Gå til hovedinnhold

Foreløpig råd for tobisfiske i norsk økonomisk sone i 2026

Forfatter(e): Espen Johnsen og Cecilie Kvamme (HI)

Sammendrag

Havforskningsinstituttet tilrår i sitt foreløpige råd nullfangst av tobis i 2026 i norsk økonomisk sone grunnet kritisk lav biomasse av tobis i alle forvaltningsområder.

1 - Havforskningsinstituttets råd på fiskeri

Havforskningsinstituttet tilrår i sitt foreløpige råd nullfangst av tobis i 2026 i norsk økonomisk sone grunnet kritisk lav biomasse av tobis i alle forvaltningsområder.

Resultatene fra HI sitt akustiske tokt i april-mai 2026 vil gi grunnlag for et oppdatert råd på tobis som vil foreligge senest 15. mai 2026.

2 - Bestandsutvikling over tid

 

Tobis (Ammodytes marinus) i norsk økonomisk sone. Oppsummering av bestandsvurderingen. Fangst, høstingsrate og biomasse (alder 1+) estimert fra akustikktoktet i april-mai for forvaltningsområdene 1-4 kombinert, og biomasse (alder 1+) per forvaltningsområde (1-5). Grått felt indikerer kritisk lav biomasse fra 0 til 25 000 tonn. Høstingsraten er definert som fangst i tonn dividert på estimert kombinert biomasse i forvaltningsområdene 1-4 (alder 1+).
Figur 1 . Tobis (Ammodytes marinus) i norsk økonomisk sone. Oppsummering av bestandsvurderingen. Fangst, høstingsrate og biomasse (alder 1+) estimert fra akustikktoktet i april-mai for forvaltningsområdene 1-4 kombinert, og biomasse (alder 1+) per forvaltningsområde (1-5). Grått felt indikerer kritisk lav biomasse fra 0 til 25 000 tonn. Høstingsraten er definert som fangst i tonn dividert på estimert kombinert biomasse i forvaltningsområdene 1-4 (alder 1+).

 

3 - Bestand og beskatning – status

Bestanden er på et historisk lavt nivå, og har avtatt kontinuerlig fra toppnivået i 2020 selv med svært lave fangster de siste tre årene. Skrapetoktet høsten 2025 tyder på at 2025-årsklassen er svak.

4 - Fangstscenarier

  Verdi Kommentar
Predikert biomasse alder 2+ i april 2026 5 415 tonn Basert på akustisk tokt i april-mai 2025, null-fangst etter toktet og en antatt naturlig dødelighet på m=0.7. Vekt per lengdegruppe er antatt å være den samme i 2026 som i 2025.
Predikert biomasse alder 1 i april 2026 2 079 tonn 10-persentilen av biomasse ved alder 1 fra den akustiske tidsserien*.
Tabell 1 . Tobis (Ammodytes marinus) i norsk økonomisk sone (forvaltningsområde 1-4). Grunnlag for fangstscenariene.

* Lav indeks av alder 0 i skrapetoktet i 2025 tilsier dårlig rekruttering av alder 1 i 2026.

Basis Fangst 2026 Høstingsrate 2026 Bestand alder 2+ 2027 Endring i bestand 2+ *
Forvaltningsplan 0 tonn 0 5 779 tonn 7 %
Andre scenarier        
Bruk av formel i høstingsregel 2 000 tonn 0,27 4 237 tonn -22 %
Tabell 2 . Tobis (Ammodytes marinus) i norsk økonomisk sone (forvaltningsområde 1-4). Fangstscenarier.

* Biomasse alder 2+ i 2027 relativt til 2026

5 - Grunnlag for råd

Grunnlag for råd Forvaltningsplan
Forvaltningsplan

Høstingsregel for foreløpig kvote:

Høstingsregel

Der   Ligning   er biomasse predikert for alder 2 år og eldre tobis, og Ligning er biomasse predikert for 10-persentilen alder 1 fra akustisk tokt tidsserien, og hr er høstingsraten (0,4). Forsiktighetsbufferen er satt til (1+prediksjonsfeilen) dvs. (1+0,93). Høstingsregel for endelig kvote: 0,4*(Observert 40-persentilen biomasse av 1 år og eldre tobis fra det akustiske toktet i mai)

Tabell 3 . Tobis (Ammodytes marinus) i norsk økonomisk sone (forvaltningsområde 1-4). Grunnlag for rådet.

