Gå til hovedinnhold

Fordeling og mengde av tobis i norsk sone av Nordsjøen i april-mai 2024

— Tobistokt i Nordsjøen 25. april – 15. mai 2024

Forfatter(e): Espen Johnsen og Hector Pena (HI)
Toktleder(e): Espen Johnsen og Hector Pena (HI)

Sammendrag

I perioden 25. april - 15. mai 2024 har Havforskningsinstituttet (HI) gjennomført et akustisk tråltokt med FF Johan Hjort på tobisfeltene i norske sone i Nordsjøen. Disse undersøkelsene gir oppdatert kunnskap om bestandsstørrelse, aldersfordeling og geografisk utbredelse av tobisbestanden. Biomassen i 2024 av havsil (tobis) (alder 1+) i sørlige del av norsk sone av Nordsjøen er 31 133 tonn (5%-95% konfidensintervall er 20 169 – 45 293 tonn), og reduksjonen er stor fra 2023 og en fortsettelse av nedgangen fra toppåret 2020. Dårlig rekruttering etter 2020 og økt dødelighet av eldre fisk er hovedårsaken til denne nedgangen, men i tillegg er individvekten per aldersgruppe i 2024 mellom 17% og 37% lavere enn langtidsgjennomsnittet for perioden 2009-2023. De fire siste årene har det vært store forekomster av hyse og en del hvitting i tobisområdene, og toktresultatene tyder på at beitetrykket og naturlig dødelighet på tobis er vesentlig høyere enn tidligere. Bestanden er kritisk lav i alle forvaltningsområder, med unntak av område 3 der det er en del tobis. Under toktet i 2024 ble biomassen estimert til kun 550 tonn (5%-95% konfidensintervall er 147 – 990 tonn) i forvaltningsområde 5 (Vikingbanken). Dette er en liten oppgang fra de to foregående årene, men fremdeles er biomassen er svært liten.

1 - Formål og gjennomføring av toktet

I perioden 25. april - 15. mai 2024 har Havforskningsinstituttet gjennomført et akustisk tråltokt med FF «Johan Hjort» på tobisfeltene i sørlig del av norske sone i Nordsjøen og på Vikingbanken. Disse undersøkelsene gir oppdatert kunnskap om bestandsstørrelse, aldersfordeling og geografisk utbredelse av tobisbestanden. Spesielt viktig er det å få et godt mål på rekrutteringen (ettåringene), ettersom disse kan utgjøre en betydelig del av biomassen og den fiskbare bestanden. Resultatene fra toktet danner datagrunnlaget for et endelig tobisråd for 2024 i norsk økonomisk sone (NØS). Det ble gjennomført et mannskapsskifte i Egersund 3. mai. Det var en del kuling i første del av toktet, mens været var bedre under siste del.

2 - Forvaltningsmodell og områdeinndeling

En nasjonal områdebasert forvaltning av tobis i NØS av Nordsjøen (NØS-NS) ble fullt iverksatt i 2011 med hovedmålet om å bygge opp gytebiomassen av tobis på alle historisk viktige tobisfelt i NØS-NS. Økt geografisk spredning og biomasse gir et større rekrutteringspotensial for denne nøkkelarten i økosystemet. Dette kan forbedre mattilgangen for arter i Nordsjøen som beiter på tobislarver og eldre tobis, og bidra til et langsiktig bærekraftig fiske etter tobis.

Områdeinndelingene gjeldende fra 2024 er vist i Figur 1. Geografiske posisjoner per område er gitt i Vedlegg 1, og detaljer knyttet til forvaltningsmodellen er tilgjengelig i Johnsen m.fl. (2021).

 

Forvaltningsområdene i norsk sone (Områdeinndelingen er gyldig fra 2024). Bokstavene a, b og c viser til forskjellige underområdene. De rosa feltene inni forvaltningsområdene viser de viktigste tobisfeltene.
Figur 1 Forvaltningsområdene i norsk sone (Områdeinndelingen er gyldig fra 2024). Bokstavene a, b og c viser til forskjellige underområdene. De rosa feltene inni forvaltningsområdene viser de viktigste tobisfeltene.

