Gå til hovedinnhold

Risikorapport norsk fiskeoppdrett 2026

— Produksjonsdødelighet hos oppdrettsfisk og miljøeffekter av norsk fiskeoppdrett

Sammendrag

Norsk akvakulturproduksjon økte kraftig fra 2024 til 2025 – med drøyt 200 000 tonn. Dette er den største årlige veksten i perioden 1980-2025. Laks sto for hele 182 000 tonn av økningen, regnbueørret økte med rundt 13 000 tonn og torskeoppdrett med om lag 5 500 tonn. Veksten i lakseoppdrett var størst i området fra Nord-Trøndelag til Loppa, men det var også litt økning fra Ryfylke til Sør-Trøndelag.

Selv om produksjonen øker, viser årets risikorapport at næringen fortsatt står overfor store utfordringer. Dårlig dyrevelferd i oppdrettsanlegg og negative effekter av lakselus på villfisk er fremdeles de største hindringene for å oppnå bærekraft. Høy vanntemperatur, mer fisk i sjø og hyppigere avlusning har forverret situasjonen de siste årene.

Rapporten vurderer risiko innen ni områder, blant annet fiskevelferd, lakselus, genetisk påvirkning på villaks, miljøeffekter på bunnforhold, utslipp av næringssalter, kobber samt bruk av kjemiske avlusningsmidler og rensefisk.

De varme somrene i 2024 og 2025 førte til svært høye lakselusnivåer, noe som ga spesielt stor belastning for sjøørret og sjørøye, som oppholder seg lenge i kystsonen. Økt produksjon i nord forsterker risikoen ytterligere. Selv om det er lite kunnskap om hvordan fremtidige marine hetebølger vil påvirke lakselussmitten, er risikovurderingene stort sett uendret fra i fjor: to produksjonsområder har høy risiko for lakselusindusert dødelighet hos vill laksesmolt, åtte har moderat risiko og tre har lav. For sjøørret og sjørøye er situasjonen betydelig verre, men uendret fra fjoråret: ni produksjonsområder har høy risiko, to har moderat risiko og to områder har lav risiko. 

Nedsenkede merder brukes nå på 40 lokaliteter for å redusere lusepåslag, men dette utgjør fortsatt en svært liten del av de rundt 900 lokalitetene i Norge.

Tall fra Fiskeridirektoratet viser at 67 millioner oppdrettslaks gikk tapt i 2025. Over 54 millioner av disse døde i merdene, rundt 2,5 millioner ble sortert bort i slakteriet, 26 000 fisk rømte, og nesten 10 millioner ble registrert tapt av «andre årsaker». Det er tre millioner færre døde fisk enn i 2024, men risikoen for dårlig velferd er likevel høy i de fleste produksjonsområdene. Bare ett område vurderes til å ha lav risiko.Tapet for regnbueørret er vesentlige lavere enn for laks, men risikoen har likevel økt fra moderat til høy i produksjonsområde 3 grunnet høy variasjon i tapstallene.

Rømmingsandelen i elvene har i stor grad stabilisert seg, men risikoen for genetiske endringer hos villaks er fortsatt høy i fire produksjonsområder. I enkelte områder, blant annet produksjonsområde 6, er risikoen økende på grunn av flere rømmingsepisoder i 2024 og 2025.

Når det gjelder påvirkning på bunnforhold under merdene, er situasjonen stort sett som i fjor. Ett område er nedjustert fra moderat til lav risiko etter bedre resultater fra miljøovervåkingen. Utslipp av næringssalter vurderes som lav risiko i alle områder, selv om modellene i enkelte tilfeller viser mulig risiko som ikke støttes av måledata. Derfor anbefales mer overvåkning der oppdrettsaktiviteten er høy.

Forbruket av kobber på nøter økte fra 2023 til 2024, men er fortsatt langt lavere enn i 2019. Risikonivået vurderes som uendret fra i fjor, men det pekes på behov for mer kunnskap om tralopyril, et erstatningsstoff som har hatt en økning i forbruk frem til 2023, men som i 2024 gikk litt tilbake.

