelagiske arter i Oslofjorden - SplitNASC
Det ble registrert høye tettheter av brisling og sild i hele Oslofjorden, mens ansjos kun ble observert i de indre delene av fjorden (Figur 3). De observerte stimene var lokalisert relativt nært land i grunne områder. Selv i mørket forble stimene nær bunn og vandret ikke mot overflaten.
Figur 3: Akustisk tetthet (NASC [m2/n.mi.2] per 0.1 nautiske mil) av ansjos (lilla), brisling (gul) og sild (mørkeblå) registrert på tokt i Oslofjorden 2025 etter bruk av SplitNASC-metoden. De røde linjene representerer akustiske transekt dekket under toktgjennomføring uten registrering av de noen av disse tre artene.
3.2 - Lengde og aldersfordeling av pelagiske arter i Oslofjorden
Brisling viste et tydelig geografisk mønster i alderssammensetning (Figur 4). I Holmestrand (Stratum 93) bestod fangsten nesten utelukkende av 0-gruppe fisk, mens det i Bunnefjorden (Stratum 91) og Indre Oslofjorden (Stratum 92) ikke ble funnet 0-gruppe. Her dominerte i stedet 1- og 2-åringer. I Ytre Oslofjorden (Stratum 94) og områdene rundt Færder og Hvaler nasjonalpark (Stratum 95) dominerte 1-åringene.
For sild ble det observert en tydelig lengdeforskjell mellom 0- og 1-åringer. Enkelte svært små 1-åringer ble registrert i ytre deler av fjorden, noe som kan tyde på forekomst av en annen populasjon med langsommere vekstmønster. De fleste 1-åringene ble funnet i Indre Oslofjord, mens 2-åringer hovedsakelig forekom i Ytre Oslofjorden.
For ansjos ble kun 0-gruppe fisk registrert, og disse forekom begrenset til Bunnefjorden og Indre Oslofjorden.
Figur 4: Lengde- og aldersfordeling er gitt for ansjos (venstre), brisling (midten) eller sild (høyre) per område. Fordeling baserer seg på output fra 1000-bootstrap-replikater.
3.3 - Estimater av mengde av pelagiske arter i Oslofjorden
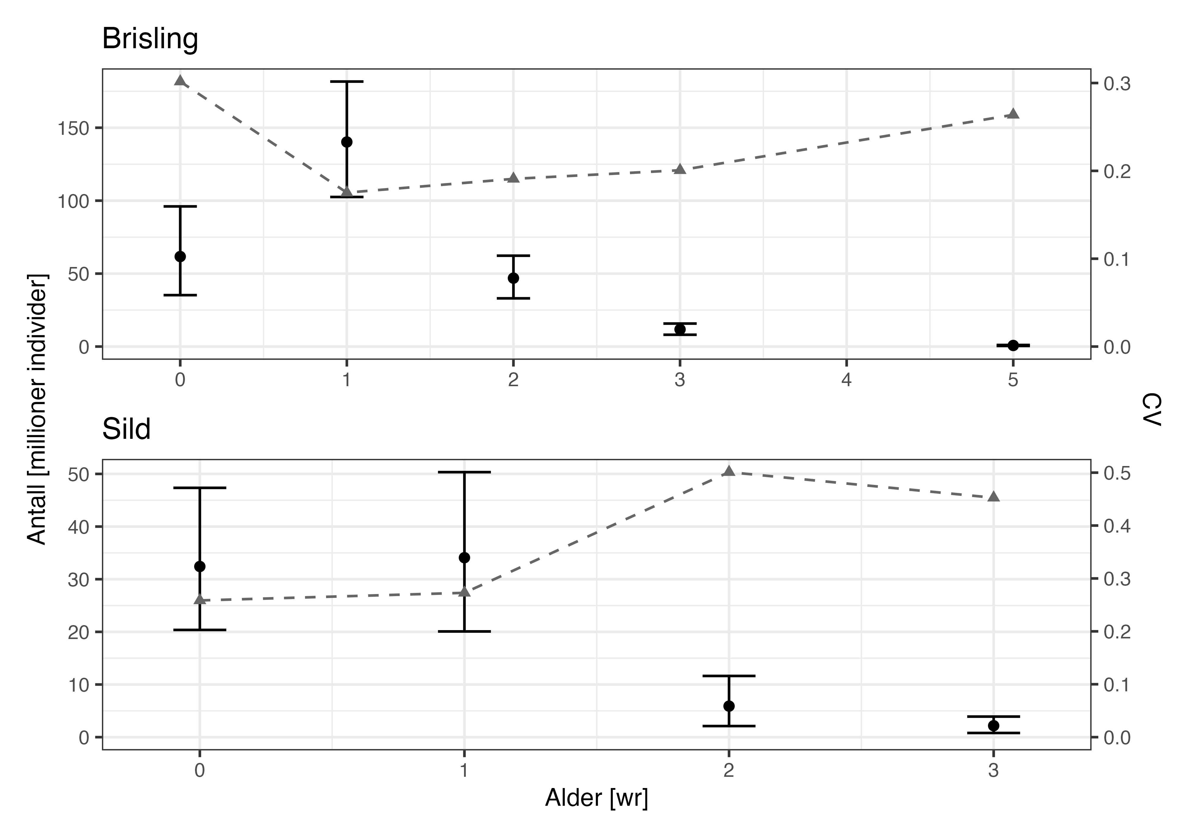
