Gå til hovedinnhold

Vandring hos postsmolt av laks fra Vikedals- og Dirdalselven i Boknafjorden 2021

Sammendrag

Forsøkene med sporing av vandring hos laks ved hjelp av akustisk telemetri startet i 2020, hvor laksesmolt fra Dirdalselven (n=150) i Høgsfjorden og Vikadalselven (n=148) i Vindafjord ble fanget og merket med akustiske merker. Dette forsøket ble fulgt opp i 2021 hvor det ble merket 148-150 laks fra hver av disse elvene. Denne rapporten omhandler resultatene fra 2021.

Smoltens utvandring fra elvene og deres vandring i Boknafjorden ble undersøkt ved å sette ut lyttebøyer som detekterer lydsignalet fra de akustiske merkene. I hver av elvene ble det plassert ut 3 akustiske loggere, samt at temperatur og vannhøyde ble registrert på ett punkt i hver elv.

Utvandringen av akustisk merket laks i 2021 fra Dirdalselven foregikk i tidsrommet fra 20. april til 7. juni. Halvparten av fisken utvandret mellom 14. og 25. mai. Median dato for ankomst til nederste lyttebøye var 23. mai. I Vikedalselven ble fisk registrert på den nederste bøyen fra 23. april til 3. juni. Median ankomst dato til nederste logger var 9. mai. I begge elvene foregikk hovedtyngden av utvandringen om natten. Til sammenligning hadde i 2020 halvparten av fisken hadde vandret ut 22. og 19. mai for henholdsvis Dirdals- og Vikedalselven. Utvandringen fra Dirdalselven var i tidsperioden (29. april – 5. juni), men høyest antall vandret ut 4.-5. og 20.-23. mai. Utvandringen fra Vikedalselven var konsentrert til tidsrommet 12.-23. mai, med størst utvandring 21.-23. mai.

Totalt overlevde 36% (n=54) av fisken fra Dirdalselven fra merking (n=150) til den forlot fjorden, for Vikedalselven overlevde 15% (n=22) av de merkede fiskene (n=148). Forholdet er sammenlignbart med 2020. I 2021 var overlevelsen i Vikedalselven lavere enn i Dirdalselven (55 vs. 77%) og i sonen utenfor elven (54 vs. 92%).

Den merkede laksen fra Dirdalselven svømte ut av Høgsfjorden både gjennom Byfjorden, Mastrafjorden og Talgjefjorden. Noen få fisk ble registrert lengre øst, i Fogna- og Finnøyfjorden. Den merkede laksen fra Vikedalselven vandret korteste vei ut, dvs. Nedstrandsfjorden og deretter vestover.

I snitt hadde den merkede laksen fra Dirdalselven en gjennomsnittlig progresjonshastighet fra elvemunningen til de ytre lyttebøyene på 14,4 km/dag (tilsvarende 0,6 km/h, 0,17 m/s eller 1,22 kroppslengder/s). Progresjonshastigheten var relativt lik i alle delene av vandringsruten (0,14 m/s i område A, 0,11 m/s i område B og 0,20 m/s i område C).

Den merkede laksen fra Vikedalselven hadde en gjennomsnittlig progresjonshastighet fra elvemunningen til de ytterste lyttebøyene på 13,5 km/dag (dvs. 0,56 km/h, 0,16 m/s eller 1,23 kroppslengder/s). Progresjonshastigheten var betydelig lavere i Vindafjordsystemet (snitt 0,07 m/s) i forhold til den midtre (snitt 0,29 m/s) og ytre (snitt 0,27 m/s) sonen. Fisken fra begge elvene har derfor brukt 4-5 dager fra elvemunning til de ytterste lyttebøyene.

Laksen fra Dirdalselven brukte i gjennomsnitt 4,6 dager (range 1,7 – 11,2 dager) fra elvemunningen til en av de ytterste lyttebøyene. 75% av individene brukte under 5 dager. Laksen fra Vikedalselven brukte i snitt 4,6 dager (range 2,1 - 8,5 dager) fra de forlot elven til de nådde gardinen ytterst i Boknafjorden. 

1 - Introduksjon

Veksten til havbruksnæringen er per i dag styrt av effekten lakselus fra oppdrett har på vill laksefisk, hvor effekten på utvandrende vill postsmolt av laks er vektlagt.

Den raske økningen i oppdrett av laks har medført ett økt smittepress for vill laksefisk i områder med intensivt lakseoppdrett. Å holde smittepresset av lakselus på ett akseptabelt nivå for vill laksefisk er nå styrende for muligheten oppdrettsnæringen har til å vokse (det såkalte Trafikklyssystemet). I vurderingen av hva som er akseptabel miljøbelastning fra oppdrett vurderes blant annet dødeligheten til utvandrende postsmolt laks. For å estimere dødeligheten på utvandrende postsmolt av laks gjennomføres både en tråling etter laks (Nilsen et al., 2021), samt at det benyttes såkalte virtuelle smoltmodeller (Kristoffersen et al., 2018; Johnsen et al., 2021). Dette er datamodeller hvor en simulerer vandringen til laks ut fjordene. I disse modellene inngår utvandringstider, form på utvandring, vandringsrute og progresjonshastighet. Per i dag antar vandringsmodellene at den utvandrende postsmolten vandrer korteste rute fra elv til hav, og det gis en fast svømmehastighet.