6 - Kvalitet på bestandsvurderingen

Biomassen av 2 år og eldre tobis, både predikert og observert, er vist i Figur 2. Figur 3 viser at rekrutteringsindeksene per kohort fra akustikk- og skrapetoktet samvarierer, men de to siste årene har prediksjonen vært høyere enn observert biomasse. En mulig forklaring på dette avviket er at mengden hyse og hvitting på tobisområdene har økt vesentlig de siste årene, og at predasjonsdødeligheten derfor er høyere enn før. Prediksjonsusikkerhet blir inkludert som en prediksjonsfeil i høstingsregelen for foreløpig kvote. Feilen estimeres som forholdet mellom observert og predikert biomasse av alder 2+ for de årene der prediksjonen er høyere enn observert. For årets estimat ble gjennomsnittlig avvik (0,93) for 2011, 2013, 2018, 2021, 2023-2025 brukt.

Hovedhensikten med skrapetoktet er å gi et tidlig varsel ved god rekruttering slik at tobisfisket ikke blir begrenset av et for lavt foreløpig råd, men det er ikke en signifikant korrelasjon mellom mengdeindeks av nullåringer fra skrapetoktet i november-desember og det akustiske mengdeestimatet av ettåringer i april-mai påfølgende år (Figur 4). Rekrutteringsindeksen fra skrapetoktet har derfor lav prediksjonskraft, og selv et forsiktig anslag der man bruker 5-persentilen i skrapetoktindeksen til å predikere antall ettåringer året etter har i år med lav rekruttering vist seg å være for høyt. For å hensyn til dette er 10-persentilen av tidsserien for alder 1 i akustikktoktet brukt, noe som gir en mer konservativ prediksjon på rekruttering.

Det akustiske toktet i 2025 viste at observert totalbiomasse av tobis var historisk lav for tokttidsserien (Johnsen og Pena, 2026), og at hovedvekten av biomassen var i forvaltningsområde 3 (Figur 1). Med utgangspunkt i forventet svak rekruttering og en kritisk lav biomasse i alle forvaltningsområder, anbefaler HI at alle områder holdes stengt inntil nytt oppdatert råd foreligger 15. mai 2026.

 

Tobis (Ammodytes marinus) i norsk økonomisk sone (forvaltningsområde 1-4). Predikert og observert biomasse av 2 år og eldre tobis.
Figur 2 . Tobis (Ammodytes marinus) i norsk økonomisk sone (forvaltningsområde 1-4). Predikert og observert biomasse av 2 år og eldre tobis.

 

 

Tobis (Ammodytes marinus) i norsk økonomisk sone (forvaltningsområde 1-4). Normaliserte tidsserier av mengdeindeks av nullåringer fra skrapetoktet i november-desember (Skrape_alder0) versus akustisk mengdeestimat av ettåringer i april-mai året etter (Akustikk_alder1) per årsklasse (kohort). Legg merke til at x-aksen viser kohort.
Figur 3 . Tobis (Ammodytes marinus) i norsk økonomisk sone (forvaltningsområde 1-4). Normaliserte tidsserier av mengdeindeks av nullåringer fra skrapetoktet i november-desember (Skrape_alder0) versus akustisk mengdeestimat av ettåringer i april-mai året etter (Akustikk_alder1) per årsklasse (kohort). Legg merke til at x-aksen viser kohort.

 

 