Estimatene for antall ansjos, brisling og sild per aldersgruppe er presentert i Tabell 2–4 og Figur 5, mens estimert biomasse per aldersgruppe er vist i Tabell 5–7. Aldersgruppe 0 dominerte i antall for sild og ansjos, men for brisling dominerte 1-åringer. For både brisling og sild ble det også registrert eldre individer. Det antas at det finnes flere eldre individ av ansjos, spesielt i indre Oslofjorden, men de ble ikke observert i trålfangstene (Figur V1, Tabell V2). I 2024 observerte vi store forekomster av voksen sild med alder opp til 12 år innerst i Bunnefjorden. I 2025 observerte vi akustiske registreringer samme sted som i 2024, men klarte ikke å få prøve av stimen. Presisjonen på estimatene har økt sammenlignet med i 2024. Aldersestimatene av 1 til 3 år gammel brisling hadde høy presisjon (relativ standardfeil (CV) ≤20%). Tilsvarende estimater av 0 og 5 år gammel brisling, samt for sild og ansjos hadde lav presisjon (CV > 25%).
Figur 5: Estimert antall brisling og sild per alder (wr = vinterringer) i Oslofjorden 2025 (venstre y-akse) og relativ standardfeil (CV) (høyre y-akse) basert på Brislingtokt 2025. Gjennomsnitt av 1000 bootstrap-replikater (svarte punkt) med 90% konfidensintervall (stolper) og CV (trekanter). Wr = vinterringer.
Totalantallet av brisling i toktområdet ble estimert til å være 261 millioner individer (90% konfidensintervall (KI): 190 til 334). Totalbiomasse av brisling ble estimert til å være 2971 tonn (90% KI: 2189 til 3818).
Mengde av sild ble estimert til å være 75 millioner individer (90% KI: 49 til 104). Totalbiomasse av sild ble estimert til å være 2718 tonn (90% KI: 1616 til 3938).
Totalantallet av ansjos ble estimert til å være 50 millioner individer (90% KI: 29 til 75). Totalbiomasse av ansjos ble estimert til å være 196 tonn (90% KI: 109 til 296).
Tabell 8 viser estimatene av vekt og lengde per alder for alle de tre artene.
Alder
Gjennomsnitt
5-persentil
95-persentil
CV
0
61,70
35,24
96,06
0,30
1
140,21
102,52
181,64
0,18
2
46,89
33,04
62,28
0,19
3
11,76
8,10
15,77
0,20
5
0,74
0,43
1,08
0,26
Total
261,29
189,51
333,50
0,17
Tabell 2: Estimert antall brisling (mill.) i Oslofjorden 2025 basert på 1000 bootstrap-replikater.
Alder
Gjennomsnitt
5-persentil
95-persentil
CV
0
32,42
20,37
47,35
0,26
1
34,09
20,08
50,34
0,27
2
5,89
2,11
11,63
0,50
3
2,17
0,79
3,91
0,45
Total
74,57
48,93
103,85
0,23
Tabell 3: Estimert antall sild (mill.) i Oslofjorden 2025 basert på 1000 bootstrap-replikater.
