Gå til hovedinnhold

Prøvefiske med trollgarn og åleruser på grunt vatn om hausten

— Strekninga Florø Ryfylke i perioden 2015-2023

Forfatter(e): Håkon Otterå , Otte Bjelland , Jan Hinriksson , Harald Næss og Kjell Nedreaas (HI)

1 - Samandrag

I denne rapporten samanfattar vi prøvefisket med trollgarn og åleruser etter torsk som har vorte gjennomført på faste stasjonar langs Vestlandskysten mellom Ryfylke og Florø sidan 2015. Vi legg særleg vekt på å beskriva korleis fisket har vorte gjennomført, samt å visa ein del av resultata frå prøvefisket på ein deskriptiv måte.

Vi ser tydelege forskjellar mellom dei ulike områda, med generelt sett aukande fangstrater av torsk dess lenger nord ein kjem. Fangstane er likevel relativt låge, frå 0,4 – 1,7 torsk per garn i snitt mellom områda vi fiska på. I perioden vi har fiska (2015-2023) ser vi ingen tydelege endringar i fangst per reiskap frå år til år. Det er også svært vanskeleg å følga sterke eller svake årsklassar i materialet, sidan fangstratane uansett går raskt ned for torsk eldre enn 2-3 år.

01.03.2024 - Undertittelen ble rettet opp.

2 - Bakgrunn

Kunnskapen om utviklinga i dei kystnære bestandane av fisk er basert på data samla inn sporadisk eller i avgrensa område og tidsperiodar. For eksempel så vart det gjort omfattande prøvefiske etter særleg torsk både i Masfjorden og i Øygarden (Hordaland) og fleire andre stader langs kysten i samband med prosjekta rundt utvikling av havbeite etter torsk («Torsk i fjord/Masfjordprosjektet», «PUSH-programmet»). Dei kystnære fiskeressursane er mykje vanskelegare å overvaka enn «havbestandane» p.g.a. ein komplisert topografi med tusenvis av øyar og skjer, og varierande djupn, straum og botntilhøve. Levevilkåra til fisken som held til der kan derfor variera mykje innan små område. Predasjon frå fugl, sjøpattedyr og anna fisk, samt fiskeri, er også svært variabelt. I tillegg til yrkesfiske vil ein i dei kystnære områda også ha eit varierande og til dels sterkt innslag av fritids- og turistfiske.

Føremålet med denne tidsserien er å få ei systematisk innsamling av data på særleg kysttorsk langs kysten av Vestlandet. Vi har valt å fiska med trollgarn og åleruser, på faste stasjonar langs kysten. Fisket har føregått på hausten, og på grunt vatn, og der særleg ung torsk har vore «målart». På denne måten har vi prøvd å få ein indikasjon på endringar i fangst per innsats over tid og med særleg vekt på rekruttering.

3 - Praktisk gjennomføring

Prøvefisket med garn og ruser vart starta opp i 2015, då berre i Øygarden og Florø-området. Seinare har Ryfylke, Austevoll, Gulen og Førdefjorden blitt inkludert (Tabell 1). Fisket har vorte gjennomført i september/oktober på nokolunde same tid per år. Vi har fiska på grunt vatn, der rusene har blitt sett frå land, frå ca 1-2 m djup og utover. Garna litt djupare, gjerne frå 2 m djup og utover.

Standard oppsett har vore å fiska tre dagar per område (to for Gulen), og der vi har delt kvart område inn i tre delområde, slik at vi har fiska i eit delområde per dag. I standard oppsettet er det 4 lenker med trollgarn og 6 lenker med doble åleruser. Frå 2021 har vi ikkje fiska med åleruser, då dei gav relativt låg fangst av torsk. Vi har i staden auka mengda med trollgarn noko. Praktiske tilhøve, oftast skulda dårleg vær, har gjort at vi ein del gongar har fiska mindre enn planlagt.

Data frå prøvefisket kan finnast under cruise-series «Rogaland-Stad NOR coastal autumn net and trap cruise» i Datasetexplorer.

År Serienummer Ryfylke Austevoll Øygarden Gulen Førdefjorden Florø
Garn Ruse Garn Ruse Garn Ruse Garn Ruse Garn Ruse Garn Ruse
2015 56101-56201 12 18 - - 24 18 - - - - 12 17
2016 56301-56417 12 18 12 18 12 18 - - - - 12 15
2017 56020-56106 14 12 12 19 12 8 - - - - 4 6
2018 56000-56250 12 18 8 12 11 12 8 12 12 18 12 18
2019 57281-57450 12 18 12 18 12 18 8 12 12 18 15 15
2020 57290-57439 12 18 12 18 4 6 8 12 12 18 12 18
2021 57291-57383 18 0 18 0 13 0 8 0 16 0 16 0
2022 57290-57377 19 0 11 0 11 0 12 0 17 0 18 0
2023 57301-57397 16 0 18 0 16 0 12 0 11 0 18 0
Tabell 1. Oversyn over tal på trollgarn og åleruser brukt per område og år. Antal er her serienummer; d.v.s. lenker med to trollgarn, vanlegvis 14 omfar (kode 4163, 45 mm) eller to doble åleruser (kode 4312) i lenke. I nokre tilfelle vart det også brukt 17,5 omfar garn (kode 4167, 36 mm). I dei tilfella det vart brukt 4 garn i ei lenke, med to garntypar (sjå avsnitt om forsøk 2025, Øygarden) er det brukt 2 serienummer for lenka.