 

3 - Toktmetodikk

I nært samarbeid med tobisfiskerne er de historisk viktige tobisområdene i norsk sone definert (Figur 1). Disse områdene består i stor grad av sandbunn, med dyp fra 85 m til 120 m på Vikingbanken, og dyp fra 40 m til 95 m i de sørlige områdene. Med ny kunnskap om geografisk fordeling av tobis har noen av toktområdene (strata) blitt litt endret mellom de årlige toktene. Toktområdene som ble dekket i 2024 er tilnærmet like de som ble dekket i 2020-2024. For hvert toktområde (Figur 2) blir det brukt et survey-design som enten baserer seg på parallelle eller sikksakk-kurser (Harbitz 2019) (Figur 3) med tilfeldig startpunkt. Dette designet tillater beregning av samplingsusikkerheten. Den akustiske kartlegging av kurslinjene gjennomføres i dagslys mellom klokka ca. 06:45 og ca. 21:30 norsk tid ettersom tobisen gjemmer seg i sanden om natten. Biologisk prøvetaking skjer med bunntrål dersom man ser tobisstimer med ekkoloddet. Enkelte ganger brukes også bunntrålen uten at det er noen tobisregistreringer. Om natten, og av og til om dagen, bruker man en tobisskrape for å fange tobis som er nedgravd i sanden. Antall toktdøgn var det samme som i 2023, ca. 20% høyere enn i 2022, og er på omtrent samme nivå som tidligere år.

 

Toktområder (grå polygoner) dekket under tobistoktet 2024. Et toktområde kan dekke flere mindre tobisfelt.
Figur 2 Toktområder (grå polygoner) dekket under tobistoktet 2024. Et toktområde kan dekke flere mindre tobisfelt.

 

 

Toktområder (grå polygoner), akustiske transekt (svarte linjer) og biologiske stasjoner (T= trålstasjoner, S=skrapestasjoner) utført på tobistoktet 2024.
Figur 3 Toktområder (grå polygoner), akustiske transekt (svarte linjer) og biologiske stasjoner (T= trålstasjoner, S=skrapestasjoner) utført på tobistoktet 2024.

 

Ekkolodd av type SIMRAD EK80 med frekvensene 18, 38, 120, 200 and 333 kHz ble brukt med en pingrate på ca. 3 Hz. Disse ekkolodd-dataene blir lastet ned i programvaren Large Scale Survey System (LSSS 2.16.0, Korneliussen et al. 2016) hvor stimenes utbredelse og akustisk frekvensrespons blir undersøkt (Figur 4). Tobis har en karakteristisk frekvensrespons som brukes til å skille den fra andre arter (Johnsen at al. 2009). De stimene som blir identifisert til å være tobis får akustisk kategori «tobis» (kode 27 i LSSS). Stimer som ble identifisert som ikke-tobis får kategori «andre» (kode 1 i LSSS). I noen få tvilstilfeller får stimen kategori «mulig tobis» (kode 6009 i LSSS). Analyserte ekkolodd-data blir lagret i en database der nautiske arealspredningskoeffisienten NASC [m2/nm2] har en vertikal og horisontal oppløsning på henholdsvis 10 meter og 0,1 nautisk mil per akustiske kategori og ekkolodd frekvens.

På hver trål- og skrapestasjon gjennomføres måling av tobisfangst, individlengde, individvekt og det gjennomføres aldersavlesing av otolitter (øresteiner). Toktestimatene beregnes ved å kombinere de biologiske dataene og NASC verdiene i StoX (Johnsen et al. 2019).

Den kombinerte lengdefordelingen (d), beregnet for hver transekt (PSU, j), er gitt ved

Ligning ,

hvor dl,s,j er fisketetthet (antall individer per nautisk mil tråldistanse) per stasjon (s) og lengdegruppe (l cm), og n er det totale antallet stasjoner.

