Management advice for Norwegian wrasse fisheries 2021
On request from the Directorate of Fisheries, the Institute of Marine Research (IMR) have reviewed the state of knowledge for wrasses and provides advice for management regulations of the wrasse fisheries for 2021:
IMR supports the Directorates suggestion of reducing entrance size in wrasse traps (circular, 60 mm diameter), which appears to be effective in reducing the catch of ballan wrasse and cod, while probably also reducing bycatch of brown crab and lobsters.
To reduce bycatch of wrasse below the minimum size limit, it is adviced that the short end of traps are fitted with a selection grid with several openings (min 12 mm wide), allowing smaller fish to escape when the trap is hauled.
IMR advice no changes in the National quota of 18 million wrasse for 2021; and no changes in the same geographical distribution between the southern, western and Northern management region. This is based on trends from fishery-dependent data, that show only small changes in catch-per-unit-effort from 2019 to 2020 on broader geographical scales. However, the mean length of goldsinny and corkwing was lower in 2020 in the Northern region.
Fishing for ballan wrasse for brood stock should be limited to the period from 15. April to 30. May.
Sammendrag
Fiskeridirektoratet har i en bestilling datert 07.09.2020 bedt Havforskningsinstituttet (HI) om kunnskapsstøtte for regulering av totaluttak, fartøykvoter, artsbegrensninger i fisket etter leppefisk. Det bes også om ny kunnskap om effekten av mindre innganger i teiner. Fiskeridirektoratet ønsker også kunnskap om hvordan fiske etter stamfisk av berggylte kan gjennomførers på en bærekraftig måte, kunnskap om oppdretternes behov for stamfisk, og kunnskapsstøtte knyttet til fangsten av stamfisk med hensyn på fangsttid, antall, redskaptype, røkting og bifangst
Havforskningsinstituttets råd og kunnskapsstøtte for 2021-sesongen:
Havforskningsinstituttet tilrår at det innføres redusert inngangsstørrelse i teiner som planlagt for 2021-sesongen, da dette gir en betydelig reduksjon i fangst av berggylte. Mindre innganger vil også redusere bifangst av torsk og etter alt å dømme også andre arter som hummer og taskekrabbe.
Havforskningsinstituttet vil også anbefale at det etableres en heldekkende enderist med 12 mm spalter ettersom dette reduserer fangst av undermåls bergnebb og grønngylt.
Havforskningsinstituttet tilrår at totalkvoten på 18 millioner fisk ikke økes fra 2020 nivå. Det er ingen klare endringer i fangst-per-enhet-innsats eller størrelsesfordeling på fangstene fra referansefiskere fra 2020, men det er indikasjoner på nedgang i gjennomsnittsstørrelse for bergnebb og grønngylt i Midt-Norge.
Når det gjelder spørsmålet om oppdretteres behov for stamfisk av berggylte til oppdrett anbefaler Havforskningsinstituttet en fiskeperiode fra 15.april til 30. mai, som bør utføres med bruk av egnede garn på dagtid og med kort ståtid.
1. Redusert inngangsstørrelse i teiner
1.1. Bakgrunn
Havforskningsinstituttet har i tidligere års kunnskapsstøtte anbefalt at uttaket av berggylte bør reduseres for å redusere risikoen for overfiske (Skiftesvik og Halvorsen 2019). Berggylte er den av leppefiskartene som vurderes som mest sårbar for et høyt beskatningstrykk på grunn av sin kompliserte reproduksjon og livshistorie. Berggylte kan bli godt over 20 år gamle, og alle er født hunner som kjønnsmodnes rundt 18-22 cm. De skifter kjønn til hann når de er 30-40 cm, og hannene utøver yngelpleie til eggene klekkes. Arter med slik livshistorie er spesielt sårbare for størrelsesselektivt fiskeri (Alonzo and Mangel 2004; Hamilton et al. . 2007; Pavlowich et al. . 2018). Det rapporteres om målrettet fiske av berggylte siden det den av leppefiskene med høyest markedsverdi. Nåværende minstemål på 14 cm gir i praksis svært liten bestandsbevarende effekt, og HI har derfor anbefalt en økning i minstemålet til 22 cm, samt å innføre et maksimalmål på 28 cm for å hindre uttak av store hunner med høy reproduksjonspotensiale, samt hanner som gir yngelpleie. Berggylte er den største av leppefisk-artene, så fangbarhet til berggylte kan påvirkes ved å endre utformingen på inngangen på redskapen. Dette avhenger av fiskens morfologi (størrelse, kroppsfasong), men også adferd kan spille en rolle - mindre innganger kan redusere motivasjonen til å gå inn i redskapen selv om det fysisk sett er mulig å passere igjennom. Mindre innganger kan også redusere rømning fra fisk som allerede er fanget i teina. Man kan derfor forvente endrede fangsteffektivitet og størrelsesselektivitet på andre arter. I 2018 og 2019 gjennomførte HI forsøk som viste at andelen berggylte over anbefalt maksimalmål (28 cm) reduseres betydelig i teiner med ovale innganger med mindre høyde (7.5 vs 9 cm; Halvorsen, Skiftesvik og Jørgensen 2019). Fra og med 2021 har Fiskeridirektoratet innført krav om at inngangene skal være sirkulære og ha en maksimal diameter på 6 cm. I utgangspunktet forventes det da en ytterligere reduksjon i fangsteffektivitet på berggylte, samt lavere innslag av bifangst av større fisk og skalldyr. HI har gjennomført nye forsøk med disse inngangene og har vurdert hvorvidt dette kan kompensere for andre foreslåtte tiltak for å bevare berggyltebestanden (endringer i minstemål, innføring av maksimalmål og egen kvote), samt innvirkning på bifangst.