Dagens forbruk av avlusningsmidler gir lav risiko for alvorlige effekter på andre marine arter, men hvis behandlingsomfanget fortsetter å øke, kan risikonivået endre seg. Også risikoen ved fangst og bruk av vill leppefisk til avlusning vurderes som lav, og høsting av vill leppefisk er nå så lav at 2026 blir siste år med egen vurdering av dette så lenge situasjonen ikke endrer seg.

Til slutt understreker rapporten at den marine hetebølgen som lå langs norskekysten utover høsten, viser at klimaendringene allerede påvirker havmiljøet. Det planlegges derfor en egen risikovurdering med klimafokus før sommeren 2026.

Samlefigur
Figuren viser oppsummering av risiko for de uønskede hendelsene i hvert av de 13 produksjonsområdene som kan medføre «Redusert bærekraft med hensyn til dårlig dyrevelferd og negative miljøeffekter som følge av fiskeoppdrett» i et produksjonsområde. Fargen på sirklene representerer sannsynlighet (lav = grønn, moderat = gul, høy = rød). Linjen rundt sirklene representerer kunnskapsstyrken sannsynlighetsvurderingen hviler på (sterk = grønn, moderat = oransje, svak = rød). Pilen som peker inn mot den hvite sirkelen i midten representerer risiko (lav = grønn, gul = moderat, høy = rød) Konklusjoner om risiko bygger på tre forhold: alvorlighetsgrad av konsekvensene, sannsynligheten for at hendelsene inntreffer og kunnskapsstyrken.

 

1. Innledning

Det er få endringer i konklusjon på risiko i årets risikovurdering fra vurderingen som ble gjort i «Risikorapport norsk fiskeoppdrett 2025». Vi har derfor valgt å bare inkludere oppsummeringene for hvert av de 13 produksjonsområdene i årets rapport. Der det har vært en endring i sannsynligheter, kunnskapsstyrke eller konklusjon på risiko er dette poengtert i teksten. For de som ønsker å sette seg mer inn i vurderingene og argumentasjonen som ligger til grunn for konklusjonene, anbefales det å lese «Risikorapport norsk fiskeoppdrett 2025» selv om denne vurderingen ikke inkluderer tall for 2025.

1.1 Status norsk fiskeoppdrett

Det var en markant økning i eksport av oppdrettslaks (Salmo salar) fra 1,25 millioner tonn i 2024 til 1,41 millioner tonn i 2025. Økt eksport ser ut til å ha kompensert for fallende laksepriser og eksportverdien var på henholdsvis 122,5 og 124 milliarder norske kroner i 2024 og 2025. I tillegg ble det eksportert 86 903 tonn regnbueørret (Oncorhynchus mykiss) til en verdi av 7,42 milliarder norske kroner Eksport av laksefisk utgjorde 72,7 % av den samlede eksportverdien av sjømat på totalt 181,5 milliarder kroner. Tallene er hentet fra Norges sjømatråd (januar 2026).

Økningen i eksportvolum avspeiles i matfiskproduksjonen (salg av slaktet fisk), med en rekordhøy økning fra 2024 til 2025 på over 200 000 tonn totalt. I løpet av de siste ti årene har produksjonen økt fra i overkant av 1,3 millioner tonn i 2016 til over 1,85 millioner tonn i 2025 (foreløpige tall fra Fiskeridirektoratet, januar 2026). Atlantisk laks utgjør i underkant av 1,7 millioner tonn (93 %) av den totale matfiskproduksjonen, en økning på i overkant av 182 000 tonn fra 2024. Produksjon av regnbueørret var på rundt 108 000 tonn i 2025, som var en økning på rundt 13 000 tonn fra 2024 (figur 1.1). Selv om det arbeides aktivt med andre arter og nye produksjonsformer, vil sannsynligvis laks som produseres i åpne merder i sjø dominere produksjonen i mange år fremover. Av andre arter er det størst produksjonsfremgang for torsk (Gadus morhua) med et samlet uttak til slakt på 20 130 tonn i 2025, en økning på 5 500 tonn fra året før.