Alder
Gjennomsnitt
5-persentil
95-persentil
CV
0
50,13
28,58
74,83
0,29
1
0,31
0,13
0,55
0,42
Total
50,44
28,70
75,16
0,29
Tabell 4: Estimert antall ansjos (mill.) i Oslofjorden 2025 basert på 1000 bootstrap-replikater.
Alder
Gjennomsnitt
5-persentil
95-persentil
CV
0
237,55
137,70
363,55
0,29
1
1 823,66
1 325,13
2 380,34
0,18
2
716,59
509,09
951,92
0,19
3
181,29
125,77
242,02
0,20
5
12,02
7,03
17,60
0,26
Total
2 971,10
2 189,38
3 817,68
0,17
Tabell 5: Estimert biomasse brisling (tonn) i Oslofjorden 2025 basert på 1000 bootstrap-replikater.
Alder
Gjennomsnitt
5-persentil
95-persentil
CV
0
637,72
393,49
953,00
0,27
1
1 410,46
804,91
2 136,61
0,29
2
472,32
160,17
940,72
0,53
3
197,12
74,75
358,85
0,46
Total
2 717,63
1 616,11
3 938,15
0,26
Tabell 6: Estimert biomasse sild (tonn) i Oslofjorden 2025 basert på 1000 bootstrap-replikater.
Alder
Gjennomsnitt
5-persentil
95-persentil
CV
0
194,28
108,48
292,95
0,29
1
1,68
0,70
3,01
0,42
Total
195,96
109,16
296,11
0,29
Tabell 7: Estimert biomasse ansjos (tonn) i Oslofjorden 2025 basert på 1000 bootstrap-replikater.
Alder
Ansjos
Brisling
Sild
Lengde
Vekt
Lengde
Vekt
Lengde
Vekt
0
9,5
4,2
8,2
3,6
14,6
20,3
1
10,5
5,5
12,0
12,6
18,9
44,3
2
12,9
14,8
22,0
79,1
3
13,0
15,2
22,3
81,7
5
13,6
16,2
Tabell 8: Estimert gjennomsnittlig vekt (g) og lengde (cm) av ansjos, brisling og sild i Oslofjorden 2025 basert på 1000 bootstrap-replikater.
3.4 - Bestandsutvikling over tid av pelagiske arter i Oslofjorden
Formålet med brislingtoktet i Oslofjorden er å etablere et datagrunnlag for å kunne følge bestandsutviklingen av pelagiske fiskearter over tid. Toktet er per i dag kun gjennomført i to år (2024 og 2025), og datagrunnlaget er derfor begrenset. Det er ikke mulig å trekke konklusjoner om langsiktige bestandsendringer, men resultatene gir likevel viktige indikasjoner på mellomårlige variasjoner i bestandene.
For brisling viser resultatene en økning i både biomasse og antall i aldersgruppe 1 fra 2024 til 2025 (Figur 6). Den sterke 2024-årsklassen, med høy forekomst av 0-gruppe fisk i 2024, følges av et høyt antall 1-åringer i 2025. Dominansen av 1-åringer forklarer den høyere estimerte biomassen i 2025 sammenlignet med året før.
Et tilsvarende mønster observeres for sild (Figur 7). Økningen i antall 1-åringer fra 2024 til 2025 har bidratt til en høyere total biomasse. Med kun to års data er det imidlertid ikke mulig å vurdere årsklassestyrke eller bestandsutvikling for sild, som er en langtlevende art med senere kjønnsmodning enn brisling.
For ansjos er det kun registrert 0-gruppe fisk begge år (Figur 8). Likevel viser estimatene en økning i både antall og biomasse fra 2024 til 2025, noe som indikerer økt rekruttering mellom årene.
Figur 6: Historisk utvikling i biomasse, antall i aldersgruppe 1 og årsklassestyrke for brisling i Oslofjorden
Figur 7: Historisk utvikling i biomasse, antall i aldersgruppe 1 og årsklassestyrke for sild i Oslofjorden.
Figur 8: Historisk utvikling i biomasse, antall i aldersgruppe 0 og årsklassestyrke for ansjos i Oslofjorden.