3.1 - Fartøy

Dei første åra brukte vi småbåt, med utgangspunkt i HI sin stasjon Parisvatnet i Øygarden, og småbåt i kombinasjon med innleigd sjark i Florøområdet («Lindhav» ved Harald Lindvik). Frå 2018 har vi brukt «Eir» eller «Rind» frå Fiskeridirektoratet si Sjøteneste, for å dekka strekninga Florø – Øygarden. Til setting/trekking har vi brukt lettbåten om bord.

I Ryfylke og Austevoll har vi hatt eit samarbeid med dei vidaregåande skulane der (Rygjabø/Strand vgs og Austevoll vgs), og fått hjelp av elevar frå «fiskeri» / «naturbruk» linjene deira til gjennomføringa. Begge skulane har sjarkar som vi har brukt («Rygjabuen» og «Huftarøy») og med skippar frå skulen.

 

Figur 1. Øvst: Reinsking av trollgarn på kaia, med «Rind» i bakgrunnen. Nedst: Setting og trekking av garn og ruser vart gjort med «Rind» eller «Eir» sine lettbåtar.

 

Sjark

 

Personer trekker garn.
Figur 2. Øvst: «Rygjabuen» som vart brukt til prøvefisket i Ryfylke. I Austevoll vart den nesten identiske «Huftarøy» brukt. Nedst: Trekking av trollgarn med «Huftarøy» og bemanna med elevar og personale frå den vidaregåande skulen.

 

3.2 - Personale

Dei siste åra har prøvefisket i hovudsak vorte gjennomført av Otte Bjelland, Jan Hinriksson, Harald Næss og Håkon Otterå. Andre som har vore med er Jan Pedersen, Asbjørn Borge, Atle Rolland og Merete Vik Ottesen.

4 - Område

Prøvefisket har vorte gjennomført i seks område, frå sør mot nord; Ryfylke, Austevoll, Øygarden, Gulen, Førdefjorden og Florø. Kvart område har igjen hatt tre underområde/lokalitetar (to i Gulen) med varierande avstand mellom. Dei tre første åra vart det ikkje fiska i Gulen og Førdefjorden (ref. Tabell 1). På etterfølgande sider vert det vist oversiktskart over kvart område og eit meir detaljert kart over kvart underområde. Dei eksakte posisjonane for kvar garn- eller ruselenke varierte litt frå år til år, og dette går fram av rådata i Biotic. I prinsippet prøvde vi å fiska på dei same posisjonane kvart år, og på nokre av lokalitetane var det liten variasjon mellom åra, medan andre lokalitetar hadde større variasjon frå år til år. Det var vertilhøva som var den viktigaste årsaka til endringar i posisjonar mellom år. Karta under visar posisjonane vi brukte i 2019, då vi framleis brukte ruser i tillegg til garn. Etter at vi slutta med ruser og auka garnmengda i staden for har i dei fleste tilfelle dei ekstra garna blitt sett på «ruseposisjonar». I nokre tilfelle har vi måtta utvida lokaliteten litt for ikkje å få for mykje reiskap innafor eit lite område.

 

Kart
Figur 3. Oversiktskart over området dekka av tidsserien. Frå sør mot nord; Ryfylke, Austevoll, Øygarden, Gulen, Førdefjorden og Florø.

 

4.1 - Ryfylke

 

Kart
Figur 4. Oversikt over lokalitetane i Ryfylke. Frå vest mot aust; Talgje, Årdalsfjord, Erfjord. Detaljkart er vist i dei neste figurane. Fiskestasjonane er vist med ulik farge (raude symbol = garnstasjonar og blå = rusestasjonar) – dette gjeld også for etterfølgande kart.

 

 

Kart
Figur 5. På underlokaliteten Talgje har vi fiska på austsida av Sør-Talgje dei siste åra. I starten prøvde vi ein del lenger nord, ved Nord-Talgje, men der var det for ver-utsett til å kunna fiska der kvart år.

 

 

Kart
Figur 6. I Årdalsfjorden har vi fiska på tilnærma dei same lokalitetane kvart år. Lokaliteten er lite ver-utsett.

 

 

Kart
Figur 7. I Erfjorden har vi fiska på tilnærma dei same lokalitetane kvart år. Lokaliteten er lite ver-utsett.

 

4.2 - Austevoll

 

Kart
Figur 8. . Oversikt over lokalitetane i Austevoll. Frå vest mot aust; Horgo, Sandtorv, Lambøy. Detaljkart er vist i dei neste figurane.