Figuren er et linjediagram, med årstall langs X-aksen fra 1980 til 2025. Y-aksen viser tonn rundvekt x 1000, og går fra 0 til 2000.
Figur 1.1 Utvikling av matfiskproduksjon i Norge i perioden 1980–2025: total produksjon (mørkeblå linje), Atlantisk laks (Salmo salar) (lyseblå linje), regnbueørret (Oncorhynchus mykiss) (gul linje) og andre arter inkludert andre fiskearter, skalldyr og tare (rød linje). Kilde: Fiskeridirektoratet, foreløpige tall (20.01.2026).

1.2 Miljømessig bærekraft og dyrevelferd i norsk fiskeoppdrett

Helt siden volumet av oppdrettslaks begynte å øke har parasitten lakselus vært et problem, og lakselussmitte til vill laksefisk er i dag den valgte miljøindikatoren som legger begrensninger for videre vekst i norsk lakseoppdrett gjennom trafikklyssystemet. Med trafikklyssystem, kvalitetsnorm for ville laksebestander, vanndirektivet, overvåking av miljø og matvaretrygghet, luseforskrift og et omfattende lovverk både for akvakultur, mat og dyrevelferd ligger Norge i verdenstoppen for kunnskapsbasert forvaltning av akvakultur. Likevel er det vanskelig å få et helhetlig bilde og felles forståelse av hvor store utfordringene knyttet til miljøeffekter og dyrevelferd er i norsk havbruksnæring, og hvordan dette påvirker bærekraften av norsk fiskeoppdrett. Bærekraftig utvikling er definert av FN som «en utvikling som tilfredsstiller dagens behov uten å ødelegge fremtidige generasjoners muligheter til å tilfredsstille sine behov». Utfordringen for både forskning, forvaltning og næring ligger i at vi vet lite om bæreevnen for de ulike miljøeffektene fra akvakultur i de ulike produksjonsområdene. Det er også utfordrende å få en god oversikt over tilstanden når det gjelder dyrevelferd i akvakultur, både hvilke kriterier som skal vurderes og hvordan de skal overvåkes.

Hvor mye matfiskproduksjon hvert enkelt område tåler vil avhenge av mange ulike faktorer som tilstanden til villfiskpopulasjonene, overlapp mellom oppdrettsaktiviteten og gyte og vandringsruter for villfisken, forekomst av sårbare naturtyper i områder med stor påvirkning av organisk materiale, miljøgifter og tungmetaller, samt hvor raskt næringssaltene som slippes ut fra anleggene spres og fortynnes. Økte temperaturer på grunn av klimaendringer gir i tillegg en endring i de miljøgitte rammebetingelsene og påvirker fremtidige vekstmuligheter for en bærekraftig havbruksnæring. Allerede nå har vanntemperaturen langs kysten av Norge økt med 1–2 °C grader siden 1935. Flere kjente miljøutfordringer forventes å øke i takt med kommende temperaturstigninger, deriblant spredning av lakselus, forekomst av skadelige alger og maneter, økt sannsynlighet for sykdomsutbrudd, samt sjeldnere utskiftning av bunnvann i terskelfjorder som kan gi lengre perioder med oksygenfattige forhold.

Havforskningsinstituttet har siden 2010 vurdert risiko for en rekke miljøeffekter av akvakulturproduksjon der lakselussmitte til villfisk og velferd hos oppdrettsfisken regnes som de største utfordringene i forhold til bærekraft i norsk laksefiskoppdrett. Vi har sett at lakselussituasjonen har forverret seg, over tid både for utvandrende laksesmolt og sjøørret/sjørøye. I vurderingen for 2025 og 2026 viser analysene våre at risiko for «Negative effekter av lakselussmitte på sjøørret» var høy i alle produksjonsområdene fra Karmøy til Senja og moderat i områdene fra Kvaløy til Vest-Finnmark (tabell 1.1). Fra produksjonsområde 8, inkluderes også sjørøya i den samme vurderingen. 