1.2. Feltforsøk 2020
HI gjennomførte en komparativ feltstudie med samme metodikk som rapportert tidligere (Halvorsen, Skiftesvik og Jørgensen 2019). Dataene ble samlet inn i samarbeid med tre ulike referansefiskere (to i Lindesnes og en i Flatanger) i juli og august 2020, hvor all fangst ble registrert i total 340 teinetrekk (170 trekk av hver type). All leppefisk og torsk ble lengdemålt, mens alle andre bifangstarter ble registrert i antall. Resultatene viser at andelen berggylte som tas i teiner med nye innganger vs. kontrollteiner (9 x 6 cm ovale innganger) reduseres som en lineær funksjon av fiskens lengde fra rundt 20 cm (Figur 1). Dette betyr at det vil fanges betydelig mindre berggylte i teiner med nye, mindre innganger , også i størrelse 20-28 cm (Tabell 1). For bergnebb har teiner med mindre innganger betydelig økt effektivitet for små individer, men forskjellen minker med fiskens lengde og er lik i de to redskapstypene ved omtrent 14 cm. Fangstene av grønngylt var lik, mens fangst av større torsk ble redusert i teiner med mindre innganger. Teinene var utstyrt med standard 12 mm fluktåpninger på siden av teinene. Tidligere forsøk gjennomført av HI har vist at en heldekkende enderist med 12 mm spalter effektivt reduserer fangst av undermåls berggnebb og grønngylt og er derfor en god løsning for å redusere utsortering av fisk i båt. Tallmaterialet på andre bifangstarter var for lavt til å konkludere (Tabell 1). Det er likevel høy sannsynlighet for at mindre innganger vil effektivt redusere bifangst av hummer og krabbe over minstemål.
6 cm sirkulær
9 x 6 cm oval
Endring i % ved mindre innganger
Berggylt > 28 cm
2
29
-93 %
Berggylt > 14 cm
34
93
-63 %
Bergnebb > 11 cm
756
584
29 %
Bergnebb < 11cm
406
172
136 %
Grønngylt > 12 cm
223
223
0 %
Grønngylt < 12 cm
9
14
-36 %
Torsk
105
152
-31 %
Taskekrabbe
5
9
-29 %
Hummer
1
0
Tabell 1 : Sammenligning av fangst i teiner med 60 mm sirkulær vs standard oval inngang (90 mm høyde, 60 mm bredde).
Figur 1 . Estimert (linje, 95 % konfidensintervall) og observert (åpne sirkler) andel fisk fanget i teiner med foreslått inngangsutforming (sirkulære, 6 cm diameter) vs. teiner med ovale innganger høyde 9 cm, bredde 6 cm. Horisontal linje markerer lik fangsteffektivitet i de to redskapene. Data er analysert ved bruk av generaliserte lineære modeller i R.
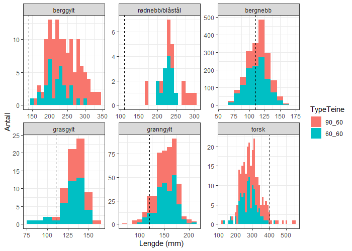
Figur 2 : Lengdefordeling i forsøksfisket, farge indikerer andel tatt med foreslått inngangsutforming (sirkulære, 6 cm diameter, turkis farge) vs. teiner med ovale innganger høyde 9 cm, bredde 6 cm (rød farge).
1.3 Konklusjon og anbefaling: reduserte innganger
Havforskningsinstituttet støtter Fiskeridirektoratets bestemmelse om at redskap for fangst av leppefisk skal ha sirkulære innganger på 60 mm diameter. Den markante reduksjonen i fangsteffektivitet for berggylte betyr at risikoen for overfiske på denne arten reduseres, og HI vurderer at dette vil redusere virkningen og behovet for andre tiltak, herunder endrede minstemål, maksimalmål og egen kvote for berggylte. En ulempe med mindre innganger er den økte andelen av undermåls bergnebb i teinene, noe som vil medføre mer sortering og utsett av bergnebb. Heldekkende enderist er en effektiv metode for å redusere fangst av undermåls bergnebb og grønngylt (Jørgensen et al. 2017) og det anbefales å innføre krav om slike rister i teinene. Det er uansett viktig at regelverket for gjenutsetting for å sikre høy overlevelse av bifangst. Pågående forskning viser at bergnebb har en høy evne til å ta seg tilbake til fangststedet om den settes ut inntil 400 meter fra unna langs samme kystlinje. Mindre innganger vil antagelig redusere bifangst av hummer og krabbe (se også Bifangst neste avsnitt). For å få bedre kunnskap om effekten av reduserte innganger på bifangst ønsker HI å videreføre komparative feltforsøkene i 2021.