I hvilken grad laks smittes av lakselus både i modellen og virkeligheten er avhengig av hvor den vandrer, hvor lenge den er eksponert for lakselus, og tettheten av lakselus i laksens vandringsrute. Avvik fra antatt vandringsrute kan ha vesentlig betydning for estimatene på smitte, og derav estimert lakselusrelatert dødelighet.

Målet med forsøket var å kartlegge utvandring, vandringsrute og progresjonshastighet for smolt fra to elver i Boknafjordsystemet, Dirdals- og Vikedalselven. For å gjøre dette ble smolt merket med akustiske merker i elvene, og deres utvandring, vandringsrute og progresjonshastighet ble undersøkt ved å plassere ut lyttebøyer i elven, i elveutløpet, og strategisk i Boknafjorden. Denne rapporten summerer resultatene fra 2021.

Prosjektet er finansiert av Mattilsynets OK program lakselus, Rogaland fylkeskommune (2020) og Havforskningsinstituttet (prosjekt 15696 – Overvåking av lakselus). Vi vil rette en svært stor takk til Knut Ståle Eriksen (NJFF) og lokale elveeiere for lokalkunnskap, hjelp med fangst av smolt og gjennomføring av forsøket.

2 - Materiale og metode

I korthet er metoden basert på at laksesmolt fanges i elv før utvandringen starter, merkes med merker som sender ut lydsignaler før de settes ut igjen omtrent på samme sted de ble fanget. Lydsignalene fra merkene oppfattes av lyttebøyer som er strategisk posisjonert i elven, i utløpet av elv (for å bestemme når fisken utvandret) og i fjorden for å kunnen spore vandringsrute ut gjennom fjorden, samt beregne progresjonshastighet og dødelighet i de ulike delene av fjorden. Samtidig overvåkes elvens endring i vannivå og temperatur, da disse er vist å være viktige for når fisken vandrer.

2.1 - Områdebeskrivelse

Boknafjorden er et utypisk Norsk fjordsystem i Rogaland. Den består av et bredt ytre fjordbasseng med flere større øyer. Videre innover forgreiner fjorden seg inn i flere smale og dype fjordarmer som blant annet Høgsfjorden, Lysefjorden, Jøsenfjorden, Sandsfjorden og Vindafjorden. Kompleksiteten i Boknafjordsystemet gir utvandrende laksefisk flere alternative vandringsruter med potensielt ulik risiko for påslag av lakselus. Det er registrert 17 vassdrag med laksebestander som drenerer ut i Boknafjordsystemet (Figur 1). Av disse har Suldalslågen den største laksebestanden, etterfulgt av Espedalselva, Årdalselva og Vikedalselva.

Figuren viser de lakseførende elvene plottet på ett kart over Rogaland.
Figur 1. Lakseførende elver i Boknafjordområdet. Undersøkte elver er markert med røde punkter. Grønne områder viser nasjonale laksefjorder.

Dirdalselva (030.2Z) og Vikedalselva (038.Z) ble valgt da vi ønsket en geografisk spredning mellom sør og nord i Boknafjordsystemet. I tillegg måtte vassdragene ha en håndterbar størrelse til både fangst av fisk samt utplassering av lyttebøye til registrering av utvandringstid.

Dirdalselva i den sørlige delen av Boknafjordsystemet renner ut i Høgsfjorden ved Dirdal i Gjesdal kommune. Elva har en middelvannføring på 11,7 m3/s fra et nedslagsfelt på omtrent 158 km2. Vassdraget har en anadrom strekning på 8,5 km og et gytebestandsmål for laks på 310 kg hunnfisk. Dette gir en teoretisk produksjon på i underkant av 20 000 smolt. Median utvandringstid for laks i Dirdalselva er estimert til 13. mai (Vollset et al., 2021b), etter ny modell beregnet til 9. mai (Vollset et al., 2021a).

Vikedalselva i den nordlige delen av Boknafjordsystemet renner ut ved Vikedal i Vindafjorden i Vindafjord kommune. Elva har en middelvannføring på 9 m3/s fra et nedslagsfelt på omtrent 119 km2. Vassdraget består av flere større innsjøer, men det anadrome strekket er på omtrent 10 km mellom Vikedal og Låkafoss. Gytebestandsmålet for Vikedalselva er på 736 kg hunnfisk. Dette gir en teoretisk produksjon på vel 32 000 smolt. Median utvandringstid for Vikedalselva er estimert til 13. mai (Vollset et al. , 2021b), etter ny modell beregnet til 10. mai (Vollset et al., 2021a). Vassdraget er ikke regulert.

2.2 - Utlegg av lyttebøyer

Lyttebøyene er passive hydrofoner som lytter etter kodede lydsignaler på 69 KHz fra små sendere på merket fisk. Lyttebøyene lagrer informasjon om fiskens ID, tid/dato eventuell annen informasjon fra senderen. Det er ikke gjort spesifikk test av rekkevidde på lydsignalet under dette studiet, men tilsvarende sendere har gitt en sikker rekkevidde på minst 200 m ved lignende studier (Hardanger, Balsfjord).

I 2021 ble det satt ut 83 lyttebøyer (Vemco VR2Tx eller VR2AR) for å dekke alle utvandringsveier gjennom og ut av Boknafjorden (Figur 2). Så fremt det var mulig ble alle lyttebøyer plassert på 15 m dyp i sjøen. I tillegg ble det plassert ut lyttebøyer i utløpet til begge elvene for registrering av utvandringstid, samt tre lyttebøyer i Dirdals- og i Vikadalselven. En del (n=7) av lyttebøyene er ikke gjenfunnet.