Fisketettheten (ρ, individer per nautisk mil²) per lengdegruppe og transekt beregnes ved (MacLennan et al., 2002)

Ligning 2

hvor NASCj,l (m2 nmi-2) er den gjennomsnittlige nautiske arealspredningskoeffisienten per transekt og lengdegruppe, og σbs,l (m2) er akustiske tilbakespredningskoeffisient for en fisk med lengde (l).

NASCj,l er gitt med

Ligning 3

hvor σbs,l er multiplisert med andelen (p) av fisk med lengde (l) i  , og NASCj er gjennomsnittlige nautiske arealspredningskoeffisienten for transekt (j).

Akustiske tilbakespredningskoeffisient for en fisk med lengde (l) blir beregnet ved hjelp av

Ligning

Hvor akustisk målstyrke, TS (dB re 1m2), for en fisk med lengde l er

Ligning

hvor m og a er konstanter. For 38 kHz på tobis brukes TS = 20logl – 93.

Mengden (N) av tobis per lengdegruppe l og stratum k er gitt med

Ligning ,

hvor Ak (nmi2) er stratum areal, and tetthet av tobis per l og k er gitt med

Ligning

hvor Ligning er lengden på transekt og nk er det totale antallet transekter, og Lk,j and Ligning er henholdsvis distansen for hvert transekt og gjennomsnittlig transektdistanse per stratum.

Konverteringen av antall fisk per lengdegruppe (l) til antall per aldersgruppe beregnes ved å bruke aldersfordelingen fra aldersleste individer innen lengdegruppen (l). Ved å kombinere de biologiske og akustiske dataene kan man følge utviklingen av årsklassene mellom år. Man kan også beregne årsklassestyrken til rekruttene (ettåringer). Tilsvarende får man ut estimat på individvekt og individlengde per aldersgruppe.

Alle toktestimatene i denne rapporten er basert på 1000 bootstrap-kjøringer i StoX.

Evalueringer viser at kvaliteten på toktestimatene er god, og at toktresultatene avdekker reelle endringer i mengde og geografisk fordeling av tobis. Det er også en fordel at man har fått utviklet akustisk metodikk som identifiserer og skiller tobisstimer fra andre fiskestimer (Johnsen et al. 2009). Bestandskartlegging og analyser blir gjort per toktområde (stratum), og for å redusere usikkerheten i toktestimatet blir områder med høy varians dekket to ganger med noen dagers mellomrom med nye kurslinjer.

 

Ekkogram med tobisstimer på toktområdet Vestbanken North observert 7. mai.
Figur 4 Ekkogram med tobisstimer på toktområdet Vestbanken North observert 7. mai.

 

4 - Resultat

4.1 - Sørlige område: Forvaltningsområdene 1-4

Den totale biomassen av tobis i 2024 ble estimert til 31 000 tonn (5%-95% konfidensintervall er 20 000 – 45 000 tonn). Biomassen er sterkt redusert fra toppåret 2020 med betydelig årlig nedgang i biomasse (Figur 5, Tabell 1). Presisjonen av biomasseestimatet er blant de dårligste i tidsserien med en relativ standardfeil på 25% (Tabell 1). Tidligere år har denne variert mellom 10% og 25%.

 

Tobis (Ammodytes marinus) i norsk økonomisk sone (forvaltningsområde 1-4).  Estimert biomasse med konfidensintervall (5-95%) for alle toktområdene i forvaltningsområdene 1-4 i NØS (unntatt Nordgyden) per år.
Figur 5 Tobis (Ammodytes marinus) i norsk økonomisk sone (forvaltningsområde 1-4). Estimert biomasse med konfidensintervall (5-95%) for alle toktområdene i forvaltningsområdene 1-4 i NØS (unntatt Nordgyden) per år.