2. Uttak og kvoter
2.1. Bakgrunn
Lukkingen av deltageradgang til fiskeriet og innføring av total- og fartøykvoter har bidratt til en klar reduksjon i innsats og uttak av leppefisk i forhold til toppåret i 2017, og er i tråd med rådene for uttak gitt av Havforskningsinstituttet. HI anser kvotereguleringer på leppefisk som en viktig metode for å kontrollere den overordnede innsatsen og økologiske påvirkning av fisket nasjonalt og regionalt. For grønngylte og berggylte samsvarer skillet mellom region Sør og Vest relativt godt med den tydelige genetiske skillelinjen som man finner i området rundt Jæren (Faust et al. 2018; Seljestad et al. 2020). For 2021 og årene fremover vil fangstdata fra referansefiskere danne hovedgrunnlaget for eventuelle justeringer i anbefalt totaluttak i de tre regionene. Fisketrykket innad i regionene er geografisk ujevnt fordelt, samtidig som at alle leppefiskartene er svært stedbundne. Dette betyr at lokalt overfiske kan forekomme der det er høyt fiskepress, og HI mottar et økende antall rapporter fra publikum om reduserte bestander i flere områder. Kvoter har en begrenset reguleringseffekt mot å forhindre lokalt overfiske, men risikoen kan reduseres ved hjelp av tekniske reguleringer (redskapsutforming, minstemål og maksimalmål, gytetidsfredning). Det er derfor viktig å se de ulike reguleringene i sammenheng og vurdere den samlede effekten av disse. Det er også store lokale og regionale variasjoner i bestandstetthet for de ulike artene, men kvotene er ikke artsspesifikke. En utfordring med dette er at leppefiskartene har varierende sårbarhet for fiske (fangbarhet, selektivitet og livshistorie), populasjonsdynamikk og etterspørsel. I den forbindelse så rapporterer vi resultater fra publiserte og pågående forsøk som har gitt bedre innsikt i hvordan fisket påvirker de forskjellige leppefiskartene og vurderer behovet for artsspesifikke kvoter.
2.2. Utvikling i fangstdata fra referansefiskere
HI reviderte referansefiskerordningen før 2019 sesongen og har etablert en ny metode for datainnsamling. Denne endringen ble begrunnet og redegjort for i fjorårets kunnskapsstøtte (Skiftesvik og Halvorsen 2019). For å vurdere bestandssituasjonen for 2020 har vi derfor kun 2019 som sammenlikningsgrunnlag siden det ikke er mulig å standardisere fangstdata fra årene før dette (Halvorsen et al. 2020). Man bør derfor ha en konservativ tilnærming til å konkludere med endringer før en lengre tidsserie er tilgjengelig. HI vil basere anbefaling om uttak i påfølgende år på størrelsen (og usikkerheten) i observerte endringene i estimert CPUE (Catch-per-unit-effort; standardisert fangst av leppefisk over minstemål per teine) samt endringer i gjennomsnittsstørrelse. Modellene som ligger til grunn inkluderer miljøvariabler som kan påvirke fangbarhet og tar høyde for lokale forskjeller ved å inkludere “Fisker” i som en såkalt random effect (se vedlegg 1 og 2 for oversikt over geografisk fordeling av fiskere samt modell estimater). Figur 3 viser modellprediksjonene for CPUE og lengde i de tre områdene. Det er ingen signifikante endringer i CPUE mellom år, innad områder (overlappende 95 % konfidensintervall). Modellprediksjonene sammenfaller med i stor grad med rapporter fra fiskere og artsfordelingen i Fiskeridirektoratets fangststatistikk for 2020. HI vurderer det derfor som sannsynlig at bestandssituasjonen for leppefisk ikke er betydelig endret fra 2019 i de tre fangstområdene. Det er ingen endring i lengde for Region Sør og Vest for noen av artene. I Midt-Norge er det en nedgang i gjennomsnittsstørrelsen for bergnebb og grønngylt, men ligger for 2020 på samme nivå som region Sør og Vest. Det vil derfor være viktig å følge med om den negative utviklingen fortsetter i Midt-Norge i 2021 eller om den stabiliseres eller øker igjen. For å sikre et robust vitenskapelig grunnlag for justering av uttak basert på data fra referansefiskere i kommende år, er det viktig å redusere usikkerheten i modellestimatene. En årsak til at den har vært høyere enn forventet er at det har vært utfordrende å få kontinuitet i referansefiskergruppen i omleggingsfasen av metodikken (vedlegg 1). HI vil vurdere konkrete tiltak for å redusere usikkerheten, blant annet ved å forbedre kompensasjonsordningen samt å utvide med flere referansefiskere.
Figur 3 : Standardisert CPUE (Fangst av overmåls leppefisk; 95 % konfidensintervall) i de tre regionene i 2019 og 2020 estimert ved GLMM (vedlegg 2).