Figuren viser plasseringen av lyttebøyene på ett kart over Rogaland.
Figur 2. Posisjonering av lyttebøyene i Boknafjorden 2021. FW indikerer lyttebøyer i elv.

2.3 - Merking av fisk

Fisk i begge elvene ble fanget i forkant av forventet utvandring. Det ble brukt både smoltruse og elektrisk fiskeapparat til fangsten. De fleste individer ble fanget med el-fiskeapparat. Fangsten ble gjort på flere steder i den nedre delen av det anadrome strekket av vassdraget. All fangst ble transportert skånsomt til en merkestasjon ved elvebredden. Fisk ble holdt inntil 12 timer i romslige oppbevaringsenheter i elva i påvente av merking. Før videre håndtering ble fisken bedøvd med Benzoac VET (15-20 ml/100 l vann). Når fisken var tilstrekkelig bedøvd ble det målt lengde og vekt, samt tatt en vevsprøve av halefinnen til genetiske analyser. Den akustiske senderen (merket) ble deretter plassert i bukhulen på fisken gjennom et snitt, og såret lukket med sutur (1-2 sting). Etter merking ble fisken observert i et oppbevaringskar til allmenntilstanden ble vurdert som god. Fisken ble deretter sluppet tilbake i elva ved merkestasjonen.

I 2021 ble fisken merket med de minste akustiske merkene tilgjengelige. All laksen ble merket med ID-LP6 (Thelma Biothel), som er 6,3 mm i diameter, 14,5 mm lange, og veier 1,2 g i luft, 0,7 g i vann. Senderne er programmert til å sende signal hvert 30-90 sekund, og estimert batterilevetid er 98 dager. Sendestyrken er 137 (dB re 1 uPa @ 1m). Merkene sender bare ID.

Fisken ble merket i tidsrommet 15. – 26. april 2021. Totalt 148 smolt i Vikedalselven ble merket 15. (N=29), 18. (N=23), og 22.-26. (N=96) april 2021, mens totalt 150 smolt i Dirdalselven ble merket 16.-17. (N=100) og 23.-24. (N=50) april 2021.

2.4 - Hydrografiske data

For å kunne registrere vanntemperatur og relativ endring av vannstand i elvene ble det i forbindelse med utlegg av lyttebøyer også lagt ut en datalogger (Solinst, Levellogger 5) i begge vassdrag. Dataloggeren registrerte og lagret vanntemperatur (til nærmeste 0,1 grader C) og vannstand (til nærmeste 0,5 cm over loggeren) hver time. Registrert vannstand ble kalibrert mot endringer i lufttrykk ved hjelp av en lufttrykkslogger (Solinst, Barlogger 5) som var utplassert ved bredden av vassdragene. Målt vannstand er ikke direkte overførbart til vannføring (m3/s) da ulik elveprofil vil gi forskjellig vannstandsøkning ved økende vannføring. Målingene er likevel en god indikasjon på perioder med høy og lav vannstand, samt endringer i vanntemperatur. I Dirdalselva ble dataloggeren plassert omtrent 5 km fra utløpet (58,80702 N 6,25056 Ø) 17. april. I Vikedalselva ble dataloggeren plassert ut omtrent 3 km fra utløpet (59,51572 N 5,92967 Ø) 15. april. Dataloggerne ble tatt inn fra Vikedalselva og Dirdalselva henholdsvis 18. og 20. august 2021.

2.5 - Dataanalyse

Utvandringstid er estimert fra siste deteksjon i elv (Vikedalselven), eller første deteksjon i sjø (Dirdalselven). For beregninger av dødelighet og vandringshastighet ble fjorden delt i 5 områder (A-E) (Figur 3). Vandringshastighet er beregnet fra siste deteksjon i gardinen den forlater til siste deteksjon i gardinen den kommer til. Avstanden er korteste avstand (sjøveis) mellom bøyene. Dødelighet er beregnet for hvert område som andelen av fisk som gikk inn i område, men ikke detektert senere.

Figuren viser plasseringen av lyttebøyene på ett kart over Rogaland, og hvilke soner området er delt inn i for dataanalysene.Sone A er innerst ved Dirdalselven, E innerst ved Vikedalselven, A er Høgsfjorden, E Vindafjorden, C og B er de ytterste sonene på hhv. nord og sørsiden.
Figur 3. Sonene omtalt ved estimering av progresjonshastighet og dødelighet.

 

3 - Resultater

3.1 - Dirdalselven

3.1.1 - Utvandring

I Dirdalselven var det posisjonert 3 lyttebøyer nedstrøms for hvor fisken ble sluppet etter merking (Figur 4). Deteksjonene på de to øvre er noe mangelfulle.

Figuren viser hvor lyttebøyene er plassert i Dirdalselven som røde punkter i ett bile.
Figur 4. Posisjonering av lyttebøyene i Dirdalselven, fisken ble sluppet ovenfor den øverste lyttebøyen.

Lyttebøyene i Dirdalselven registrerte 28 (øverst), 6 (midtre) og 77 (nederst) individer (Figur 5). Det ble videre registrert 71 individer i elvemunningen (i sjøen).

Den første deteksjon på den nederste lyttebøyen i Dirdalselven var 20. april, mens siste fisk ble detektert 7. juni. Fisk vandret raskt forbi den nederste lyttebøyen: 75% av individene brukte under 24 minutter. Halvparten av fisken utvandret mellom 14. og 25. mai, med en liten utvandringsøkning 7-10. mai, og en mye større utvandring 19. - 24. mai. Median dato for ankomst til nederste lyttebøye var 23. mai.