 

År Biomasse 5% Biomasse gjennomsnitt Biomasse 95% RSE
2009 138 706 225 460 316 510 0,24
2010 239 645 353 115 485 511 0,21
2011 102 188 146 119 198 268 0,20
2012 73 275 104 916 139 178 0,19
2013 17 317 30 251 44 969 0,28
2014 274 610 404 807 536 469 0,20
2015 137 311 170 161 204 197 0,12
2016 80 016 117 780 159 490 0,20
2017 278 679 363 980 449 827 0,14
2018 121 654 141 939 162 970 0,09
2019 265 930 327 518 392 703 0,12
2020 478 096 653 184 863 507 0,18
2021 293 489 372 707 462 884 0,14
2022 181 866 275 160 388 847 0,23
2023 80 435 105 480 136 609 0,16
2024 20 169 31 133 45 293 0,25
Tabell 1 Tobis (Ammodytes marinus) i norsk økonomisk sone (forvaltningsområde 1-4). Estimert biomasse (i tonn) for alle toktområdene i forvaltningsområdene 1-4 i NØS (unntatt Nordgyden) (alder 1+): 5-persentilen, gjennomsnitt og 95-persentilen med relativ standardfeil (RSE).

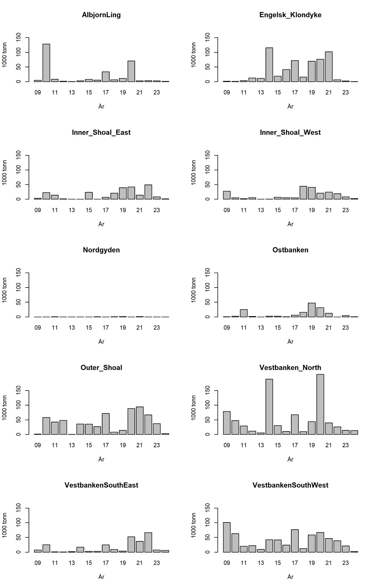
Biomassen på Vestbanken_North er omtrent lik som i 2023, men i alle andre områder er den vesentlig redusert siden 2023 (Figur 6). Med unntak av et par større tobisstimer (f.eks. Figur 4) ble det kun registrert svært små tobisstimer. Den store nedgangen i mengde tobis medfører også at utbredelsen er kraftig redusert mye de siste fem årene (Figur 7).

Rekrutteringen av 2023-årsklassen er blant de laveste i tidsserien (Figur 8, Tabell 2), og antall ettåringer av denne årsklassen er bare 10% av gjennomsnittet i tidsserien. Rekrutteringen har vært lav for de tre siste årsklassene (Figur 8, Tabell 2), og er hovedårsaken til den nedgangen i mengde og biomasse for tobis. Antall individer fordelt per lengde og alder per tokt er vist i Figur 9. Lengde per aldersgruppe kan ha en stor spredning, og ett år gammel fisk er fordelt fra 7 cm til 13 cm i 2024 (Figur 9). Aldersstrukturen viser at det fremdeles er eldre fisk i bestanden der den relative fordelingen mellom 1-7-åringer er henholdsvis 43%, 13%, 8%, 13%, 15%, 5% og 2%. Biomassen av ettåringene utgjør 16 % av den totale biomassen.

På tross av en relativ lav fiskedødelighet har totaldødeligheten økt de siste årene, og i kombinasjon med lav rekruttering så er dette årsaken til en stor nedgang i mengden av tobis. I tillegg så er gjennomsnittlig individvekt per aldersgruppe lavere i siste del av tidsserien sammenlignet med årene frem til 2018 (Figur 10, Tabell 3). Individvekten per aldersgruppe i 2024 mellom 17% og 37% lavere enn langtidsgjennomsnittet for perioden 2009-2023, men individvekten i 2024 skiller seg ikke ut fra de foregående årene og det var mye dyreplankton i magene.

 

Tobis (Ammodytes marinus) i norsk økonomisk sone. Biomasseestimat per toktområde i perioden 2009-2024.
Figur 6 Tobis (Ammodytes marinus) i norsk økonomisk sone. Biomasseestimat per toktområde i perioden 2009-2024.