 

 

Kart
Figur 9. Vi har fiska på austsida av Horgo, på omtrent dei same posisjonane kvart år. Lokaliteten er ein del utsett for vind og drag, spesielt ved sørleg vind.

 

 

Kart
Figur 10. På lokaliteten kalla Sandtorv har vi fiska på to stadar; i ei godt beskytta bukt ved Krossøy, og aust av Sandtorv. Sistnemnde lokalitet er noko utsett for vind og straum.

 

 

Kart
Figur 11. På lokaliteten kalla Lambøy har vi fiska med halvparten av bruket aust av Lambøy og resten lenger sør, ved Kumløy. Begge stadar om lag dei same posisjonane kvart år.

 

4.3 - Øygarden

 

Kart
Figur 12. . Oversikt over lokalitetane i Øygarden. Frå nord mot sør; Nautnes, Hjartøy, Herdlevær. Detaljkart er vist i dei neste figurane. Lokalitetane i Øygarden er ver-utsette og vi har skifta posisjonar ein del opp gjennom åra, og vi har ikkje fått dekka alle områder enkelte år.

 

 

Kart
Figur 13. På lokaliteten kalla Nautnes har vi fiska til dels ved Lamøy-Sængen lengst nord, og i Langøysundet og inn mot Nautnessundet. I Langøysundet har vi hatt reiskap ute kvart år, medan dei andre posisjonane har variert ein del frå år til år grunna ver-tilhøva.

 

 

Kart
Figur 14. Posisjonane vest av Hjartøy er også relativt ver-utsette.

 

 

Kart
Figur 15. For Lokaliteten kalla Herdlevær har vi hatt halvparten av bruket ute på nordsida av Herdlevær og resten lenger inne ved S. Straumsundet.

 

4.4 - Gulen

 

Kart
Figur 16. . Oversikt over lokalitetane i Gulen. Frå vest mot aust; Mjømna, Skjerjehamn. Detaljkart er vist i dei neste figurane.

 

 

Kart
Figur 17. Ved lokaliteten kalla Mjømna har vi brukt å ha halvparten av reiskapen i Risøysundet, og resten lenger aust i nærleiken av Høgholmen i Ånnelandssundet.

 

 

Kart
Figur 18. På lokaliteten Skjerjehamn har vi sett rusene nært gjestgjevarstaden, medan posisjonar for garna har vore rundt holmane utanfor Skjerjehamn, og med noko variasjon mellom åra.

 

4.5 - Førdefjorden

 

Kart
Figur 19. . Oversikt over lokalitetane i ytre Førdefjorden. Frå vest mot aust; Flokenes, Gjelsvika, Redalsvika. Detaljkart er vist i dei neste figurane.

 

 

Kart
Figur 20. Denne lokaliteten er ganske eksponert og vi har derfor stort sett sett reiskapen inne i vågen der det er meir skjerma mot veret.

 

 

Kart
Figur 21. Vi har brukt om lag dei same posisjonane kvart år i Gjelsvika.

 

 

Kart
Figur 22. Vi har brukt om lag dei same posisjonane kvart år i Redalsvika.

 

4.6 - Florø

 

Kart
Figur 23. . Oversikt over lokalitetane i Florø. Frå vest mot aust; Florø-vest, Råta, Brandsøysund. Detaljkart er vist i dei neste figurane.

 

 

Kart
Figur 24. Lokaliteten kalla Florø-vest er relativt ver-utsett, og vi har variert posisjonane ein del mellom åra.

 

 

Kart
Figur 25. Lokaliteten Rota er ved holmane rett utanfor Florø sentrum. Her har havneutbygging og vertilhøve gjort at vi har endra litt på posisjonane opp gjennom åra.

 

 

Kart
Figur 26. Rundt Brandsøysundet har vi brukt om lag dei same posisjonane kvart år.

 

5 - Reiskap

5.1 - Åleruse

Vi har brukt den same typen åleruse i heile perioden, og der to doble åleruser har vore sett i lenke. Frå 2021 slutta vi å bruka åleruser, og har berre fiska med trollgarn.

Skisse av ruse
Figur 27 . To doble åleruser satt sammen til en lenke (fra van der Meeren et al., 2021. Sluttrapport fra ICOD-prosjektet. Arbeidspakke 2: Egg- og yngelundersøkelser på gyte- og oppvekstområder på Smøla og i Aure i forbindelse med etablering av oppdrettsanlegg nær lokale gyteområder for kysttorsk. Rapport fra Havforskningen Nr. 2021-32 ).

Vi har brukt åleruser med 7 ringar pr kammer (ikkje 5 som vist på figur). Kalvane er montert mellom første og andre ring, tredje og fjerde ring samt femte og sjette ring. Eit enkelt rusekammer er 3,2 m og leiegarnet er 8 meter. Lengda på ei dobbelt ruse vert då 14,4 m og ei lenke med to doble ruser vert 28,8 m (som vist i figuren). Høgda på leiegarnet og den største (første) ringen er 53cm. Maskevidda (halvmaske) i den enden av rusa der fisken samlar seg (etter 3dje siste ring) er på 7,5 mm og for resten av kammeret og leiegarnet 15,5 mm.