Tabell 1.1. Resultatene fra Havforskningsinstituttets vurdering av risiko for «Høy lakselusindusert dødelighet på utvandrende postsmolt laks» og «Negative effekter av lakselussmitte på sjøørret/sjørøye for årene 2024-2026. Vurderingen av sjørøye gjøres fra og med produksjonsområde 8. Grønn fargekode representerer lav risiko, gul fargekode moderat risiko og rød fargekode høy risiko.
  Atlantisk laks   Sjøørret og sjørøye 
Produksjonsområde 2024 2025 2026 2024 2025 2026
Område 1: Svenskegrensen til Jæren            
Område 2: Ryfylke            
Område 3: Karmøy til Sotra            
Område 4: Nordhordland til Stadt            
Område 5: Stadt til Hustadvika            
Område 6: Nordmøre og Sør-Trøndelag            
Område 7: Nord-Trøndelag med Bindal            
Område 8: Helgeland til Bodø            
Område 9: Vestfjorden og Vesterålen            
Område 10: Andøya til Senja            
Område 11: Kvaløy til Loppa            
Område 12: Vest-Finnmark            
Område 13: Øst-Finnmark            

Samtidig ser vi at også velferden til oppdrettsfisken ser ut til å bli stadig dårligere, i all hovedsak på grunn av økt håndtering i forbindelse med avlusning. I 2025 viste analysene våre at det var høy risiko for «Dårlig velferd hos oppdrettslaks i sjø» i syv av 13 produksjonsområder: Alle områdene fra Svenskegrensen til Sør-Trøndelag og i Vest-Finnmark. Det var kun området PO8 fra Helgeland til Bodø som ble vurdert å ha lav risiko for dårlig dyrevelferd.

Som et ledd i sikre en mer miljømessig bærekraftig regulering av oppdrettsnæringen, ble trafikklyssystemet etablert i 2017. Systemet styres med en handlingsregel der miljøstatus, vurdert som lakselusindusert dødelighet hos vill laksefisk (postsmolt) er lagt til grunn for om produksjonskapasiteten kan øke, skal være uendret eller må reduseres i produksjonsområdet. Miljøstatus vurderes årlig av en ekspertgruppe ut fra omfattende overvåkningsdata og modeller opp mot gitte grenseverdier for påvirkning. På basis av dette gjør Nærings- og fiskeridepartementet en samlet vurdering annethvert år der området enten gis fargen grønn som åpner for 6 % vekst, gul som betyr ingen vekst, og rød som kan innebære et nedtrekk av produksjonskapasiteten på 6 %.

Den siste kapasitetsvurderingen kom i 2024, basert på årene 2022 og 2023 og gjelder for perioden 2024-2025 (figur 1.2).

 

Norgeskart som viser fargene for kapasitetsjustering i perioden 2024 til 2025. Produksjonsområde 3 og 4 er rødt, produksjonsområde 2 og 5 til 8 er gult. Produksjonsområde 1 og 9 til 13 er grønt.
Figur 1.2. Regjeringens beslutning om kapasitetsjustering for de 13 produksjonsområdene fra Svenskegrensen til Øst-Finnmark i 2024. Grønn fargekode åpner for 6 % vekst, gul fargekode betyr ingen vekst, og rød fargekode innebærer et nedtrekk av produksjonskapasiteten på 6 %. Figur hentet fra Regjeringen.no .