Figuren viser den daglige økningen av deteksjoner av fisk på de 3 lyttebøyene i Dirdalselven.
Figur 5. Akkumulert antall laks registret på de tre lyttebøyene i Dirdalselven. Blått område indikerer dato når 25-75% av fisken ble registrert første gang på den nederste lyttebøyen (blå linje), mens stiplet linje indikerer median tid for første deteksjon på denne.

Temperatur og vannstand for Dirdalselven er vist i Figur 6. Første vannøkning kom rundt 17. april, den neste og mye kraftigere økningen kom rundt 10. mai, og en ny topp i vannnivå kom fra 21. mai. Temperaturen økte fra om lag 5 til 7 °C utover mai, med en kraftig økning til om lag 15 °C første uken i juni.

Figuren viser den daglige temperaturen, vannføringen som linjer, samt stolpediagram som viser antall utvandrende fisk i Dirdalsselven.
Figur 6. Vannstand (blå linje), vanntemperatur (rød linje) og antall fisk (stolper) utvandret i Dirdalselven 2022. Median dato for utvandring er vist som vertikal tykk stiplet linje, tynne stiplete linjer viser dato for når 25 og 75% av fisken har utvandret. Antall er ikke vist i figuren, men ved utvandringen 23. mai utvandret 10 fisk.

Utvandringen viste at de fleste laksene utvandret om natten, mellom 23:00 og 02:00 UTC (Figur 7). UTC er to timer bak norsk sommertid.

Figuren illusterer en klokke som viser når på døgnet fisken har vandret ut.
Figur 7. Tid på døgnet for første registrering på den første lyttebøyen i estuariet utenfor Dirdalselven. Den blå linjen på den ytterste sirkelen viser snitt, og range viser standardfeil. Alle barene summerer til 100%. Grått område viser tiden mellom solnedgang og soloppgang 9. mai 2022. Tidene er oppgitt i universell tid UTC, dvs. to timer bak norsk sommertid.

3.1.2 - Vandring i fjorden

Av de 150 laksene som ble merket i Dirdalselven, døde 34 i elven (Figur 8), 9 i område A (før Høgsfjord), 37 i område B og 15 i område C. Totalt 54 individer (ca. 36% av all merket fisk) overlevde fjordvandringen, og forlot fjorden enten forbi Randaberg (n=22), Mastrafjorden (n=2) eller ytre Boknafjord (n=30). Totalt ble det registrert 11 fisk gjennom Mastrafjorden, 9 av dem ble senere detektert i den ytre gardinen. Siden det er teoretisk mulig at fisken har svømt gjennom Mastrafjorden og ikke blitt detektert i den ytre gardinen, er de to siste også antatt å ha fullført vandringen i fjorden. Det ble ikke registrert fisk i Askjesundet.

Figuren viser overlevelsen til fisk som stolpediagram
Figur 8. Overlevelsen i de ulike sonene i fjorden. Dødeligheten er beregnet som endringer i % av antall fisk som er detektert inn i, men ikke ut av sonen. Dødeligheten i elven (FW) er % av antall laks merket som ikke er detektert i en av sonene i sjøen.

Migrasjonsrutene til laksen er vist i Figur 9. Merk at linjene er basert på en antatt korteste vandringsrute mellom to lyttebøyer, og laksen kan ha valgt en annen rute enn det som indikeres her. Figuren viser at av de 30 fiskene som utvandret gjennom lyttebøyene plassert ytterst i Boknafjorden passerte de fleste (n=19) gjennom Talgjesundet og Mastrafjorden (n=9), men noen få individer ble også detektert lengre øst. Data indikerer at i underkant av halvparten av fisken fulgte korteste rute ut av fjorden (dvs. forbi Randaberg).

Figuren viser de enkelte fiskenes korteste rute plottet som streker fra Dirdalselven og utover på ett kart over Rogaland.
Figur 9. Individuelle migrasjonsruter for laks merket i Dirdalselven som er detektert på en eller flere lyttebøyer. Merk at linjene viser korteste avstand (i sjø) mellom to lyttebøyer hvor fisken er detektert. Røde punkter viser lyttebøyene.

Ved vandringen i Høgsfjorden og gjennom gardinen i ytre deler av Boknafjorden ble det detektert laks på de fleste lyttebøyene (Figur 10). I Høgsfjorden brukte laksen hele fjordens bredde, men det var færre fisk langs land (merk at merkene har 200m deteksjonsgrense). I utløpet av Boknafjorden brukte også fisken hele fjordens bredde, men med flest deteksjoner på den nordlige halvdelen.

Figuren viser antall fisk detektert på løyttebøyene i Høgsfjorden og i de ytterste lyttebøyene i ett kart.
Figur 10. Antall deteksjoner på gardinene i Høgsfjorden (venstre figur) og i ytre Boknafjord (høyre figur) for laks som er merket i Dirdalselven. Merk ulik symbolforklaring i figurene. Tomme sirkler indikerer lyttebøyer uten deteksjoner. Tapte lyttebøyer er ikke vist.

3.1.3 - Progresjonshastighet

Gjennomsnittlig progresjonshastighet fra elvemunningen til de ytre lyttebøyene (n=32, inkluderer bare fisk både detektert i elvemunningen og i de ytre gardinene) var 14.4 km/dag (tilsvarende 0.6 km/h, 0.17 m/s eller 1.22 kroppslengder/s) (Figur 11).