Rusene er i hovudsak laga av knutelaus lin, men nokre av rusene har hatt knutar på leiegarnet. Det er montert vekter i kvar ende av lenka (1-3 kg) samt mellom dei to dobbelrusene (ca 1 kg). Vi har brukt ca 15 m tau til blåsa.

5.2 - Trollgarn

Vi har som standard brukt 14 omfar trollgarn (45 mm halvmaske, kode 4163 i Biotic) utan opptamping. Opptamping, dvs at grunnen i garnet blir letta ca 20-30 cm over botnen v.h.a. ei ekstra botnline blir av og til brukt i garnfiske for å redusera mengde taskekrabber som går på garna. Dette har vi berre brukt ved nokre få tilfelle, ved forsøksfiske i 2015 (sjå under) og til dels i 2020.

Trollgarna er 27,5m lange og består av 3 garnbuser sydd saman, og der maskevidda er 45mm i midtre garnbus og 235mm for de to ytre garnbusane (stormaskene). Det er brukt raudbrun nylontråd nr 2 i alle busane. Garna har standard korkline på 4/18 og søkkjeline som veg 7kg pr 100m, begge gråfarga.

På kvar stasjon vert det fiska det med to garn satt saman til ei lenke på 55m. Det blir brukt søkke/stein (1-2 kg) i begge endar og ca 15 m tau til garnblåsa.

5.2.1 - Forsøk 2015, Øygarden

Heilt i starten av det som skulle bli ein tidsserie gjennomførte vi eit prøvefiske med ulike typar trollgarn, samt med åleruser. Vi tok då utgangspunkt i dei mest vanlege garntypane brukt i tidlegare prøvefiske etter (primært) torsk (Masfjordprosjektet, PUSH, andre havbeiteprosjekt, KILO, rømt oppdrettsfisk (Florø), Skagerrak). Vi ynskte å samanlikna dei to mest vanlege garntypane; 14 og 17,75 omfar trollgarn, særleg med tanke på storleiksseleksjon.

Det vart fiska med småbåt og med Nautnes som base. I tillegg til prøvefiske var formålet å samanlikna ulike garntypar med omsyn på fangst og praktiske erfaringar.

Det vart fiska med (Tabell 2):

  • 2 lenker med trollgarn, kvar lenke bestod av 2 stk 14 omfar og 2 stk 17,75 omfar garn – adskilt med nokre meter tau mellom. Garna var opptampa i grunnen for å redusera mengde krabbe

  • 4 lenker med 2 stk 14 omf trollgarn

  • 6 lenker med 2 doble åleruser

Område Dato Lang lenke (opptampa) Kort lenke 1 Kort lenke 2
    2 x 14 omf (4163) 2 x 17,75 omf (4167) 2 x 14 omf (4163) 2 x 14 omf (4163)
Sengen 22. sep 56101 56102 56103 56104
Langesund 22. sep 56105 56106 56107 56108
Hjartøy/Hattøy 23. sep 56115 56116 56117 56118
Hjartøy/Vestgjona 23. sep 56119 56120 56121 56122
Herdlevær 28. sep 56129 56130 56131 56132
Straumøy 28. sep 56136 56137 56138 56139
Tabell 2. Oversikt over prøvefisket i Øygarden september 2015. Det vart fiska tre dagar, kvar dag vart det sett på to lokalitetar, på kvar lokalitet vart det sett 1 stk lang lenke, 2 stk korte lenker (og 3 stk. åleruselenker). Serienummer er gitt under
5.2.1.1 - Storleiksfordeling fisk

 

Figur over lengdefordeling
Figur 28. Lengdefordeling av dei tre mest talrike artane, her vist som densityplot (R, lattice pakken). NB låg N for torsk i 17,75 omfar garna.

 

Mengde taskekrabbe

Figur over antal taskekrabber
Figur 29 . Oversikt over talet på taskekrabber pr. lenke som var opptampa (Ja) eller ikkje (Nei). Antall lenker (á 2 garn) var: 14 omf (4163) opptampa= 6, ikkje opptampa=12; 17,75 (4167) omf-ikkje opptampa=6.

 

6 - Fangstoversikt

 
 

Totalt er det registrert 96 arter eller grupper i fangstane i perioden 2015 til 2023. Fullstendig liste over artar/grupper fordelt på område og reiskap er vist i vedlegg 1.

Dei ti vanlegaste artane, basert på alle områder og alle reiskap er vist i Figur 30, og ei oversikt over fangst per reiskap for dei same artane er vist i vedlegg 2.

Oversikt over artar fanga gjennom heile perioden.

Figur 30. Oversikt over dei vanlegaste artane (basert på alle områder, alle reiskap) fordelt på reiskap og område. Garn er både 14 og 17,75 omfar garn.

7 - Prioriterte artar

I den resterande delen av rapporten vil vi fokusera på torsk og nokre andre artar. Torsk har heile tida vore hovudmålet for tidsserien, men også artar som lyr og fleire av leppefiskartane har vi bra med data på.