2.3. Bifangst
Omfanget av bifangst i fisket etter leppefisk har vært lite undersøkt. Bifangst skal etter regelverket slippes ut umiddelbart på fangststedet. Overholdes dette antas det lav påvirkning på andre arter, siden redskapen står på grunt vann og det er daglig røkteplikt. Det har likevel vært satt fokus på bifangst som en mulig utfordring i dette fisket, spesielt for kommersielt viktige arter som hummer, torsk og taskekrabbe. Havforskningsinstituttet har undersøkt artsfordelingen i fangstene som tas i leppefiskteiner med 9x6 cm ovale åpninger (2020 regelverk). Datagrunnlaget er totalt 1535 teinetrekk fra referansefiskere gjort i 2019 og 2020 (vedlegg 1). Leppefisk over minstemålet utgjør 60-75 % av fangsten (i antall i individer, Figur 4). Andelen bifangst, (utenom undermåls leppefisk), er høyest i region Midt (nord for 62 grader). Torsk er den mest vanlige bifangstarten i Region Sør (~2 % av totalfangsten; Figur 5) og Region Midt (~6.5 % av totalfangsten). Strandkrabbe er mest vanlig i Region Vest (1.8 % av totalfangsten). Bifangst av hummer er relativt lavt i dette fisket. Totalt ble det rapportert fanget 38 hummer, og kun 6 av disse var 25 cm eller større (minstemål for hummer).
Figur 4 : Prosentvis andel av leppefisk, undermåls leppefisk og bifangst i referansefiske 2019-2020.
Figur 5 : Oversikt over bifangst i referansefiske fordelt på art, oppgitt som % andel av total fangst av alle individer av fisk og skalldyr per region.
Figur 6 : Lengdefordeling av bifangstartene hummer og torsk i referansefiske. Rød farge: over minstemål.
2.4. Fiskeripåvirkning på de ulike artene feltforsøk
Fisket etter leppefisk er et flerartsfiskeri på arter med ulik biologi. Det er derfor viktig å fremskaffe kunnskap om graden av fiskeripåvirkning på de ulike artene. Denne avhenger av etterspørsel, romlig overlapp mellom fiskeri og fisk, fangsteffektivitet til redskapen, selektivitet, herunder størrelsesbegrensninger og redskapsseleksjon. Vi oppsummerer her resultater fra flere ulike forskningsprosjekter som samlet danner et bredt kunnskapsgrunnlag.
Dybdefordeling: I eEt nytt studie har HI undersøkt i hvilken grad fiskeriet overlapper med dybdefordelingene til de ulike artene (Halvorsen et al. 2020). Resultatene viser at de ulike artene har ulik dybdefordeling. Grønngylte og berggylte var mest tallrike på 0-5 meters dyp, bergnebb finnes i like store mengder 0-15 meter. Fangstene av rødnebb/blåstål og grasgylte økte med dybde (Figur 7). I det kommersielle fisket var gjennomsnittsdypet på 4.5 m, og under 1 % av teinene var satt dypere enn 10 meter. Siden fisket i hovedsak foregår grunnere enn 7 m, vil en del av bergnebb bestanden i praksis ikke beskattes, forutsatt at det ikke er store vertikalmigrasjoner over kort tid.
Figur 7 : Dybdefordeling av leppefisk vist ved CPUE (fangst per teine) av de forskjellige leppefiskartene fordelt på dybde (m). Linjen viser modellprediksjon og 95 % konfidensintervall. Leppefiskartene er berggylt – ballan, grønngylt - corkwing, bergnebb – goldsinny, rødnebb/blåstål - cuckoo og grasgylt – rock cook). Figur fra Halvorsen et al. . 2020.