Progresjonshastigheten var relativt lik i alle delene av vandringsruten (0.14 m/s i område A, 0.11 m/s i område B og 0.20 m/s i område C) (tilsvarende i kroppslengder i sekundet er 1.09 i område A, 0.82 i område B og 1.51 i område C).

Figuren viser vandringshastighet som stolpediagram
Figur 11. Figuren viser individuelle progresjonshastigheter (sirkler) i hvert område og totalt (dvs fra elv til de ytterste lyttebøyene), beregnet både som m/s og kroppslengder i sekundet. Boksen viser 25-75% kvartilene, vertikal linje i boksen median. Antall brukt i beregningene er vist i figuren (n).

Laksen fra Dirdalselven brukte i gjennomsnitt 4.6 dager (range 1.7 - 11.2) fra elvemunningen til en av de ytterste lyttebøyene. 75% av individene brukte under 5 dager.

Fisken som utvandret forbi Randaberg ble registrert der hovedsakelig i tidsrommet 15-20. mai, mens fisk hovedsakelig ble registrert i den ytre gardinen 23. mai – 2. juni (Figur 12).

Figuren viser dato fisken er registrert på de ytterste lyttebøyene som boksplott.
Figur 12. Ankomsttider til ytre fjord for fisk merket i Dirdalselven.

3.2 - Vikedalselven

3.2.1 - Utvandring

Det var plassert 3 lyttebøyer i Vikedalselven (Figur 13). Fisken ble fanget, merket og sluppet ovenfor den øverste lyttebøyen.

Figuren viser hvor lyttebøyene er plassert i Vikedalselven som røde punkter i ett bile.
Figur 13. Posisjonen til de tre lyttebøyene (røde sirkler) plassert i Vikedalselven. Fisken ble sluppet ovenfor den øverste lyttebøyen. Nummerene i sirklene er bøyenr.

Lyttebøyene i Vikedalselven registrerte 123 (øverst), 107 (midtre) og 98 (nederst) individer (Figur 13). Den første deteksjon i den nederste lyttebøyen i Vikedalselva ble registrert 23.april, mens siste fisk ble detektert her 3.juni. Median ankomst dato til nederste logger var 9. mai. Fisk vandret raskt forbi den nederste logger: 75% av individene som ble etterpå detektert i sjøen (n=44) brukte under 22 minutter på det.

Figuren viser den daglige økningen av deteksjoner av fisk på de 3 lyttebøyene i Vikedalselven.
Figur 14. Akkumulert antall laks registret på de tre lyttebøyene i Vikedalselven. Blått område indikerer tiden når 25-75% av fisken ble registrert første gang på den nederste lyttebøyen (blå linje), mens stiplet linje indikerer median tid for første deteksjon på denne.

Temperatur og vannstand er vist i figur 15. Utviklingen i vannstand følges tett i de to elvene. Første vannøkning kom rundt 17. april, den neste og mye kraftigere økningen kom rundt 10. mai, dernest en mindre økning rundt 25. mai. Temperaturen økte fra om lag 5 til 10 °C utover mai, med en kraftig økning til om lag 15 °C i slutten av mai.

Figuren viser den daglige temperaturen, vannføringen som linjer, samt stolpediagram som viser antall utvandrende fisk  i Vikedalselven.
Figur 15. Vannstand (blå linje), vanntemperatur (rød linje) og antall fisk (stolper) utvandret i Vikedalselven 2022. Median dato for utvandring er vist som vertikal tykk stiplet linje, tynne stiplete linjer viser dato for når 25 og 75% av fisken har utvandret. Antall er ikke vist i figuren, men ved utvandringen 10. mai utvandret 23 fisk.

De aller fleste individene svømte ut av elven (dvs. forbi den nederste logger) på kvelden, mellom 21:00 og 01:00 UTC (UTC er to timer bak norsk sommertid) (Figur 16).

Figuren illusterer en klokke som viser når på døgnet fisken har vandret ut.
Figur 16. Tid på døgnet for første registrering på den nederste lyttebøyen i Vikedalselven. Den blå linjen på den ytterste sirkelen viser snitt, og range viser standardfeil. Alle barene summerer til 100%. Grått område viser tiden mellom solnedgang og soloppgang 9. mai 2022. Tidene er oppgitt i universell tid UTC, dvs. to timer bak norsk sommertid.

3.2.2 - Vandring i fjorden

Dødeligheten i de ulike delene av vandringsruten var høy (Figur 17). Av de 148 laksene som ble merket, forsvant 66 i elven, 38 i område E (hvorav 37 hadde siste deteksjon på den nederste lyttebøyen i elven), 13 i område D og 9 i område C. Bare 22 merket fisk (ca. 15% av all merket fisk) nådde lyttebøyene ytterst i fjorden.

Figuren viser overlevelsen til fisk som stolpediagram
Figur 17. Overlevelsen i de ulike sonene i fjorden. Dødeligheten er beregnet som endringer i % av antall fisk som er detektert inn i, men ikke ut av sonen. Dødeligheten i elven (FW) er % av antall laks merket som ikke er detektert i en av sonene i sjøen.

De individuelle vandringsrutene for laks merket i Vikadalselven er vist i Figur 18. Merk at linjene representerer korteste vei i sjø mellom to lyttebøyer hvor fisken er detektert, og kan avvike fra fiskens reelle rute. Figuren viser at fisken hovedsakelig vandrer ut langs den nordlige siden eller midt i fjorden.