 

 

Geografisk utbredelse av ekkotetthet av tobis (Ammodytes marinus) per 0,1 n.mi. for perioden 2020-2024. Størrelsen og fargen på sirklene indikerer ekkotettheten (NASC). Nullverdien er angitt som blå prikker.
Figur 7 Geografisk utbredelse av ekkotetthet av tobis (Ammodytes marinus) per 0,1 n.mi. for perioden 2020-2024. Størrelsen og fargen på sirklene indikerer ekkotettheten (NASC). Nullverdien er angitt som blå prikker.

 

 

Estimert antall ettåringer tobis (Ammodytes marinus) med konfidensintervall (5-95%) per år for alle toktområdene kombinert i forvaltningsområdene 1-4 i NØS (unntatt Nordgyden).
Figur 8 Estimert antall ettåringer tobis (Ammodytes marinus) med konfidensintervall (5-95%) per år for alle toktområdene kombinert i forvaltningsområdene 1-4 i NØS (unntatt Nordgyden).

 

År/Alder 1 2 3 4 5 6 7
2009 8436 4657 1135 68 13 15 1
2010 16232 6460 1530 810 73 32 33
2011 968 8763 911 217 40 35 33
2012 168 329 3690 386 113 42 13
2013 2405 752 102 571 70 12 0
2014 21958 1892 189 95 2436 297 44
2015 9573 2459 1404 80 106 650 119
2016 75 6011 604 281 26 92 513
2017 35277 123 3617 646 28 45 40
2018 1668 17522 86 330 79 9 0
2019 11351 1124 15506 790 197 40 0
2020 41480 10161 629 9727 248 272 5
2021 15138 12859 2794 464 3738 52 35
2022 4828 5035 5602 976 147 1020 0
2023 2138 1367 1395 1949 878 119 695
2024 1139 359 204 349 405 141 65
Tabell 2 Estimert antall individer (i millioner) tobis ( Ammodytes marius ) per alder per år. (Kombinert for alle toktområdene i forvaltnings-områdene 1-4 i NØS unntatt Nordgyden).

 

Estimert antall individer av tobis (Ammodytes marinus) per lengdegruppe, alder og år. (Kombinert for alle toktområdene i forvaltningsområdene 1-4 i NØS (unntatt Nordgyden).
Figur 9 Estimert antall individer av tobis ( Ammodytes marinus ) per lengdegruppe, alder og år. (Kombinert for alle toktområdene i forvaltningsområdene 1-4 i NØS (unntatt Nordgyden).

 

 

Individvekt (g) for tobis (Ammodytes marinus) per alder per år for forvaltnings-områdene 1-4 i NØS (unntatt Nordgyden).
Figur 10 Individvekt (g) for tobis ( Ammodytes marinus ) per alder per år for forvaltnings-områdene 1-4 i NØS (unntatt Nordgyden).

 

År/Alder 1 2 3 4 5 6
2009 12.6 17.4 30.6 38.8 41.8 42.9
2010 9.1 20.4 24.9 34.3 38.9 32.4
2011 5.1 13.3 21.6 24.3 38.9 36.7
2012 5.5 12.4 22.7 29.7 31.7 34.5
2013 5.5 7.6 16.2 22.3 27.7 26.7
2014 10.8 22.2 29.4 35.2 40.8 44.1
2015 8.5 17.4 30.6 37.8 32.0 35.6
2016 4.9 14.6 22.4 27.8 29.6 37.9
2017 7.3 14.8 19.5 24.8 21.4 28.7
2018 3.3 7.3 10.5 16.7 21.4 33.7
2019 6.6 8.5 14.8 13.8 22.5 23.2
2020 6.7 14.6 15.5 21.0 25.0 28.1
2021 5.1 11.5 17.7 17.7 23.3 22.5
2022 7.7 13.3 20.2 23.6 22.7 28.7
2023 4.3 9.6 14.6 15.0 20.4 19.6
2024 4.3 11.3 14.0 17.1 19.0 22.9
Tabell 3 . Individvekt (g) for tobis ( Ammodytes marinus ) per alder per år for forvaltnings-områdene 1-4 i NØS (unntatt Nordgyden),

4.2 - Vikingbanken: Forvaltningsområde 5

Mengden tobis på Vikingbanken er meget liten, biomassen ble estimert til kun 550 tonn, som er en liten oppgang sammenlignet med de to foregående årene, men usikkerheten er stor (RSE=0,47) (Figur 11, Tabell 4).