I denne vurderingen besluttet regjeringen at produksjonsområdene 3 og 4 skulle ha et nedtrekk i produksjonskapasiteten. For områdene 2 og 5-8 var beslutningen at områdene ikke skal ha noen vekst. Fra område 9 til 13 gikk trafikklyset i grønt, som åpner for vekst. Videre skriver regjeringen « Beslutningen kan gi en vekst på om lag 21 000 tonn.» , som er den samme økningen som ble gitt for perioden 2022-2023.

Hvor stor kapasitetsjusteringen faktisk ble i 2024-2025 er uvisst, men økningen i matfiskproduksjon av laksefisk (laks og regnbueørret) var på drøyt 197 000 tonn, den største årlige økningen i løpet av perioden 1981-2025, der produksjonen av atlantisk laks står for i overkant av 182 000 tonn (figur 1.3). Dette kan muligens forklares med at oppdretterne har økt utnyttelsen av eksisterende kapasitet, med det resultat at matfiskproduksjonen har økt også i områder som har hatt gult eller rødt lys. Økning i disse områdene kan også skyldes at det er mellomårlig variasjon i produksjonsvolum mellom produksjonsområdene da det er en viss fleksibilitet for selskapene til å bruke kapasitet på tvers av produksjonsområder, for eksempel ser vi dette i produksjonsområde 5 (tabell 1.2).

 

Figuren er en graf med søylediagram. Årstall langs x-aksen fra 1981 til 2025. Y-aksen viser endring i tonn og går fra minus 100 000 til 200 000
Figur 1.3. Endring fra året før i matfiskproduksjon av atlantisk laks (Salmo salar) i perioden 1981 til 2025. Utregningene er basert på offisiell statistikk fra Statistisk sentralbyrå og Fiskeridirektoratet. Tall for endring fra 2024 til 2025 er basert på foreløpige data fra Fiskeridirektoratet (20.01.2026).

 


Tabell 1.2. Matfiskproduksjon i tonn for hvert av produksjonsområdene i årene 2018 til 2025. Også produksjon fra stamfisk, forskning og undervisning er inkludert i tabellen. «Endring i snitt 2018/2019-20204/2025» viser endringen i gjennomsnittsproduksjonen for toårsperioden 2018 + 2019 til perioden 2024 + 2025. «Prosent endring i snitt» er den prosentvise endringen mellom disse to periodene. Tall er hentet fra Fiskeridirektoratet (20.01.2026).
Produksjonsområde 2018 2019 2020 2021 2022 2023 2024 2025 Endring snitt 2018/2019-2024/2025 Prosent endring i snitt
Område 1: Svenskegrensen til Jæren 13 460 22 089 10 788 22 217 14 076 18 034 22 823 9 133 -1 796 -13
Område 2: Ryfylke 49 702 80 625 76 355 78 320 85 430 92 288 88 705 108 402 33 390 67
Område 3: Karmøy til Sotra 168 773 156 915 186 494 175 741 207 072 154 128 186 714 189 749 25 388 15
Område 4: Nordhordland til Stadt 141 059 149 385 170 899 160 566 172 656 165 832 195 380 178 869 41 902 30
Område 5: Stadt til Hustadvika 63 606 96 686 57 130 87 489 71 285 110 002 80 602 120 356 20 333 32
Område 6: Nordmøre og Sør-Trøndelag 256 969 199 643 265 458 274 216 258 357 242 284 261 465 260 167 32 510 13
Område 7: Nord-Trøndelag med Bindal 100 206 124 495 108 641 121 671 115 791 122 486 120 370 148 855 22 262 22
Område 8: Helgeland til Bodø 138 697 157 875 171 675 176 956 183 881 159 261 178 817 186 231 34 238 25
Område 9: Vestfjorden og Vesterålen 97 848 127 595 117 323 160 543 144 385 161 259 157 471 186 544 59 286 61
Område 10: Andøya til Senja 110 527 112 781 115 628 126 933 130 654 145 569 114 352 159 351 25 198 23
Område 11: Kvaløy til Loppa 71 427 64 368 70 846 85 626 81 532 92 155 76 645 131 233 36 041 50
Område 12: Vest-Finnmark 96 558 113 349 99 969 139 593 116 291 99 311 125 204 124 537 19 917 21
Område 13: Øst-Finnmark 11 009 6 103 12 661 8 903 5 114 13 449 11 196 13 932 4 008 36
Stamfisk, forskning og undervisning 25 478 29 710 22 128 23 045 29 505 25 541 21 557 21 306 -6 163 -24
Total 1 345 319 1 441 617 1 485 994 1 641 816 1 616 029 1 601 599 1 641 301 1 838 665 346 515 26