7.1 - Torsk

7.1.1 - CPUE

Fangst per reiskap for torsk gjennom frå 2015 til 2023 er vist i vedlegg 2, både for garn og ruser. I snitt har vi fått 1,1 torsk per garn og 0,3 torsk per ruse, når vi ser på alle data samla. Dette var hovudgrunnen til at vi frå 2021 slutta med ruser, og auka mengda garn.

Ser vi nærare på torskefangst per garn (Figur 31) ser vi at det er store forskjellar mellom områda, der Ryfylke og spesielt Austevoll har lågare fangstar enn dei andre områda lenger nord. Gjennomsnittleg for heile perioden visar 0.4 (AUS), 0,8 (RYF), 1,2 (FØR), 1,2 (ØYG), 1,7 (GUL) og 1,7 (FLO) torsk per garn for dei ulike områda.

 

Figur
Figur 31. Oversikt over fangst av torsk per garn (same data som vist i vedlegg 2).

 

Vi ser også at det er ein god del variasjon i fangst per garn innan kvart område.

I Ryfylke får vi klart mest torsk i eit av dei to indre områda, Årdalsfjord. Erfjord og Talgje har liknande verdiar (Tabell 3, Figur 4). Både i Årdalsfjord og Erfjord har vi fiska på tilnærma identiske plassar kvart år. På lokaliteten kalla Talgje har det vore meir variasjon, men dei siste åra (sidan 2017) har vi også der fiska på omtrent dei same posisjonane på søraustsida av Sør-Talgje. Dei første to åra sette vi reiskapen på meir eksponerte område, som det viste seg å vera vanskeleg å gjennomføra kvart år.

       
Område Lokalitet Snitt N garn
Ryfylke RYF-Erfjord 0.45 86
RYF-Talgje* 0.52 80
RYF-Årdalsfjord 1.26 87
Austevoll AUS-Horgo 0.86 64
AUS-Lambøy 0.20 76
AUS-Sandtorv 0.18 66
Øygarden ØYG-Herdlevar 0.84 64
ØYG-Hjartøy 0.98 66
ØYG-Kvernhusosen 1.38 8
ØYG-Nautnes 1.49 92
Gulen GUL-Mjømna 1.62 56
GUL-Skjerjehamn 1.73 56
Førdefjorden FØR-Flokenes 1.16 62
FØR-Gjelsvika 1.65 34
FØR-Redalsvika 0.97 64
Florø FLO-Brandsøysund 2.52 80
FLO-Diverse 1.79 24
FLO-Rota 0.54 78
FLO-Vest 2.04 56
Tabell 3. Oversikt over talet på torsk per garn per delområde.

 

Figur over torsk per garn
Figur 32. Alle garnstasjonar i Ryfylke, fordelt på lokalitet. NB; det er lagt inn «jitter» både på x og y akse verdiane for å skilja enkeltpunkta betre frå einannan.

 

Austevoll var det området med klart lågast fangst av torsk (Tabell 3, Figur 8). Her var det lokaliteten lengst ute mot havet, Horgo, som gav høgast fangstar.

 

Figur over torsk per garn
Figur 33. Alle garnstasjonar i Austevoll, fordelt på lokalitet. NB; det er lagt inn «jitter» både på x og y akse verdiane for å skilja enkeltpunkta betre frå einannan.

 

På grunn av at områda i Øygarden (Figur 12) er relativt ver-utsette har vi her måtta flytta ein del på kvar vi har fiska. Det vil sei at posisjonar for reiskapane innanfor ein lokalitet kan ha ein del variasjon frå år til år. Lokaliteten Nautnes har høgast snittfangst. Her har vi i Langøysundet fleire gongar fått mange torsk på ei lenke.

 

Figur over torsk per garn
Figur 34. Alle garnstasjonar i Øygarden, fordelt på lokalitet. NB; det er lagt inn «jitter» både på x og y akse verdiane for å skilja enkeltpunkta betre frå einannan.

 

Prøvefisket i Gulen vart starta i 2018, fordelt på to områder (Figur 16). Eit av områda var nær Skjerjehamn og det andre lenger vest. Dette er områder vi har fiska på med trollgarn tidlegare, i.f.m. rømt torsk prosjektet ( men resultata frå Gulen området er ikkje med i publikasjonen, Jørstad, Knut E., et al. "Genetic marking of farmed Atlantic cod (Gadus morhua l.) and detection of escapes from a commercial cod farm."  ICES Journal of Marine Science 71.3 (2014): 574-584 .). Gulen har blant dei høgaste fangstratane av torsk i tidsserien.

 

Figur over torsk per garn
Figur 35. Alle garnstasjonar i Gulen, fordelt på lokalitet. NB; det er lagt inn «jitter» både på x og y akse verdiane for å skilja enkeltpunkta betre frå einannan.