 

Estimert biomasse av tobis (alder 1+) med konfidensintervall (5-95%) forvaltningsområdene 5 (Vikingbanken) per år
Figur 11 Estimert biomasse av tobis (alder 1+) med konfidensintervall (5-95%) forvaltningsområdene 5 (Vikingbanken) per år

 

År Biomasse 5% Biomasse gjennomsnitt Biomasse 95% RSE
2009 42 255 502 0,57
2010 137 5 724 16 824 0,92
2011 1 442 3 280 5 436 0,38
2012 141 739 1 567 0,60
2013 2 415 3 910 5 613 0,24
2014 615 1 283 2 204 0,40
2015 2 163 12 751 25 795 0,57
2016 220 667 1 372 0,53
2017 222 465 748 0,34
2018 427 938 1 509 0,35
2019 2 113 3 903 6 023 0,31
2020 1 489 3 221 5 274 0,37
2021 37 121 227 0,48
2022 0 71 210 0,97
2023 33 64 100 0,32
2024 147 548 990 0,47
Tabell 4 Estimert biomasse av tobis i tonn (alder 1+) i forvaltningsområde 5 (Vikingbanken) 5-persentilen, gjennomsnitt og 95-persentilen og relativ standard feil (RSE).

5 - Takk

Tusen takk til mannskapet på FF «Johan Hjort» for et godt utført arbeid. Tusen takk også til våre dyktige og engasjerte prøvetakere og instrumentpersonell.

Teksten i rapporten er kvalitetssikret, og i noe grad korrigert ved hjelp av GPT UiO.

6 - Referanser

Harbitz, A. 2019. A zigzag survey design for continuous transect sampling with guaranteed equal coverage probability, Fisheries Research 213:151-159. https://doi.org/10.1016/j.fishres.2019.01.015

Johnsen, E., Pedersen, R., & Ona, E. 2009. Size-dependent frequency response of sandeel schools, ICES Journal of Marine Science, 66(6), 1100-1105. https://doi.org/10.1093/icesjms/fsp091

Johnsen, E., Totland, A., Skålevik, Å., Holmin, A. J., Dingsør, G. E., Fuglebakk, E., and Handegard, N. O. 2019, StoX: An open source software for marine survey analyses, Methods in Ecology and Evolution, 10(9), 1523-1528. https://doi.org/10.1111/2041-210X.13250

Johnsen, E., Sørhus, E., de Jong, K., Lie, K.K., and Grøsvik, B 2021. Kunnskapsstatus for havsil i norsk sone av Nordsjøen. Rapport fra havforskningen 2021-33. ISSN:1893-4536. 

Korneliussen, R, J., Heggelund, Y., Macaulay, G. J., Patel, D., Johnsen, E., and Eliassen, I. K., 2016., Acoustic identification of marine species using a feature library, Methods in Oceanography, 17, 187-205, https://doi.org/10.1016/j.mio.2016.09.002

MacLennan, D. N., Fernandes, P. G., and Dalen, J. 2002. A consistent approach to definitions and symbols in fisheries acoustics. ICES Journal of Marine Science, 59: 365–369. https://doi.org/10.1006/jmsc.2001.1158

7 - Vedlegg

Forvaltningsområdene som gjelder fra 2024

7.1 - Forvaltningsområde 1

7.1.1 - Underområde 1a. Inner Shoal sør.

Området sør for N56°40’, vest for Ø004°36’ og ellers avgrenset av norsk sektorlinje i sør og vest.

7.1.2 - Underområde 1c. Inner Shoal midt.