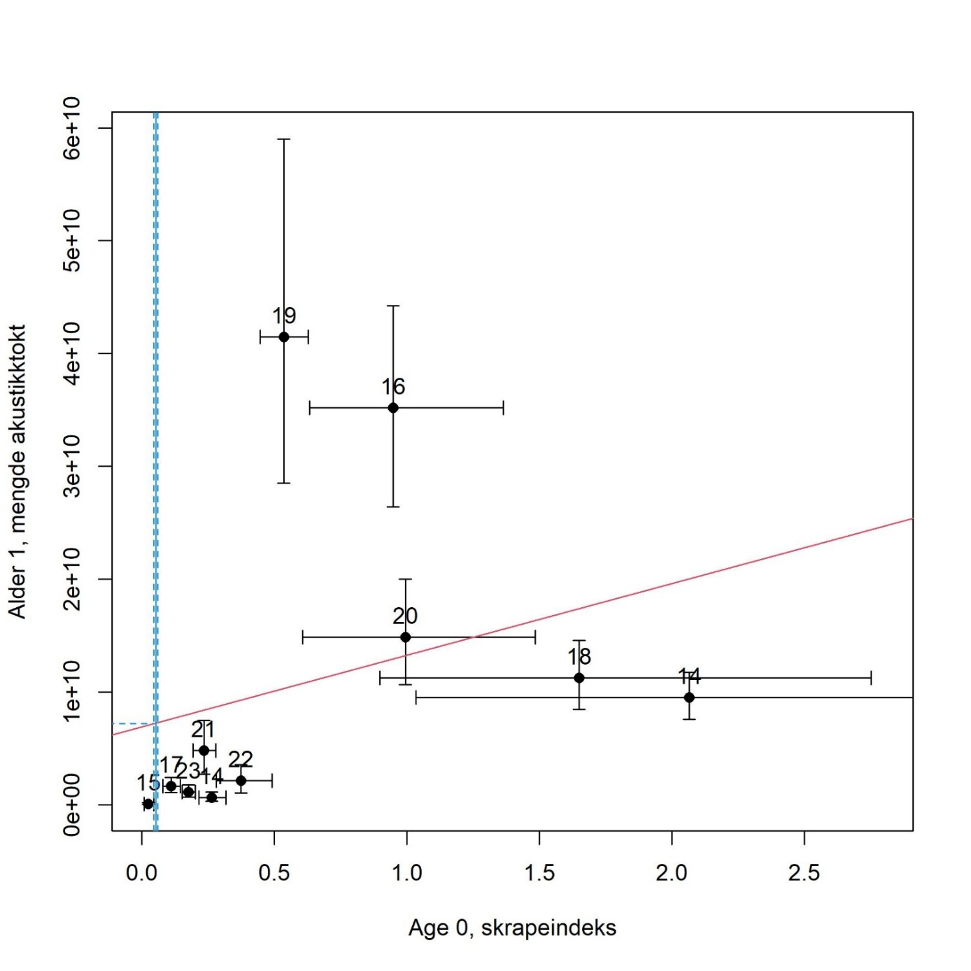
Tobis (Ammodytes marinus) i norsk økonomisk sone (forvaltningsområde 1-4). Mengdeindeks av nullåringer fra skrapetoktet i november-desember (Age 0, skrapeindeks) versus akustisk mengdeestimat av ettåringer april-mai året etter med 5-95% konfidensintervall (feillinjer rundt punktene) for årsklassene 2014-2024 (14-24 i figuren). Blå linje viser median rekrutteringsindeks fra skrapetoktet 2025, og stiplede blå linjer de tilhørende 5- og 95-persentilene. Den røde linjen er en lineær regresjon basert på punktestimatene, altså en modell for å forutsi antall ettåringer i det akustiske toktet basert på skrapetoktet året før.
Figur 4 . Tobis (Ammodytes marinus) i norsk økonomisk sone (forvaltningsområde 1-4). Mengdeindeks av nullåringer fra skrapetoktet i november-desember (Age 0, skrapeindeks) versus akustisk mengdeestimat av ettåringer april-mai året etter med 5-95% konfidensintervall (feillinjer rundt punktene) for årsklassene 2014-2024 (14-24 i figuren). Blå linje viser median rekrutteringsindeks fra skrapetoktet 2025, og stiplede blå linjer de tilhørende 5- og 95-persentilene. Den røde linjen er en lineær regresjon basert på punktestimatene, altså en modell for å forutsi antall ettåringer i det akustiske toktet basert på skrapetoktet året før.

 

7 - Problemstillinger relevante for rådet

I 2011 innførte Norge en områdebasert forvaltningsplan for tobis i norsk økonomisk sone av Nordsjøen (NØSNS). Hovedmålet med planen er å bygge opp tilstrekkelig gytebiomasse (alder 2+) av tobis på alle historisk viktige tobisfelt i NØSNS for å sikre et langsiktig bærekraftig tobisfiske. En slik forvaltning vil øke rekrutteringspotensialet for denne nøkkelarten i økosystemet, og dermed både gi økt mattilgang for arter i Nordsjøen som beiter på tobislarver og eldre tobis samt danne grunnlag for et bærekraftig fiske. Forvaltningsmodellen ble evaluert av Fiskeridirektoratet, HI og fiskerinæringen i 2014, 2016, 2020 og 2024. Gjeldende forvaltningsområder (1-5) med underområder (a-c) er vist i Figur 5.