Feltforsøk i fiskede og fredede områder: For å få bedre kunnskap om de direkte og indirekte konsekvensene av fiske etter leppefisk, ble det opprettet et forskningsområde for leppefisk i Austevoll kommune i 2017, som inkluderer tre nærliggende øyer. Siden 2017 har HI individmerket 14300 leppefisk her. Det er gjort 2120 gjenfangster og disse tyder på svært høy stedbundhet hos alle fem leppefiskartene, hvor større dyp (>25 m) i stor grad hindrer bevegelse mellom nærliggende områder. Dette betyr at den direkte påvirkningen av fiske på en bestand vil være svært lokal, noe som samtidig gjør det utfordrende å studere påvirkningen om man ikke har spesifikk informasjon om hvor hardt et område har vært fisket. For å forstå hva som skjer med et område under hardt fisketrykk har det blitt igangsatt et kontrollert utfiskingsforsøk på en av øyene i bevaringsområder. Vi benyttet et BACI-design (before-after, control-impact) for å undersøke endringer i CPUE og størrelse, før og etter utfiskingen, hvor en av øyene som ikke ble fisket blir benyttet som kontrollområde. Utfisking ble gjort første gang i 2019, da området i praksis hadde vært fredet i nesten 3 år. Over en periode på 9 dager ble en liten, isolert holme (320 m kystlinje) fisket med standardiserte leppefiskteiner (240 teinetrekk; 982 leppefisk tatt ut). Forsøket ble gjennomført under gode fangstforhold (sjøtemperatur på 17-19 ̊ C), og tettheten av teiner var her høyere enn hva som er observert i det ordinære fisket i Austevoll området (Halvorsen et al. 2017a). En ny runde med utfisking ble gjort i 2020 (150 trekk, 622 leppefisk tatt ut), og en siste runde er planlagt i 2021. Deretter vil vi følge opp re-etableringen av fiskesamfunnet i området frem til 2023. Omtrent 20 % av grønngylt og bergnebb som var merket forut for utfiskingsforsøket ble fanget, noe som indikerer en relativ lav fangbarhet. Totalt er det merket 76 berggylt i det aktuelle området siden 2017, men kun to av disse individene har blitt fanget i utfiskingsforsøkene i 2019 og 2020. Dette tyder på at berggylte har lavere fangbarhet enn grønngylt og bergnebb i teiner, men man bør avvente en konklusjon før man har et større datagrunnlag. Sammenliknet med kontrollområdet som ikke har vært fisket kan effekten av utfiskingen kan også observeres på CPUE for bergnebb og grønngylt, men ikke for berggylte (Figur 8). Det er kun observert mindre endringer i størrelsessammensetning. Disse resultatene er i samsvar med tidligere studier som har sammenliknet CPUE og lengdefordeling i og utenfor bevaringsområder, og som viser en moderat reduksjon i CPUE og gjennomsnittslengde for både bergnebb og grønngylt (Halvorsen et al. 2017b).
Vurdering av artspåvirkning: Ved innføring av bestemmelse om reduserte innganger i teiner vurderes det at fiskeriet vil ha størst påvirkning på bestandene av bergnebb og grønngylt, og at disse artene vil påvirkes relativt likt med nåværende regelverk. Bergnebb har et minstemål satt høyere enn størrelse ved kjønnsmoden alder, noe som gjør den i bedre stand til å tåle fiskepress (Olsen et al. 2018). I områder med hardt fiskepress kan bergnebb bestanden likevel reduseres på grunt vann siden den er svært stedbunden og vokser sent. Grønngylt er den arten som har høyest grad av overlapp med fiskedypet og den har en biologi som tilsier at den er sårbar for fiske, blant annet vokser hannene fortere og utøver yngelpleie (Halvorsen et al. 2016 og 2017a). HI har anbefalt at minstemålet derfor bør økes til 13 cm. Grønngylt en kortere generasjonstid og vokser mye fortere enn bergnebb, noe som tilsier at bestandene kan hente seg raskere inn igjen etter å ha blitt redusert. Data fra strandnotserien på Skagerrak viser også at grønngyltbestanden har økt betraktelig de siste 50-60 årene, og sammenfaller med økt sjøtemperatur (Knutsen et al. 2012, Skiftesvik og Halvorsen 2019). Grasgylt og rødnebb/blåstål brukes i liten grad som rensefisk, og er mest tallrike på større dyp enn der fisket foregår (Figur 7).
Videre arbeid: HI vil i 2020 og 2021 undersøke fiskeripåvirkning på vekst og overlevelse i disse områdene, siden lavere tetthet i teorien kan forventes å ha en positiv effekt på vekst og overlevelse hvis fødetilgang og habitat er begrensende faktorer. I 2021 vil det arbeides med å bruke merke-gjenfangst modeller for å estimere naturlig og fiskeridødelighet, samt selektivitet, fangbarhet. Dette er sentrale parametere i bestandsmodeller, og det er nylig blitt publisert en slik modell for grønngylt (Kindsvater et al. 2020) som også kan tilpasses de andre artene.
Figur 8 : Fangst per ruse (CPUE) i forsøksfisket gjennomført i forskningsområdene i Austevoll 2017-2020. Grå felt indikerer når fisk er tatt ut i 2019 og 2020. Begge områder har vært fredet for leppefisket siden 2017 sesongen.
2.5. Konklusjon og anbefaling: Uttak og kvoter
HI viderefører tidligere års anbefaling om et maksimalt uttak på 18 millioner fisk fram til man med høyere grad av sikkerhet kan vurdere retningen i bestandsutviklingen over tid. HI har tidligere anbefalt en egen kvote for berggylt for å begrense uttaket av denne arten som anses som mest sårbar for fiske. I lys av krav om mindre innganger i redskapen fra og med 2021, anses det som lite hensiktsmessig med en egen berggyltkvote. Av de andre leppefiskartene er det praksis kun grønngylt og bergnebb som beskattes. Disse artene ser ut til å bli relativt likt påvirket av fiskeriet og HI vurderer at det derfor er ikke er hensiktsmessig med artsspesifikke kvoter. Mindre inngangsåpninger i teiner fra 2021 vurderes til å ivareta hensyn til de ulike artenes sårbarhet.