 

Også for ytre Førdefjorden (Figur 19) og Florøområdet brukte vi til dels dei same garnposisjonane som vart brukt i nemnde studie (data er ikkje registrert i Biotic). I Førdefjorden har vi stort sett brukt dei same garnposisjonane heile perioden. Lokaliteten Gjelsvika hadde høgast gjennomsnittleg fangstrate av torsk. Gjelsvika er også eit av område der vi har vore plaga av mykje taskekrabbe på enkelte garn. Områda i ytre Førdefjorden vil kunna vera relevant som referanseområder i forhold til planlagt gruveverksemd.

 

Figur over torsk per garn
Figur 36. Alle garnstasjonar i Førdefjorden, fordelt på lokalitet. NB; det er lagt inn «jitter» både på x og y akse verdiane for å skilja enkeltpunkta betre frå einannan.

 

Florø (Figur 23) er det området der vi totalt sett har sett høgast fangstrate av torsk. Dette skuldast i stor grad lokaliteten Brandsøysund. Dette er eit ganske lite område på innsida av eit sund, og der vi nesten kvart år får bra med torsk. Storleiken på området har gjort at vi ikkje har villa setja ut ekstra trollgarn der, etter at vi slutta med ruser – ekstra trollgarn har derfor vorte sett litt utanfor kjerneområdet. Lokaliteten Rota ligg rett utanfor Florø sentrum. Her har vi flytta ein del på posisjonane, spesielt for rusene. Området har endra seg ein del på grunn av omfattande utviding av hamneanlegga. Enkelte år har vertilhøva gjort at vi har måtta avvika frå dei faste posisjonane.

 

Figur over torsk per garn
Figur 37. Alle garnstasjonar i Florø, fordelt på lokalitet. NB; det er lagt inn «jitter» både på x og y akse verdiane for å skilja enkeltpunkta betre frå einannan.

 

7.1.2 - Storleik- og aldersfordeling

 

Figur over lengdefordeling
Figur 38. Lengdefordeling per reiskap for all lengdemålt torsk. 4312 er åleruse, 4167 er 17,5 omfar trollgarn og 4163 er 14 omfar trollgarn.

 

 

Figur over lengdefordeling
Figur 39. Lengdefordeling av all garnfanga torsk per område.

 

7.1.3 - Årsklassar

 

Figur over lengde per alder
Figur 40. Lengde ved alder for den aldersbestemte torsken.

I hovudsak så har rusefanga torsk berre vorten lengdemålt og så sett ut igjen levande. Vi har derfor mest aldersdata frå garnfanga torsk. All torsk, bortsett frå den som var delvis oppeten vart aldersbestemt frå garnfisket. Storparten av rusetorsken som vart aldersbestemt var 0 og 1 gruppe (Figur 40). Garnfanga fisk var dominert av 2-gruppe (N=522), 1-gruppe (N=465) og 3-gruppe (N=161), Figur 40.

 

Dersom vi ser på fangst per garn for kvar årsklasse (Figur 41) så ser vi at CPUE er høgast for 1-2 åringar, for så å verta raskt redusert med alderen. Nedgongen skuldast nok ein kombinasjon av høg dødelighet og kanskje også at den eldre fisken held seg på djupare vatn enn det vi fiskar på. På dei fleste lokalitetane er det eit stort fiskepress som truleg er den viktigaste kjelda til dødelegheit. 2016-årsklassen var den årsklassen som hadde høgast fangstrate alle områda sett under eitt, som 2-åring, men allereie som 3-åring var fangstrata kraftig redusert (Figur 41).

 

Figur over cpue per årsklasse
Figur 41. Fangst per garn fordelt per årsklasse torsk. x-aksen viser fiskeår. Raudt punkt viser det årstalet den aktuelle årsklassen var 2-gruppe.

 

7.1.4 - Modning og vekst

Om hausten når prøvefisket gjekk føre seg hadde modningsprosessen av gonadane knapt starta og ein kan ikkje sjå kva individ som vil gyta til vinteren. I Figur 42 har modningsstadium blitt forenkla, og viser dei som klart er umodne (stadium 1, umoden) eller resten (stadium 2-5) som her vert kalla modne. Dette vil gje eit lite underestimat av andel umodne torsk. Både for hannar og hoer dominerer moden fisk frå alder 3 år.

Vi ser og at medianlengda per årsklasse jamt over er høgare for hoer enn for hannar (Figur 43)

 

Figur over lengde per alder, hann og hofisk
Figur 42. Lengde ved alder for moden og umogen torsk, alle områda slått saman.

 

 

BW pot over lengde per alder
Figur 43. Bow & Whisper plot som viser median lengde per aldersgruppe for hann og hotorsk. N per gruppe er vist øvst i figuren.

 

7.2 - Lyr, sei og berggylt

Utanom torsk som var «målarten» for prøvefisket har vi fått mykje data for mange artar. Fangst per reiskap for dei 10 vanlegaste (total-antal alle område) er vist i Vedlegg 2. For garnfanga lyr, sei og berggylt vert lengdefordelinga vist i Figur 17.