Når beregningene tilsier at biomassen er for lav til å sikre full reproduksjonskapasitet for tobisbestanden innen et forvaltningsområde (1-5), vil det være stengt for tobisfiske. Det er foreløpig ikke definert et grensenivå, men HI vurderer at dersom biomassen av alder 1+ er lavere enn 25 000 tonn i et forvaltningsområde bør området stenges for fiske.

I forvaltningsområde 5 (Vikingbanken) har dette vært situasjonen siden 2010. I henhold til forvaltningsmodellen skal HI forut for fiskerisesongen gi et foreløpig råd om totalkvote og hvilke områder som kan åpnes. I april-mai 2026 gjennomfører HI et akustisk tokt for å måle tobisbestanden, med et særlig fokus på rekrutteringen (1-åringer). Basert på dette toktet skal HI gi et oppdatert råd om åpning eller stenging av områder samt en eventuell kvoteøkning.

Det bør vurderes om høstingsregelen skal modifiseres ved lave bestandsnivå, slik at høstingsraten da reduseres. Dette gjelder både regelen for foreløpig og endelig kvoteråd.

 

Forvaltningsområdene av tobis i norsk sone (områdeinndeling gyldig fra 2024). Bokstavene a, b og c viser til de forskjellige underområdene. De irregulære oransje feltene viser de viktigste tobisfeltene.
Figur 5 . Forvaltningsområdene av tobis i norsk sone (områdeinndeling gyldig fra 2024. Se Johnsen og Pena (2026) for detaljer). Bokstavene a, b og c viser til de forskjellige underområdene. De irregulære oransje feltene viser de viktigste tobisfeltene.

 

8 - Referansepunkt

Det er ikke definert referansepunkt for tobis i disse forvaltningsområdene.

9 - Grunnlag for bestandsvurderingen

Det akustiske toktet i april-mai gir et absolutt mål på bestandsstørrelsen, og kvaliteten på dette toktet vurderes som god. Toktet gir en god oversikt over geografisk fordeling, aldersstruktur, mengde, biomasse og individstørrelse for tobis, og de forskjellige kohortene (årsklassene) måles treffsikkert gjennom livsløpet. Aldersstrukturen og fangstratene i de kommersielle fangstene sammenfaller godt med toktestimatene. Oppsummert gir det akustiske toktet et faglig godt grunnlag for bestandsvurderingen i sesongen i etterkant av toktet.

Forut for sesongen er det derimot mer utfordrende å gi et treffsikkert anslag på bestandsstørrelsen. Dette skyldes at skrapetoktindeksen har lav prediksjonskraft, og at den individuelle veksten kan variere sterkt mellom år. For det foreløpige rådet er det viktig å ikke gi et for optimistisk anslag, samtidig som det foreløpige kvoterådet ved sterk rekruttering ikke er så lavt at det blir til hinder for at flåten kan klare å ta avtalt kvote.

Modellen som brukes for årets kvoteråd vurderes til å balansere disse to hensynene godt høstingsregelen i det foreløpige kvoterådet (Tabell 3). Den predikerte biomassen av 2 år og eldre tobis i 2026 er 5 415 tonn, og den predikerte biomassen av alder 1 i 2026 er 2 079 tonn (Tabell 2). Ligningen over gir et foreløpig kvoteråd på 2 000 tonn (avrundet til nærmeste 1000 tonn).

Siden den predikerte totalbiomassen er langt under den kritiske biomassen for hvert forvaltningsområde, overstyrer dette bruk av formelen og det foreløpige rådet blir null fiske.

Vurderingsmetode Toktestimat
Input data Akustiske toktindekser (alder 1+) og 0-gruppe indekser fra skrapetokt (forvaltningsområde 1-4), fangststatistikk
Utkast og bifangst Utkast vurderes som neglisjerbart. Stor bifangst av hyse og hvitting har vært en utfordring de siste fire årene med fangst, noe som skyldes svært store mengder av disse to bestandene i Nordsjøen
Indikatorer Ingen
Annen informasjon Havforskningsinstituttet har gitt råd for fisket av tobis i norsk sone fra og med 2010
Bestandsansvarlig forsker Espen Johnsen (espen.johnsen@hi.no)
Tabell 4 . Tobis (Ammodytes marinus) i norsk økonomisk sone (forvaltningsområde 1-5). Grunnlag for bestandsvurderingen og kvoterådet.