 


Tar vi hensyn til mellomårlig variasjon i produksjonen og tar utgangspunkt i gjennomsnittlig produksjon i toårsperiodene 2018-2019, 2020-2021, 2022-2023 og 2024-2025 har matfiskproduksjonen økt i alle produksjonsområder (PO) med unntak av produksjonsområde 1. Dette til tross for nedtrekkene i produksjonskapasitet (dvs. tillatt selskapsbiomasse) som har vært i perioden (3 ganger i PO4; 2020, 2022, 2024, to ganger i PO3; 2022 og 2024, og en gang i PO5; 2020). Matfiskproduksjonen har økt i dette tidsrommet med drøyt 67 000 tonn i områder som stort sett har vært røde i perioden (PO3+PO4), med nesten 243 000 tonn i områder som har vært gule de siste årene (PO2+PO5-8), og 135 500 tonn i områder som har vært grønne de siste årene (PO1+PO9-13).

Ser vi nærmere på biomassestatistikken ser vi at også antall oppdrettsfisk i sjø under utvandringsperioden til laksesmolt har økt i de fleste produksjonsområdene i perioden 2012-2025, også hvis man bare ser på perioden 2018-2025 (figur 1.4). Det samme gjelder dersom vi ser på gjennomsnittlig (år) stående biomasse (antall fisk * vekt).

 

Figuren viser en graf med søylediagram. X-aksen viser perioden 2012 til 2025 for hvert av de 13 produksjonsområdene. Y-aksen viser antall fisk og går fra 0 til 100 millioner.
Figur 1.4. Antall oppdrettsfisk i millioner som har stått i sjø under utvandringstiden til postsmolt laks (Salmo salar) i perioden 2012-2025 (data fra Fiskeridirektoratets biomassestatistikk).

Produksjonsområdene 6, 7 og 8 har hatt varierende grønt og gult lys siden den første vurderingen basert på årene 2016-2017, og alle kom ut med gult lys basert på årene 2022-2023. Parallelt med dette økte den gjennomsnittlige samlede produksjonen for disse områdene med om lag 75 000 tonn i perioden 2018-2019 til 2024-2025. Det er også interessant å se at område 4 som har hatt rødt lys siden den første trafikklysvurderingen, og som har fått 3 nedtrekk har hatt den nest største økningen i matfiskproduksjon på nesten 42 000 tonn i perioden.

Ut fra regelen om nedtrekk av maksimal tillatt selskapsbiomasse (selskaps-MTB) i røde områder, med 3 nedtrekk i perioden, ville forventningen vært en reduksjon i produksjonen. Det kan være ulike årsaker til at en likevel har klart å øke produksjonen, som generelt høyere utnyttelse av selskaps-MTB gjennom året, kjøp av unntaksvekst, fleksibilitet i bruk av selskaps-MTB på tvers av produksjonsområder, samt raskere produksjonstid i sjø ved utsett av større postsmolt. Spørsmålet er om denne økningen i matfiskproduksjon er miljømessig bærekraftig med tanke på smittepresset av lakselus på vill laksefisk, og da spesielt med tanke på sjøørret.