Figuren viser de enkelte fiskenes korteste rute plottet som streker fra Vikedalselven og utover på ett kart over Rogaland.
Figur 18. Individuelle migrasjonsruter for laks merket i Vikedalselven som er detektert på en eller flere lyttebøyer. Merk at linjene viser korteste avstand (i sjø) mellom to lyttebøyer hvor fisken er detektert. Røde punkter viser lyttebøyene.

Ved vandringen i Nedstrandfjorden og gjennom gardinen i ytre deler av Boknafjorden ble det detektert laks på de fleste lyttebøyene (Figur 19), men i Nedstrandfjorden hovedsakelig på de nordlige lyttebøyene, og ytterst i Boknafjorden på hovedsakelig de midterste, og dernest de nordlige lyttebøyene. Få fisk ble registrert i den sørlige delen. Utvandringen fra Vikedalselven gjennom Nedstrandsfjorden og utover foregår derfor trolig hovedsakelig i midtre og nordlige deler av fjorden.

Figuren viser antall fisk detektert på løyttebøyene i Nedstrandsfjorden og i de ytterste lyttebøyene i ett kart.
Figur 19. Antall deteksjoner på gardinene i ytre Boknafjord (høyre figur) og i Nedstrandfjorden (venstre figur) for laks som er merket i Vikedalselven. Merk ulik symbolforklaring i figurene. Tomme sirkler indikerer lyttebøyer uten deteksjoner. Tapte lyttebøyer er ikke vist.

3.2.3 - Progresjonshastighet

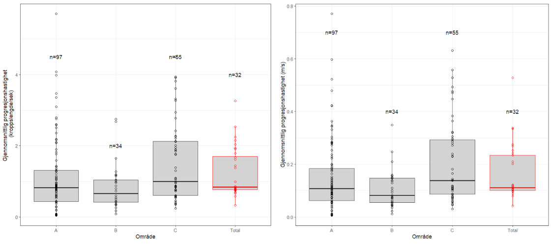
Progresjonshastigheten fra elvemunningen til ytterste gardin (n=21) var 13.5 km/dag ((dvs. 0.56 km/h, 0.16 m/s eller 1.23 kroppslengder i sekundet). Progresjonshastigheten var betydelig lavere i Vindafjordsystemet (område E, snitt 0.07 m/s) i forhold til den midtre (sone D, snitt 0.29) og ytre (sone C, snitt 0.27 m/s) sonen. Disse progresjonshastighetene tilsvarer hhv. 0.54, 2.24 og 2.07 kroppslengder i sekundet i sonene E, D og C.

Figuren viser vandringshastighet som stolpediagram
Figur 20. Figuren viser individuelle progresjonshastigheter (sirkler) fra elv til de ytterste lyttebøyene beregnet både som m/s og kroppslengder i sekundet. Boksen viser 25-75% kvartilene, vertikal linje i boksen median. Antall brukt i beregningene er vist i figuren (n).

Laksen fra Vikedalselven brukte i snitt 4,6 dager (range 2,1 - 8,5 dager) fra de forlot elven til de nådde gardinen ytterst i Boknafjorden (tiden er beregnet bare for fisk både detektert i den nederste lyttebøyen i elven og i gardinen ytterst, n = 21). På tross av variasjonen i tid for utvandring, ble 75% av fisken detektert på den ytterste gardinen 13.-15. mai.

4 - Diskusjon

I 2021 ble forløp i utvandringen og vandring gjennom fjorden fra Vikedals (i Vindafjorden) og Dirdalselven (i Høgsfjorden) undersøkt ved hjelp av akustisk telemetri hvor det var plassert lyttebøyer i både elv og i fjorden. Totalt ble det fanget og merket 148 fisk i Vikedalselven, 150 i Dirdalselven i elven fra 15. til 26. april. Fisken ble satt tilbake ved merkestasjonen, på samme sted for all fisken fanget.

Den merkede laksen fra Dirdalselven utvandret i to topper, med en andel rundt 10. mai, hovedtyngden rundt 23. mai. I Vikedalselven vandrer hovedtyngden av den merkede laksen rundt 10. mai. I begge elvene startet utvandringen i april, og det var ett jevnt sig av utvandrende fisk frem til ca. 7. mai, hvor utvandringen økte. Utvandringen til laks styres i stor grad av miljø, spesielt endringer i daglengde (fotoperiode) og temperatur (Otero et al., 2014; Haraldstad et al., 2017; Harvey et al., 2020) er vist å være viktige. Vannøkningen (målt som vannhøyde, ikke reell vannføring), økte fra 10. mai. Utvandringen startet derfor ett par dager før den kraftige vannøkningen. Noe av den merkede fisken fra Vikedalselven utvandret fra slutten av april til 11. mai (median dato 9. mai). I tidsrommet frem til 9. mai er det små endringer i vannivå, mens temperaturen er økende i hele denne perioden. Økningen i utvandring 10. mai sammenfaller med økning i vannivå. Smolten utvandret hovedsakelig på natten, tilsvarende som observert i andre studier (Haraldstad et al., 2017). Dataene indikerer derfor en sammenheng mellom utvandring og økende vannføring, men antall fisk er noe lavt, samt at bare de største av smoltene kunne merkes, noe som kan påvirke resultatene (Hulbak et al., 2021). Utvandringsdata skal derfor tolkes med en viss varsomhet.