10 - Historie – råd, fangst og forvaltning

År Foreløpig råd Endelig råd i mai Fangst
  Kvoteråd Åpne underområder Kvoteråd Åpne underområder  
2010 20 000 1b, 2b, 3b 50 000 1b, 2b, 3b 50 471
2011 60 000 1a, 2a, 3a 90 000 1a, 2a, 3a 88 424
2012 40 000 1b, 2b, 3b 40 000 1b, 2b, 3b 40 889
2013 20 000 3a 20 000 3a 9 052
2014 15 000 3b, 3c 90 000 2a, 3b, 3c, 4b 82 499
2015 100 000 2b, 3b, 3a 100 000 1b, 2b, 3a, 3b, 4a 100 858
2016 40 000 1b, 2a, 3a, 3b 40 000 1b, 2a, 3a, 3b, 4a 40 836
2017 50 000 1b, 1c, 2b, 2c, 3c, 3b, 4a 120 000 1b, 1c, 2b, 2c, 3c, 3b, 4a 119 975
2018 70 000 1b, 1c, 2a, 2c, 3a, 3b, 4b 70 000 1b, 1c, 2a, 2c, 3a, 3b, 4b 69 531
2019 55 000 1b, 1c, 2b, 2c, 3b, 3c, 4a 125 000 1b, 1c, 2b, 2c, 3b, 3c, 4a 123 958
2020 70 000 1a, 1c, 2b, 2c, 3b, 3c, 4a 250 000 1a, 1c, 2b, 2c, 3b, 3c, 4a 234 754
2021 110 000 1b, 1c, 2a, 2c, 3a, 3c, 4b 145 000 1b, 1c, 2a, 2c, 3a, 3c, 4b 146 442
2022 60 000 1a,1c, 2b, 2c, 3b, 3c, 4a 95 000 1a,1c, 2b, 2c, 3b, 3c 81 676
2023 60 000 1b, 1c, 2a, 2c, 3a, 3c  60 000 1b, 1c, 2a, 2c, 3a, 3c 15 948
2024 19 000 1a,1c, 2b, 2c, 3b, 3c 19 000 3b, 3c 3 938
2025 0 - 0 - 0
2026 0 -      
Tabell 5 . Tobis i norsk økonomisk sone. Kvoteråd og fangster 2010-2026. Alle kvoter og fangster i tonn.

11 - Historiske fangster og landinger

Fangst (2025) Landinger Utkast
0 100% trål Utkast neglisjerbart
0
Tabell 6 . Tobis i norsk økonomisk sone (forvaltningsområde 1-4). Fangstfordeling per flåte i 2025. Alle vekter er gitt i tonn.

12 - Sammendrag av bestandsvurderingen

År Biomasse RSE Fangst Høstingsrate
2009 225 460 0,24 0 0
2010 353 115 0,21 50 471 0,14
2011 146 119 0,20 88 424 0,61
2012 104 916 0,19 40 889 0,39
2013 30 251 0,28 9 052 0,30
2014 404 807 0,20 82 499 0,20
2015 170 161 0,12 100 858 0,59
2016 117 780 0,20 40 836 0,35
2017 363 980 0,14 119 975 0,33
2018 141 939 0,09 69 531 0,49
2019 327 518 0,12 123 958 0,38
2020 653 184 0,18 234 754 0,36
2021 372 707 0,14 146 442 0,39
2022 275 160 0,23 81 676 0,30
2023 105 480 0,16 15 948 0,15
2024 31 133 0,25 3 938 0,13
2025 9 270 0,41 0 0
Tabell 7 . Tobis i norsk økonomisk sone (forvaltningsområde 1-4). Estimert biomasse (alder 1+, tonn) fra det akustiske toktet med relativ standard feil (RSE). Fangst i tonn og høstingsrate per år.

I forvaltningsområde 5 (Vikingbanken) er biomassen av tobis vurdert til å være kritisk lav (Figur 1). Grunnet for lite tokttid ble ikke Vikingbanken prioritert i 2025, men under toktet i 2024 ble biomassen estimert til 548 tonn. Dette er en økning fra 2021-2023, men likevel blant de laveste estimatene i tidsserien 2009-2024.

13 - Referanser

Johnsen, E. og Pena, H. 2026. Fordeling og mengde av tobis i norsk sone av Nordsjøen i april-mai 2025. Toktrapport fra Havforskningsinstituttet 2026-6. ISSN: 1503-6294.