Til tross for innføringen av trafikklyssystemet har det vist seg krevende å få kontroll med lakselus gitt dagens driftsform med i hovedsak åpne merder. Antallet lokaliteter med vanlige åpne merder, mengden laksefisk i oppdrett (både antall og biomasse), og tett smittekobling mellom lokalitetene gjør det svært krevende å holde lave nivåer av lus. Et mulig tiltak som vurderes er derfor større innfasing av teknologi som direkte hindrer lusesmitte. I desember 2024 la regjeringen fram et forslag om bruk av nedjustert kapasitet på særskilte miljøvilkår som svar på Stortingets anmodningsvedtak nr. 606 (2023–2024), den såkalte «miljøfleksordningen». Forslaget innebærer at aktører som har fått vedtak om nedjustert utnyttelsesgrad, som følge av rødt lys i trafikklyssystemet, kan utnytte denne kapasiteten i en nullutslippsløsning. I oktober 2025 vedtok regjeringen en ny ordning om at nedjustert produksjonskapasitet i henhold til trafikklyssystemet kan benyttes i lukkede enheter, gitt at dokumentasjon på oppfyllelse av kravene er fremlagt Fiskeridirektoratet. Dette kan være et insentiv til i større grad innfase null-lus teknologi med tanke på å bryte sammenhengen mellom produsert mengde laksefisk og smittepresset av lus i et område.

Reguleringen av havbruksnæringen er videre oppe for en større revisjon. Det ble satt ned et offentlig utvalg i 2021 for en helhetlig gjennomgang av forvaltning av akvakultur som leverte sin rapport i 2023; «Helhetlig forvaltning av akvakultur for bærekraftig verdiskapning, NOU2023:23». Dette ble fulgt opp ved at Nærings- og fiskeridepartementet la frem en stortingsmelding om akvakultur: «Meld. St. 24 (2024-2025) Fremtidens havbruk: bærekraftig vekst og mat til verden». Stortingsmeldingen omfatter bl.a. forslag om utslippskvoter av lakselus og økt fokus på dyrevelferd. Meldingen ble behandlet i stortinget i juni 2025 etter innstilling fra næringskomiteen. Det jobbes nå videre med å utrede lakseluskvoter, innretningen på akvakulturtillatelser, samt selve organiseringen av havbruksforvaltningen.

I årets "Risikorapport norsk fiskeoppdrett" er det valgt ut ni overordnede uønskede hendelser (figur 1.5) som, dersom disse inntreffer, kan gi et spekter av alvorlige konsekvenser som resulterer i «Redusert bærekraft med hensyn til miljø og dyrevelferd i et produksjonsområde». De uønskede hendelsene som inkluderes i «Risikorapport norsk fiskeoppdrett 2026» er:

  • Dårlig velferd hos oppdrettslaks og regnbueørret i sjø

  • Høy lakselusindusert dødelighet på utvandrende postsmolt laks

  • Negative effekter av lakselussmitte på sjøørret og sjørøye

  • Ytterligere genetisk endring hos villaks som følge av innkryssing av rømt oppdrettslaks

  • Overgjødsling av kystvann på grunn av utslipp av næringssalter fra fiskeoppdrett

  • Negative effekter på bunnsamfunn i influensområdet for oppdrett

  • Negative effekter på det marine miljø ved bruk av kobber i fiskeoppdrett

  • Alvorlige effekter på non-target arter ved bruk av avlusningsmidler

  • Negative effekter på det marine miljø ved fangst og bruk av villfanget leppefisk i fiskeoppdrett

 

Figuren er en illustrasjon av de ni overordnede uønskede hendelsene som er gjengitt i teksten over. Figuren viser oppdrettsmerder i sjø og illustrasjoner under vann, der hver av de ni hendelsene er listet over bilder/illustrasjoner som representerer
Figur 1.5. De ni overordnede uønskede hendelsene som er inkludert i årets risikoanalyser av dyrevelferd og miljøeffekter av fiskeoppdrett.