Dødeligheten var svært ulik for smolt fra de to elvene. Spesielt var dødeligheten i elven og i sonen utenfor elven høy for smolt fra Vikedalselven i forhold til smolt fra Dirdalselven. 2020 ble det observert (men merk lavt antall) bedre overlevelse i elv, mens dødeligheten i sonen rett utenfor elven da var høy. Årsaken til den relativt høyere dødeligheten i denne sonen i forhold til Dirdalselven kjennes ikke, men dødeligheten i den tidlige fasen av fjordvandringen knyttes ofte til predasjon fra fisk, fugler og pattedyr (Thorstad et al., 2012). Det kan også skyldes vandringsmønsteret, da smolten fra Vikedalselven hadde lavere progresjonshastighet i denne sonen.

Smolten fra Vikedalselven vandret hovedsakelig korteste vei fra elvemunningen til de ytterste lyttebøyene, mens smolten fra Dirdalselven vandret ut i nær alle delene av Høgsfjorden, spesielt gjennom Byfjorden, Mastrafjorden og Talgjefjorden. I de virtuelle smoltmodellene benyttes korteste utvandringsrute fra elv til kyst (Kristoffersen et al., 2018; Johnsen et al., 2021). Årsakene til at en laks velger vandringsrute er dårlig kartlagt. Flere studier har knyttet migrasjonen til postsmolt til miljøfaktorer, ved å simulere migrasjonsrutene basert på regler for adferd og hydrodynamiske strømmodeller (Mork et al., 2012; Moriarty et al., 2016; Ounsley et al., 2020). Disse studiene indikerer at regionale forskjeller i migrasjonsadferd, hvor fisken både kan følge vannstrømmen, eller ha en mer direkte vandringsrute uavhengig av strømmene. Dataene bør derfor kobles mot hydrodynamiske strømmodeller for å avklare eventuelle preferanser for strømretning, saltholdighet og temperatur.

Smolten både fra Dirdalselven og Vikedalselven brukte i snitt nær 5 dager på vandringen fra elvemunning til de ytterste lyttebøyene. Progresjonshastigheten for fisken fra begge elven ligger innenfor tidligere observerte hastigheter på 0,4-3 kroppslengder/s (Thorstad et al., 2004; 2012; Finstad et al., 2005; Økland et al., 2006; Davidsen et al., 2009; Plantalech Manel-La et al., 2009; Urke et al., 2013; Halttunen et al., 2018; Bjerck et al., 2021; Jensen et al., 2022)

5 - Referanser

Bjerck, H. B., Urke, H. A., Haugen, T. O., Alfredsen, J. A., Ulvund, J. B. & Kristensen, T. (2021). Synchrony and multimodality in the timing of Atlantic salmon smolt migration in two Norwegian fjords. Scientific Reports 11, 6504.

Davidsen, J. G., Rikardsen, A. H., Halttunen, E., Thorstad, E. B., Økland, F., Letcher, B. H., Skarðhamar, J. & Næsje, T. F. (2009). Migratory behaviour and survival rates of wild northern Atlantic salmon Salmo salar post-smolts: effects of environmental factors. Journal of Fish Biology 75, 1700-1718.

Finstad, B., Økland, F., Thorstad, E. B., Bjørn, Pål A. & McKinley, R. S. (2005). Migration of hatchery‐reared Atlantic salmon and wild anadromous brown trout post‐smolts in a Norwegian fjord system. Journal of Fish Biology 66, 86-96.

Halttunen, E., Gjelland, K. Ø., Glover, K. A., Askeland Johnsen, I., Serra-Llinares, R. M., Skaala, Ø., Nilsen, R., Bjørn, Pål A., Karlsen, Ø., Finstad, B. & Skilbrei, O. T. (2018). Migration of Atlantic salmon post-smolts in a fjord with high infestation pressure of salmon lice. Marine Ecology Progress Series 592, 243-256.

Haraldstad, T., Kroglund, F., Kristensen, T., Jonsson, B. & Haugen, T. O. (2017). Diel migration pattern of Atlantic salmon (Salmo salar) and sea trout (Salmo trutta) smolts: an assessment of environmental cues. Ecology Of Freshwater Fish 26, 541-551.

Harvey, A. C., Glover, K. A., Wennevik, V. & Skaala, Ø. (2020). Atlantic salmon and sea trout display synchronised smolt migration relative to linked environmental cues. Scientific Reports 10, 3529.

Hulbak, M., Hanssen, E. M., Lennox, R. J., Salvanes, A. G. V., Barlaup, B., Gharbi, N., Nilsen, T. O. & Vollset, K. W. (2021). Validating timing of salmon smolt runs obtained by telemetry studies. Fisheries Management and Ecology 28, 428-436.

Jensen, J. L. A., Strøm, J. F., Nikolopoulos, A., Primicerio, R., Skarðhamar, J., Atencio, B., Strand, J. E. T., Bjørn, P. A. & Bøhn, T. (2022). Micro- and macro-habitat selection of Atlantic salmon, Salmo salar, post-smolts in relation to marine environmental cues. ICES Journal of Marine Science 79, 1394-1407.

Johnsen, I. A., Harvey, A., Sævik, P. N., Sandvik, A. D., Ugedal, O., Ådlandsvik, B., Wennevik, V., Glover, K. A. & Karlsen, Ø. (2021). Salmon lice-induced mortality of Atlantic salmon during post-smolt migration in Norway. ICES Journal of Marine Science 78, 142-154.