4 - Referanser
Aglen, A. 1989. Empirical results on precision effort relationships for acoustic surveys. ICES CM 1989/B:30: 28 s.
Arvnes, M. P., Albretsen, J., Naustvoll, L.-J., Falkenhaug, T., Espeland, S. H., Bjørge, A., og Eikrem, W. 2019. Kunnskapsstatus Oslofjorden - SALT rapport nr. 1036. Oppdragsrapport. Miljødirektoratet, M–1556: 44 s.
Barceló, C., Ciannelli, L., Olsen, E. M., Johannessen, T., og Knutsen, H. 2016. Eight decades of sampling reveal a contemporary novel fish assemblage in coastal nursery habitats. Global Change Biology, 22: 1155–1167. https://onlinelibrary.wiley.com/doi/abs/10.1111/gcb.13047.
Berg, F., Kvamme, C., og Nash, R. D. M. 2022. The dynamics of 0-group herring Clupea harengus and sprat Sprattus sprattus populations along the Norwegian Skagerrak coast. Frontiers in Marine Science, 9: 831500.
Foote, K. 1987. Fish target strengths for use in echo integrator surveys. Journal of the Acoustical Society of America, 82: 981–987.
Frigstad, H., Ramon, P., Borgersen, G., Engesmo, A., Staalstrøm, A., Naustvoll, L.-J., og Lerch, S. 2024. Tilstandsrapport for Oslofjorden. Oppdragsrapport, Miljødirektoratet, M–2885: 40 s.
Harbitz, A. 2019. A zigzag survey design for continuous transect sampling with guaranteed equal coverage probability. Fisheries Research, 213: 151–159.
ICES. 2015. Manual for International Pelagic Surveys (IPS). Series of ICES Survey Protocols SISP 9 – IPS: 92 s.
Johnsen, E., Totland, A., Skålevik, Å., Holmin, A. J., Dingsør, G. E., Fuglebakk, E., og Handegard, N. O. 2019. StoX: An open source software for marine survey analyses. Methods in Ecology and Evolution, 10: 1523–1528.
Korneliussen, R. J., Heggelund, Y., Macaulay, G. J., Patel, D., Johnsen, E., og Eliassen, I. K. 2016. Acoustic identification of marine species using a feature library. Methods in Oceanography, 17: 187–205.
Quintela, M., Kvamme, C., Bekkevold, D., Nash, R. D. M., Jansson, E., Sørvik, A. G., og Taggart, J. B. 2020. Genetic analysis redraws the management boundaries for the European sprat. Evolutionary Applications, 13: 1906–1922.
Salthaug, A., Stenevik, E. K., Vatnehol, S., Anthonypillai, V., og Slotte, A. 2021. Distribution and abundance of Norwegian spring spawning herring during the spawning season in 2021. Institute of Marine Research, Survey report, Nr. 1– 2021: 25 s.
Seljestad, G. W., Quintela, M., Bekkevold, D., Pampoulie, C., Farrell, E. D., Kvamme, C., og Slotte, A. 2024. Genetic stock identification reveals mismatch between current management areas and population genetic structure in a highly migratory pelagic fish. Evolutionary Applications, 17: e70030.
Strindberg, S., og Buckland, S. T. 2004. Zigzag survey designs in line transect sampling. Journal of Agricultural, Biological, and Environmental Statistics, 9: 443–461.
Totland, A, og Johnsen, E. 2022. Kayak Drone – a silent acoustic unmanned surface vehicle for marine research. Frontiers in Marine Science, 9: 986752.
Aarflot, J., Naustvoll, L.-J., Moy, F., Norderhaug, K. M., Berg, F., C., K., og Sørvik, G. 2024. Pilotprosjekt for vurdering av samlet påvirkning i Oslofjorden – ytre del. Rapport fra havforskningen 2024-15. Oppdragsrapport, Nærings- og Fiskeridepartementet: 83 s.