3. Berggylte som stamfisk i oppdrett
Berggylte er den eneste av leppefiskartene som det drives oppdrett på i dag. Oppdretterne har behov for stamfisk på våren for egg og yngelproduksjon. Det tas da ut store individer av hanner og hunner før og under gyteperioden, men omfanget av dette fisket er lite i forhold til fangstene av berggylt i det ordinære fisket etter leppefisk. Det er gitt ut et antall konsesjoner for hold av stamfisk berggylte, men det er flere av disse som ikke er/har vært i drift. Selv om Havforskningsinstituttet har egen stamfisk og erfaring med denne over en årrekke, er volumet lite i forhold til kommersielle anlegg. Det var derfor ønskelig med en større kunnskapsbase angående stamfisk berggylte, og behovene som større stamfiskanlegg har. Vi har derfor kontaktet alle bedrifter som har en konsesjon og stilt en del spørsmål for å få mer kunnskap om behov for stamfisk, hvordan stamfisk blir innfanget, og hvilke erfaringer og kunnskap en har i forbindelse med dette. Vi har gjennomført telefonintervju med personer fra alle bedriftene, og noen av fiskerne som har fisket stamfisk. En oppsummering av intervjuene med bedriftene og fiskerne gis i vedlegg 3. Basert på denne informasjonen så anbefaler HI en avgrenset fiskeperiode for berggylte til stamfiskformål fra 15. april til 30. mai. Det bør fiskes med garn som egner seg for fiske etter stamfisk, dvs. finmasket garn (14-16 omfar). Det anbefales at det bare fiskes på dagtid, og med kort ståtid på garnet. I denne fiskeperioden er fisken samlet, lett å fange, og fisken kan kjønnsbestemmes på feltet og uønsket fisk kan settes ut igjen på fangststedet. Det er behov for færre hanner enn hunner. Det vil være svært lite bifangst dersom fisket utøves som beskrevet over. Siden det her tas ut store og eldre individer som er viktige i reproduksjonen anbefaler HI at uttaket ikke overstiger 0.25 % av anbefalt totaluttak for leppefisk innad hver region.
4. Vedlegg
Vedlegg 1 : Oversikt over referansefiskere i 2019 (845 teinetrekk) og 2020 (690 teinetrekk).
FiskerID
Teinetrekk 2019
Teinetrekk 2020
Region
Flekkefjord1
60
0
Sør
Grimstad1
54
55
Sør
Hvaler1
37
0
Sør
Larvik1
0
51
Sør
Lindesnes1
116
125
Sør
Lindesnes2
60
60
Sør
Sandefjord1
52
0
Sør
Austevoll1
35
0
Vest
Austevoll2
56
0
Vest
Austevoll5
0
36
Vest
Bergen1
57
60
Vest
Kvinnherad1
0
51
Vest
Nedstrand1
52
48
Vest
Sula1
53
0
Midt
Flatanger1
50
54
Midt
Frøya1
56
57
Midt
Frøya2
58
36
Midt
Smøla1
49
57
Midt
Vedlegg 2 a: Oppsummering av GLMM model for CPUE i referansefisket.
Berggylte
Bergnebb
Grønngylt
Predictors
Log-Mean
std. Error
p
Log-Mean
std. Error
p
Log-Mean
std. Error
p
(Intercept)
-0.17
0.26
0.511
1.72
0.17
<0.001
1.18
0.44
0.007
Ståtid
0.10
0.03
0.001
0.01
0.03
0.725
0.11
0.03
0.001
Dybde
-0.24
0.04
<0.001
0.10
0.03
<0.001
-0.23
0.04
<0.001
Eksponeringsindeks
0.20
0.05
<0.001
0.07
0.04
0.054
-0.45
0.06
<0.001
Temperatur
-0.07
0.05
0.216
0.11
0.04
0.002
0.38
0.05
<0.001
Vest
-0.41
0.37
0.269
-0.69
0.24
0.004
-0.57
0.62
0.358
Midt
0.31
0.44
0.477
-0.31
0.29
0.289
-2.89
0.82
<0.001
År 2020
-0.49
0.12
<0.001
-0.26
0.08
0.002
0.53
0.11
<0.001
RegionVest:År2020
0.75
0.23
0.001
0.08
0.14
0.548
0.23
0.17
0.183
RegionMidt:År2020
0.26
0.18
0.154
-0.10
0.14
0.495
-0.43
0.26
0.096
Random Effects
Intraclass correlation
0.28 FiskerID
0.22 FiskerID
0.61 FiskerID
Observations
1385
1385
1385
Marginal R2 / Conditional R2
0.111 / 0.356
0.180 / 0.357
0.596 / 0.843
Vedlegg 2 b: Oppsummering av LMM model for lengde i referansefisket 2019 og 2020
Berggylte
Bergnebb
Grønngylt
Predictors
Log-Mean
std. Error
p
Log-Mean
std. Error
p
Log-Mean
std. Error
p
(Intercept)
211.67
7.78
<0.001
117.59
1.64
<0.001
134.52
2.61
<0.001
Dybde
6.16
0.91
<0.001
0.22
0.07
0.003
0.43
0.15
0.003
Eksponeringsindeks
11.86
4.27
0.005
4.66
0.48
<0.001
9.52
1.21
<0.001
Vest
-19.95
9.72
0.040
0.52
2.30
0.822
0.53
3.55
0.880
Midt
-11.98
10.39
0.249
10.89
2.68
<0.001
16.43
5.59
0.003
År 2020
-6.07
4.97
0.222
-0.88
0.43
0.042
1.00
0.84
0.236
RegionVest:År2020
5.94
9.34
0.525
0.80
0.80
0.316
5.34
1.18
<0.001
RegionMidt:År2020
5.93
7.15
0.407
-8.72
0.76
<0.001
-14.48
2.60
<0.001
Random Effects
Intraclass correlation
0.07 FiskerID
0.14 FiskerID
0.15 FiskerID
Observations
1303
5905
6122
Marginal R2 / Conditional R2
0.090 / 0.150
0.124 / 0.249
0.050 / 0.194
Vedlegg 3: Oppsummering av intervju vedrørende bruk og fangst av berggylte til stamfiskforemål. Spørsmålene som ble stilt er i uthevet skrift.