Kristoffersen, A. B., Qviller, L., Helgesen, K. O., Vollset, K. W., Viljugrein, H. & Jansen, P. A. (2018). Quantitative risk assessment of salmon louse-induced mortality of seaward-migrating post-smolt Atlantic salmon. Epidemics 23, 19-33.

Moriarty, P. E., Byron, C. J., Pershing, A. J., Stockwell, J. D. & Xue, H. (2016). Predicting migratory paths of post-smolt Atlantic salmon (Salmo salar). Marine Biology 163, 74.

Mork, K. A., Gilbey, J., Hansen, L. P., Jensen, A. J., Jacobsen, J. A., Holm, M., Holst, J. C., Ó Maoiléidigh, N., Vikebø, F., McGinnity, P., Melle, W., Thomas, K., Verspoor, E. & Wennevik, V. (2012). Modelling the migration of post-smolt Atlantic salmon (Salmo salar) in the Northeast Atlantic. ICES Journal of Marine Science 69, 1616-1624.

Nilsen, R., Serra Llinares, R. M., Sandvik, A. D., Mohn, A. M., Harvey, A. C., Uglem, I., Lehmann, G. B. & Karlsen, Ø. (2021). Lakselusinfestasjon på vill laksefisk langs Norskekysten i 2021 - Med foreløpige data fra fokusområder. In Rapport fra Havforskningen 56-2021, p. 116.

Otero, J., L'Abée-Lund, J. H., Castro-Santos, T., Leonardsson, K., Storvik, G. O., Jonsson, B., Dempson, B., Russell, I. C., Jensen, A. J., Baglinière, J.-L., Dionne, M., Armstrong, J. D., Romakkaniemi, A., Letcher, B. H., Kocik, J. F., Erkinaro, J., Poole, R., Rogan, G., Lundqvist, H., MacLean, J. C., Jokikokko, E., Arnekleiv, J. V., Kennedy, R. J., Niemelä, E., Caballero, P., Music, P. A., Antonsson, T., Gudjonsson, S., Veselov, A. E., Lamberg, A., Groom, S., Taylor, B. H., Taberner, M., Dillane, M., Arnason, F., Horton, G., Hvidsten, N. A., Jonsson, I. R., Jonsson, N., McKelvey, S., Næsje, T. F., Skaala, Ø., Smith, G. W., Sægrov, H., Stenseth, N. C. & Vøllestad, L. A. (2014). Basin-scale phenology and effects of climate variability on global timing of initial seaward migration of Atlantic salmon (Salmo salar). Global Change Biology 20, 61-75.

Ounsley, J. P., Gallego, A., Morris, D. J. & Armstrong, J. D. (2020). Regional variation in directed swimming by Atlantic salmon smolts leaving Scottish waters for their oceanic feeding grounds-a modelling study. ICES Journal of Marine Science 77, 315-325.

Plantalech Manel-La, N., Thorstad, E. B., Davidsen, J. G., Økland, F., Sivertsgård, R., McKinley, R. S. & Finstad, B. (2009). Vertical movements of Atlantic salmon post-smolts relative to measures of salinity and water temperature during the first phase of the marine migration. Fisheries Management and Ecology 16, 147-154.

Thorstad, E. B., Whoriskey, F., Uglem, I., Moore, A., Rikardsen, A. H. & Finstad, B. (2012). A critical life stage of the Atlantic salmon Salmo salar: behaviour and survival during the smolt and initial post-smolt migration. Journal of Fish Biology 81, 500-542.

Thorstad, E. B., Økland, F., Finstad, B., Sivertsgård, R., Bjørn, Pål A. & McKinley, R. S. (2004). Migration speeds and orientation of Atlantic salmon and sea trout post-smolts in a Norwegian fjord system. Environmental Biology of Fishes 71, 305-311.

Urke, H., Kristensen, T., Ulvund, J. B. & Alfredsen, J. A. (2013). Riverine and fjord migration of wild and hatchery-reared Atlantic salmon smolts. Fisheries Management and Ecology 20, 544-552.

Vollset, K. W., Lennox, R. J., Lamberg, A., Skaala, Ø., Sandvik, A. D., Sægrov, H., Kvingedal, E., Kristensen, T., Jensen, A. J., Haraldstad, T., Barlaup, B. T. & Ugedal, O. (2021a). Predicting the nationwide outmigration timing of Atlantic salmon (Salmo salar) smolts along 12 degrees of latitude in Norway. Diversity and Distributions 27, 1383-1392.

Vollset, K. W., Nilsen, F., Ellingsen, I., Finstad, B., Karlsen, Ø., Myksvoll, M. S., Stige, L. C., Sægrov, H., Ugedal, O., Qviller, L. & Dalvin, S. (2021b). Vurdering av lakselusindusert villfiskdødelighet per produksjonsområde i 2021. Rapport fra ekspertgruppe for vurdering av lusepåvirkning. p. 109. https://www.regjeringen.no/contentassets/e2ce5edb567341eb8ac15fd46714417f/ekspertgrupperapport-2021.pdf.

Økland, F., Thorstad, E. B., Finstad, B., SivertsgÅRd, R., Plantalech, N., Jepsen, N. & McKinley, R. S. (2006). Swimming speeds and orientation of wild Atlantic salmon post-smolts during the first stage of the marine migration. Fisheries Management and Ecology 13, 271-274.