5 - Takk
Havforskningsinstituttet benyttet også i år F/F Prinsesse Ingrid Alexandra under brislingtoktet. Vi retter en stor takk til fartøyets mannskap for profesjonelt samarbeid, høy faglig kvalitet og en imponerende innsats gjennom hele toktet. Stemningen om bord og viljen til å finne gode løsninger underveis har vært avgjørende for et vellykket tokt. En særlig takk går til instrumentsjef Joakim Sjefstad for fremragende arbeid, løsningsorientering og fantastisk teknisk støtte. Vi vil også takke USV-operasjonssentralen i Bergen for svært god oppfølging og drift under gjennomføringen av toktet.
Årets tokt var spesielt ved at det inkluderte kongelig besøk. Forberedelsene krevde betydelig innsats fra mange involverte, og vi ønsker å rette en særskilt takk til Johanna Aarflot, Brede Andersen og Bente Kjøllesdal for deres viktige bidrag i planlegging og gjennomføring. Vi takker også H.K.H. Kronprins Haakon og H.K.H. Prinsesse Ingrid Alexandra for besøket og den store interessen de viste for arbeidet under toktet.
6 - Vedlegg
Figur V1: Trålstasjoner med fangst av ansjos (øverst, lilla sirkler), brisling (midten, gule sirkler) eller sild (nederst, mørkeblå sirkler). Lengde- og aldersfordeling er gitt for hver art. Røde sirkler viser stasjoner uten fangst av pelagisk fisk. NA: alder ikke bestemt.
Stasjon
Dato
Starttid
Tråltid
Lat
Long
Dybde
Ansjos
Brisling
Sild
Makrell
Maneter
Krill
Andre
63201
05.12
12:12
22
59,85
10,70
49
1,45
0,00
63202
05.12
13:38
30
59,75
10,72
63
0,24
0,00
0,01
63203
05.12
14:42
18
59,75
10,72
63
1,34
0,08
0,02
63204
05.12
16:08
22
59,86
10,78
47
0,04
35,00
0,20
0,31
0,09
63205
05.12
17:39
18
59,87
10,69
41
0,06
0,05
0,23
0,66
0,21
0,01
63206
06.12
11:18
31
59,79
10,52
26
1,14
0,05
63207
06.12
12:14
30
59,77
10,52
39
0,55
0,04
2,17
0,32
0,08
63208
06.12
17:59
32
59,57
10,42
23
0,25
0,04
16,91
63209
07.12
12:13
27
59,56
10,41
24
0,05
35,00
3,20
0,06
63210
07.12
15:36
21
59,45
10,38
25
8,80
11,57
1,28
2,38
0,01
1,03
63211
08.12
10:30
23
59,45
10,38
24
5,00
0,01
63212
08.12
15:46
9
59,38
10,50
11
607,14
11,00
0,03
63213
08.12
17:49
22
59,25
10,48
25
0,90
0,57
0,75
0,32
63214
09.12
10:29
18
59,17
10,56
25
1,97
2,18
63215
09.12
12:20
22
59,20
10,55
28
114,13
35,87
0,05
63216
10.12
13:14
31
59,31
10,68
45,30
63217
10.12
17:59
20
59,90
10,65
0,08
1,25
0,66
0,18
0,54
0,25
0,85
63218
10.12
19:07
10
59,90
10,71
24
0,10
10,53
4,54
1,02
0,29
0,16
Tabell V1: Oversikt over trålhal og fangster i Oslofjorden i 2025. Starttid er norsk tid. Tråltid er oppgitt i minutter. Lat = breddgrad og long = lengdegrad, begge oppgitt i grader, °. Dybde er fiskedybde i meter. Fangst per art er oppgitt i kg.
Ansjos
Brisling
Sild
Område
Biomasse
Alder
Biomasse
Alder
Biomasse
Alder
OF_91_Bunnefjorden
42
0,0
417
1,5
208
0,9
OF_92_IndreOslofjorden
154
0,0
730
1,5
763
1,0
OF_93_Holmestrandsfjorden
0
198
0,6
392
0,9
OF_94_YtreOslofjorden
0
452
0,9
855
1,0
OF_95_FærderHvaler
0
1 142
1,0
499
0,2
OF_96_Drammensfjorden
0
32
0,0
0
1,3
Tabell V2: Estimert gjennomsnittlig vekt (g) og lengde (cm) av ansjos, brisling og sild i Oslofjorden 2025 basert på 1000 bootstrap-replikater.