 

Mann som held ei stor berggylt
Figur 44. Vi fekk mykje stor berggylt på trollgarna, spesielt på lokaliteten Talgje i Ryfylke.

 

 

Figur over lengdefordeling per art
Figur 45. Lengdefordeling til all garnfanga sei, lyr og berggylt i perioden, og for alle område.

 

 

 

8 - Vedlegg

Vedlegg 1. Alle artar som vart observert gjennom perioden

Art Reiskap RYF AUS ØYG GUL FØR FLO
aure Garn 1 0 0 0 0 3
aure Ruse 0 0 0 0 2 0
berggylt Garn 762 832 499 331 228 611
berggylt Ruse 41 13 43 1 3 63
berggyltefisker Garn 0 0 0 0 0 4
bergnebb Garn 41 7 14 6 0 2
bergnebb Ruse 0 321 331 19 40 76
blåstål Garn 80 52 39 15 5 16
blåstål Ruse 114 188 67 6 1 12
breiflabb Garn 1 11 8 1 4 1
dvergulke Ruse 4 12 19 3 6 7
dvergulke Garn 0 0 0 0 0 2
eremittkreps Ruse 6 0 2 17 71 8
femtrådet tangbrosme Ruse 1 1 7 0 0 0
flekket fløyfisk Ruse 1 0 0 0 0 0
flyndrefamilien Garn 0 0 0 0 18 3
flyndrefisker Garn 0 1 0 0 0 0
fløyfisker Garn 0 0 0 0 1 1
fløyfiskfamilien Ruse 0 0 0 0 0 1
fugler Garn 0 0 0 0 2 0
gapeflyndre Garn 0 1 0 0 0 5
glassvar Garn 4 1 0 2 0 8
grasgylt Garn 9 1 1 0 0 0
grasgylt Ruse 0 17 52 0 0 0
grønngylt Garn 0 3 1 0 0 1
grønngylt Ruse 214 98 142 96 60 115
havabbor Garn 2 0 0 0 5 0
havål Garn 0 0 0 1 0 0
havål Ruse 0 0 5 0 0 0
Hestmakrell Garn 14 1 1 0 6 3
hornulke Ruse 0 0 0 0 0 1
hummer Garn 21 8 0 0 5 5
hummer Ruse 3 2 3 0 2 0
hvitting Ruse 10 4 14 6 35 26
hvitting Garn 5 0 4 2 10 4
hyse Garn 0 0 0 1 1 0
hyse Ruse 1 0 0 0 0 0
hågjel Garn 0 0 0 3 53 34
hågjel Ruse 0 0 0 0 5 0
hårvar Garn 42 6 5 0 1 2
hårvar Ruse 4 0 0 0 0 0
kloskate Garn 0 0 0 0 0 4
knurr Ruse 0 1 0 0 0 0
knurr Garn 2 0 1 0 0 0
knurrfamilien Garn 1 0 0 0 0 0
krabber Garn 0 1 29 0 0 0
krokulke Ruse 0 0 1 0 0 0
kuskjell Garn 0 0 1 0 0 0
kutlingfamilien Ruse 13 5 0 8 4 10
kutlingfamilien Garn 1 0 0 0 0 0
kveite Garn 0 0 2 0 0 1
laks Ruse 0 0 0 0 0 1
laks Garn 0 0 1 0 0 0
lange Garn 0 1 0 4 6 3
lange Ruse 0 0 0 0 0 1
liten havnål Ruse 0 0 1 0 0 0
Loligo Garn 1 0 0 0 0 0
lomre Garn 6 9 8 0 12 3
lomre Ruse 1 2 3 0 0 1
lomvi Garn 0 0 1 0 0 0
lyr Garn 493 335 312 165 142 199
lyr Ruse 0 146 117 143 181 310
lysing Garn 1 0 0 0 19 2
Macropipus Ruse 0 1 0 0 0 0
makrell Garn 22 18 5 3 2 6
marulker Ruse 0 0 1 0 0 0
mulle Garn 2 0 0 0 0 0
nålefisker Ruse 0 1 0 1 1 0
nålefiskfamilien Ruse 0 0 1 0 0 0
paddetorsk Ruse 2 0 0 0 0 1
paddetorsk Garn 9 0 0 0 0 0
panserulke Ruse 1 0 0 0 0 0
pigghå Garn 2 0 0 0 1 14
piggskate Garn 19 70 0 41 23 14
piggskate Ruse 0 0 0 2 0 0
piggulke Ruse 0 0 0 0 1 0
piggvar Garn 2 1 0 0 0 0
pyntekrabber Garn 1 15 29 3 2 8
pyntekrabber Ruse 0 9 8 6 5 6
reker Ruse 0 0 0 0 0 1
rognkjeks Garn 4 5 108 11 16 24
rognkjeks Ruse 0 0 3 0 0 2
rødspette Garn 4 5 2 0 0 2
rødspette Ruse 0 0 0 0 1 1
sandflyndre Garn 9 13 21 3 26 12
sandflyndre Ruse 0 0 0 1 0 0
sandkutling Ruse 1 0 0 0 0 0
sei Garn 38 38 66 22 32 43
sei Ruse 11 14 70 7 39 73
sild Garn 0 0 1 0 0 18
skarver Garn 6 3 1 2 1 1
skatefamilien Garn 0 0 0 1 1 4
skrubbe Garn 24 0 3 5 47 6
skrubbe Ruse 2 0 1 1 4 2
slettvar Garn 1 2 0 0 0 0
småflekket rødhai Garn 0 0 0 0 0 1
st.petersfisk Garn 0 0 1 0 0 1
stor kantnål Garn 1 0 0 0 0 0
stor kantnål Ruse 1 0 0 0 0 0
storskarv Ruse 0 1 0 0 0 0
storskarv Garn 1 0 0 0 0 0
stort kamskjell Garn 0 2 0 0 1 1
strandkrabbe Garn 109 94 445 5 2 145
strandkrabbe Ruse 83 68 994 119 97 852
strandreke Ruse 0 3 0 0 0 0
svartkutling Ruse 34 29 6 4 6 9
svartkutling Garn 0 0 0 0 0 1
svømmekrabber Ruse 2 0 0 0 0 2
Syngnathinae Ruse 0 0 1 0 0 0
sypike Garn 292 166 79 112 88 170
sypike Ruse 102 43 22 60 88 112
tangbrosmeslekten Ruse 0 0 3 0 1 0
taskekrabbe Garn 704 849 1041 278 1060 769
taskekrabbe Ruse 182 172 176 33 115 42
torsk Garn 191 82 268 188 190 401
torsk Ruse 0 5 71 16 34 93
tretrådet tangbrosme Garn 0 0 1 0 0 0
tretrådet tangbrosme Ruse 0 0 4 0 0 0
trollhummer Garn 8 5 1 0 2 0
trollhummer Ruse 1 3 3 2 2 1
Tunge Garn 1 0 0 0 0 0
ulkefamilien Garn 0 0 0 0 1 0
ulkefamilien Ruse 1 0 2 1 0 0
ulkefisker Ruse 0 0 1 0 0 0
vanlig fløyfisk Garn 0 0 1 0 0 1
vanlig fløyfisk Ruse 0 0 0 0 0 1
vanlig ulke Garn 19 3 1 1 0 4
vanlig ulke Ruse 23 14 22 1 1 12
varslekten Garn 1 0 0 1 0 0
Xantho pilipes Garn 6 0 0 0 0 0
ærfugl Garn 2 0 0 0 0 0
ål Ruse 19 9 28 1 22 23
ål Garn 1 0 0 0 0 1
ålebrosmeslekten Ruse 0 0 1 0 0 0
ålefamilien Ruse 0 0 0 0 0 1
ålekvabbe Ruse 0 0 9 0 0 0
åttearmete blekkspruter Ruse 0 0 1 0 0 0