Vil alltid være åpnet dersom det tillates fiskeri i område 1.

Området nord for N56°40’ og sør for N56°44’, vest for Ø004°36’ og ellers avgrenset av norsk sektorlinje i sør og vest.

7.1.3 - Underområde 1b. Inner Shoal nord.

Området mellom N56°40’ og N57°04’, vest for Ø004°36’ til norsk sektorlinje i vest.

7.2 - Forvaltningsområde 2

7.2.1 - Underområde 2a. Outer Shoal sør, Snurreplassen, Triangel.

Nordlige grense er N57°11’. Vest for Ø004°36’ er sydlige grense N57°04’, og øst for Ø004°36’ er sydlige grense den norske sektorlinjen. Den østlige grensen er Ø005°18’, og den norske sektorlinje er den vestlige grensen mellom N57°04’ og N57°11’. Sør for N57°04’ er den vestlige grensen Ø004°36’.

7.2.2 - Underområde 2c. Outer Shoal midt, Snuplassen.

Vil alltid være åpent dersom det tillates fiskeri i område 2.

Området nord for N57˚11’ og sør for N57˚16’, og mellom Ø005˚18’ og norsk sektorlinje i vest.

7.2.3 - Underområde 2b. Outer Shoal nord, Karusellen, Hardangerviden

Området nord for N57˚16’ og sør for N57˚27’, og mellom Ø005˚18’og norsk sektorlinje i vest.

7.3 - Forvaltningsområde 3

7.3.1 - Underområde 3a. Vestbanken vest, Korridoren, Diana.

Området mellom følgende koordinater;

1.       N56˚40’ (Ved sektorlinja); Ø005˚18’

2.       N57˚41’ ; Ø005˚18’

3.       N57˚41’; Ø005˚59’42’’

N56˚40’ (Ved sektorlinja); Ø005˚18’

7.3.2 - Underområde 3c. Vestbanken sentral, Falittene.

Vil alltid være åpnet dersom det tillates fiskeri i område 3.

Området mellom følgende koordinater;

1.       N56˚40’ (Ved sektorlinja); Ø005˚18’

2.       N57˚41’ ; Ø005˚59’42’’

3.       N57˚41’ ; Ø006˚23`2’’

4.       N56˚50,5’ (Mot sektorlinje) ; Ø005˚50’

7.3.3 - Underområde 3b; Vestbanken øst.

Området mellom følgende koordinater;

  1. N56˚50,5’ (Mot sektorlinje); Ø005˚50’

  2. N57˚41’; Ø006˚23’2’’

  3. N57˚41’; Ø008˚00’

  4. N57°30’11’’; Ø008°00’ (Ved sektorlinja)

7.4 - Forvaltningsområde 4

7.4.1 - Underområde 4a. Albjørn og Engelsk Klondyke Sør.

Området mellom norsk sektorlinje i vest og Ø005˚18 ’ i øst og mellom N57˚27 ’ og N57˚41 ’ eksklusiv området mellom N57˚38 ’ og N57˚41 ’ , og Ø003˚25 ’ og Ø003˚56 ’ .

7.4.2 - Underområde 4b. Lingbanken, Kadaveret, Minefeltet, Østbanken og Engelsk Klondyke Nord.

Området mellom N57°41’ og N58°15’, og den norsk sektorlinje i vest og Ø005°18’ i øst inklusiv området mellom N57˚38` og N57˚41 ’ , og Ø003˚25 ’ og Ø003˚56 ’ .

7.5 - Forvaltningsområde 5

7.5.1 - Underområde 5a. Vikingbanken sør.

Området mellom N60°00 og N60°20’, og mellom norsk sektorlinje i vest og Ø003°10’.

7.5.2 - Underområde 5b. Vikingbanken nord.

Området mellom N60°25’ og N60°40’, og mellom norsk sektorlinje i vest og Ø003°10’.

7.5.3 - Underområde 5c. Vikingbanken sentralt.

Vil alltid være åpnet dersom det tillates fiskeri i område 5.