Intervju med bedriftene
Hvor mange stamfisk, hanner-hunner, trenger dere? Oppsummering av svarene: Antallet stamfisk totalt er/er ønsket i størrelsesorden 400 - 4000 stk. De fleste satser på 2-3 gytinger i året. Det er behov for 20% hanner i stamfiskguppene.
Hvor ofte byttes stamfisken ut? Oppsummering av svarene: Det er lite behov for å bytte ut fisken de har, men noe hannfisk kan bli tatt ut over tid da noen av hunnene endrer kjønn og bli hanner. Det poengteres at med godt stell er overlevelse i kar veldig god, og en unngår da å ta inn ny fisk hvert år. Stamfisk blir bedre med årene.
Hva er bedriftens behov for ny stamfisk hvert år? Oppsummering av svarene: De bedriftene som har hatt en produksjon av berggylt en tid er veldig klar på at de ønsker å beholde stamfisken i mange år, da de ser at fisken bare blir bedre med årene. Disse bedriftene regner med lite behov for ny fisk, bare erstatte fisk som blir tatt ut. De vil imidlertid ha behov for ny fisk dersom de starter opp en ny gytegruppe (200-300 fisk). Nye bedrifter har behov for å bygge opp stamfiskbestanden, og vil ha behov for et større antall fisk i starten, her er 2000 fisker det høyeste antall vi fikk oppgitt.
Satses det på gjenbruk? Oppsummering av svarene: Et stort ja. Det er et ønsker å beholde fisken i mange år. Bedre gyting med tiden.
Vil dere satse på egenprodusert stamfisk? Oppsummering av svarene: Alt fra nei og til at dette er på gang. Tiden bedriften har arbeidet med oppdrett av berggylte avspeiler seg i svarene, der de som har holdt på lengst jobber med dette, mens andre ser på dette som noe som kan bli aktuelt senere.
Hvor fanges stamfisken? Oppsummering av svarene: Fisken fangstes stort sett lokalt der stamfiskanlegget er lokalisert, men så langt ut mot kysten/ytre strøk en kan fiske. Fiske i disse områdene kan være ganske væravhengig.
Hvor mange fiskere benyttes? Oppsummering av svarene: Det er få fiskere involvert i fisket etter stamfisk. De fleste har en fisker de bruker, en får fisk fra to båter, og et par fisker også selv. Oppdretter er gjerne med på fisket selv.
Når etter deres syn er den beste tiden på året å få inn ny fisk? Oppsummering av svarene: Månedene april og mai utpeker seg som de beste månedene for fiske etter stamfisk. Fisken er samlet, og fisket blir mer effektivt. Det er lettere å skille hunner og hanner på denne tiden (rett før, og under gyting), og overtallige hanner kan straks settes ut igjen. Det blir poengtert at det er viktig å få gyting første året ved oppstart av nytt anlegg.
Hvordan fiskes fisken (ruse, garn etc. spesielle typer redskap eller garn, ståtid)? Oppsummering av svarene: Det rapporteres at en fisker bruker ruser, men mest vanlig er trollgarn og toggegarn og da med et finmasket garn slik at fisken ikke setter seg for mye fast. Oppgitt ståtid er fra 20-30 min til en gang i døgnet (20-30 min, 2-3 timer, 3 ganger i døgnet, en gang i døgnet). De som bruker kort ståtid rapporterer at det er lite skade på fisken, og lite bifangst. Mer skader ved lengre ståtid, og mer bifangst når garn blir stående over natten. Flere sier at garnmasker kuttes for å få berggylten skadefri ut av garnet.
Annet å tilføye? Under spørsmålet om det var noe annet de ville tilføye ble følgende nevnt:
Har et minstemål på 27 cm for ny stamfisk. Mindre fisk enn dette klarer seg ikke så bra. Garnet med 14 omfar sorterer på denne størrelsen.
Behandler ny stamfisk med antibiotika og formalin. Minstestørrelse 400 gram.
Det ble også fanget noen berggylte i forbindelse med fiske etter stamfisk rognkjeks (som foregår i mars-mai).