 

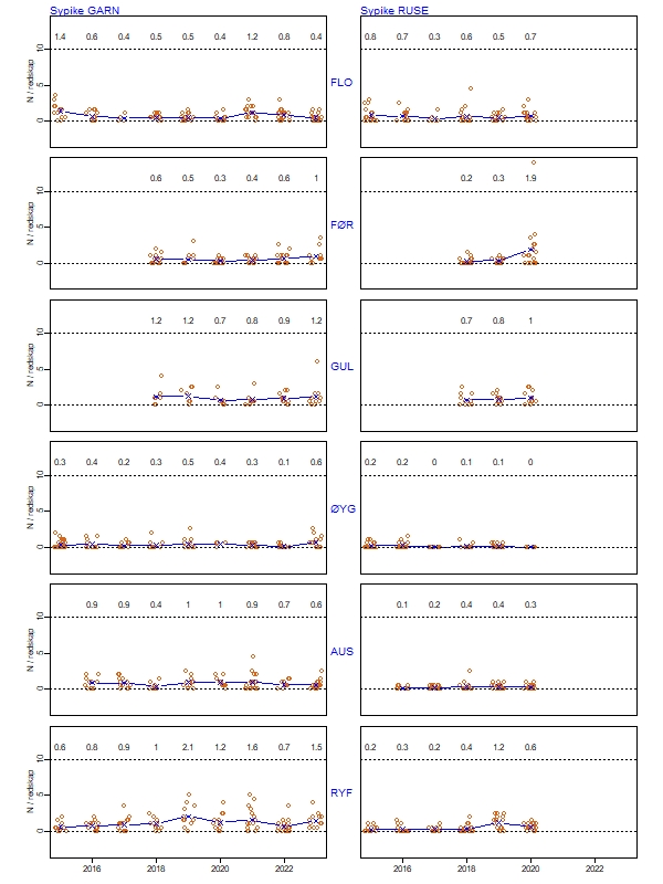
Vedlegg 2.  Figurar over CPUE per art, dei 10 vanlegaste artane.

Torsk

Sei

Lyr

Sypike

Sypike

 

Berggylt

Taskekrabbe

Strandkrabbe