Noen har supplert med stamfisk fanget i det regulære fisket, ved å be fiskere sette av stor berggylte. Dette regnes som lite effektivt logistisk, og brukes i liten grad.
Intervjuene med fiskere
Hvilke redskap/garn er best til fangst av stamfisk berggylte?
Trollgarn 14 -16 omfar. Må spesialbestilles. Viktig med så små masker for å skade fisken minst mulig.
Fiskes med 14 omfar garn. Multifilament 0,15 mm gut. Går også fint med nylongarn (blått eller rødt) som gjerne er dårligere på andre fisk (da de er mer synlige). Spesialbestilt fra Kina via norsk importør. Garnet er ikke tilgjengelig i Norge ellers.
Teiner kan brukes om høsten, men fisker ikke berggylte om våren.
Når på året er beste tiden å fiske? Det er best fiske på våren når fisken står samlet for gyting, det vil si fra slutten av april og ut mai.
Hvor fiskes det etter stamfisk? Det fiskes lokalt. Fiskes på samme steder som annen leppefisk, men gjerne langt vest i havet på eksponerte steder. Får ikke stor berggylte i rolige farvann.
Hvordan fiskes det etter stamfisk berggylte? Svar: Garnet er ute i minst 2 timer fra en, til maksimalt 2,5 timer, bare på dagtid, fra en annen. Garn settes grunt og røktes flere ganger om dagen. Garnmasker kuttes for å få fisken skånsomt ut.
Annet å tilføye? Lite bifangst, hovedsakelig små lyr på dagtid. Hvis det er hummer er det i garn som har stått over natta – aldri ellers Hvis garnet blir stående over natta er det mye mer bifangst av alle arter, og berggylta er av dårligere kvalitet og kan kanskje ikke brukes.
5. Referanser
Alonzo, S.H. and Mangel, M. (2004) The effects of size-selective fisheries on the stock dynamics of and sperm limitation in sex-changing fish. Fishery Bulletin 102, 1–13
Faust, E., Halvorsen, K.T., Andersen, P., Knutsen, H. and André, C. (2018) Cleaner fish escape salmon farms and hybridize with local wrasse populations. Royal Society Open Science 5: 171752. DOI: 10.1098/rsos.171752.
Halvorsen, K. T., T. K. Sørdalen, C. Durif, H. Knutsen, E. M. Olsen, A. B. Skiftesvik, T. E. Rustand, R. M. Bjelland, and L. A. Vøllestad. 2016. Male-biased sexual size dimorphism in the nest building Corkwing Wrasse ( Symphodus melops ): implications for a size regulated fishery. ICES Journal of Marine Science 73(10):2586–2594.
Halvorsen, K. T., T. K. Sørdalen, L. A. Vøllestad, A. B. Skiftesvik, S.H. Espeland, and E. M. Olsen. 2017a. Sex- and size-selective harvesting of Corkwing Wrasse ( Symphodus melops )—a cleaner fish used in salmonid aquaculture. ICES Journal of Marine Science 74(3):660–669.
Halvorsen, K. T., T. Larsen, T. K. Sørdalen, L. A. Vøllestad, H. Knutsen, and E. M. Olsen. 2017b. Impact of harvesting cleaner fish for salmonid aquaculture assessed from replicated coastal marine protected areas. Marine Biology Research 13(4):359–369.
Halvorsen, K. T., Sørdalen, T. K., Larsen, T., Browman, H.I., Rafoss, T., Albretsen, J., & Skiftesvik, A. B. 2020. Mind the depth: The vertical dimension of a small-scale fishery shapes selection on species, size and sex in wrasses. Marine and Coastal Fisheries 12 (6) 404-422. https://doi.org/10.1002/mcf2.10131
Halvorsen, K. T., Sørdalen, T. K., Larsen, T., Rafoss, T. & Skiftesvik, A. B. (2020). Kunnskapsbasert innovasjon for optimal ressursutnyttelse i leppefiskeriet—Sluttrapport i prosjekt 272202-Regionalt forskningsfond Agder. Rapport fra Havforskningen 3
Kindsvater, H.K., Halvorsen, K. T., Sørdalen, T. K. & Alonzo S.H. The consequences of size‐selective fishing mortality for larval production and sustainable yield in species with obligate male care. (2020) Fish and Fisheries 21(6), 1135-1149, https://doi.org/10.1111/faf.12491
Seljestad, G.W. et al. (2020) A cleaner break: genetic divergence between geographic groups and sympatric phenotypes revealed in ballan wrasse (Labrus bergylta). Ecol. Evol. 10, 6120–6135
Olsen, E., K. Halvorsen, T. Larsen and A. Kuparinen. Potential for managing life history diversity in a commercially exploited intermediate predator, the goldsinny wrasse (Ctenolabrus rupestris) (2018). ICES Journal of Marine Science. 76 (2), 410–417. https://doi.org/10.1093/icesjms/fsy183
Pavlowich, T., Webster, D.G. and Kapuscinski, A.R. (2018) Leveraging sex change in parrotfish to manage fished populations. Elem Sci Anth 6, 63