Egne risikovurderinger på effekter av fiskeoppdrett på kysttorsk er publisert:

«Negative effekter på kysttorskbestander som følge av torskeoppdrett i åpne merder i sjø»

«Negative effekter på kysttorskbestander som følge av lakseoppdrett i åpne merder i sjø»

1.3 Risikovurdering og metodikk

1.3.1 Verktøy for risikoanalyse

En bærekraftig utvikling av norsk havbruksnæring forutsetter en kunnskaps- og risikobasert forvaltning, der et av de viktigste elementene er gode risikoanalyseverktøy. Risikobildet knyttet til akvakultur karakteriseres av kompleksitet og varierende kunnskapsnivå. I tråd med forskningsfronten innen risikofaget er formålet med risikovurderingen å skape risikoforståelse hos brukerne og bidra til et best mulig grunnlag for risikobaserte avgjørelser.

Forskerne som gjennomfører risikovurderingene benytter all tilgjengelig kunnskap i gjennomføringen av denne risikovurderingen, herunder relevant datamateriale, observasjoner, målinger og faglige vurderinger. I tillegg forsøker forskerne å si noe om det ukjente, ofte områder karakterisert ved svak kunnskap, som kan gi opphav til overraskelser med svært alvorlige konsekvenser. Dette er et utfordrende arbeid som fagmiljøet ønsker å utvide både i bredde og dybde i fremtidige rapporter.

Å vurdere risiko er en kontinuerlig prosess og vurdering av påvirkningsfaktorer og risiko knyttet til disse vil endre seg i takt med økt kunnskap innen det enkelte risikolandskap. Havforskningsinstituttets risikovurdering med tilhørende kunnskapsstatus, vil være et viktig bidrag til å videreutvikle eksisterende regelverk, både mot nye indikatorer i trafikklyssystemet samt å holde fokus på de viktigste risikofaktorene innen miljøpåvirkning av fiskeoppdrett og områdene der vi mangler kunnskap. Dette vil videre være et viktig bidrag til å bygge opp rundt dagens kunnskaps- og risikobaserte forvaltning av en av våre viktigste marine næringer.

I denne risikovurderingen kartlegges og analyseres usikkerhet knyttet til fremtidige konsekvenser av fiskeoppdrett langs norskekysten. Resultatet av risikovurderingen inngår som en del av forvaltningens beslutningsunderlag, og skal bidra til å sikre en bærekraftig utvikling av norsk fiskeoppdrett i tråd med norske og internasjonale bærekraftsmål.

1.3.2 Metodikk

Fundamentale forhold knyttet til risikoanalysefaget som terminologi, definisjoner og metodisk tilnærming forankres i Society for Risk Analysis, glossary (SRA, 2018) og «Risk, Surprises and Black Swans – Fundamental Ideas and Concepts in Risk Assessment and Risk Management» (Aven, 2014). Den metodiske tilnærmingen som ligger til grunn for risikoresultatene presentert i denne rapporten, er utviklet av Havforskningsinstituttet og publisert i Andersen m.fl. (2022). Hensikten med dette kapittelet er å oppsummere hovedpunktene i metodikken med søkelys på å forstå de overordnede resultatene av risikovurderingen for hvert produksjonsområde. For flere detaljer om hvordan risikovurderingen gjennomføres henviser vi til artikkelen.

I takt med forskningsfronten innen risikofaget finnes ingen objektive og korrekte risikotall som utgjør en form for fasit, det finnes kun usikkerhet knyttet til hva som ligger foran oss. Og det er nettopp denne usikkerheten fagekspertene sier noe om i denne rapporten. Målet med risikovurderingen er å skape risikoforståelse og risikoerkjennelse hos forvaltningen og andre interessenter som utgangspunkt for prioriteringer og beslutninger om veivalg og tiltak. Samtidig bør de som skal benytte resultatene av analysen være klar over at utilstrekkelig kunnskap, hypoteser og antakelser er en del av, og i stor grad karakteriserer en slik risikovurdering.

Risiko defineres i tråd med (SRA, 2018) som følger:

«Med risiko menes konsekvenser av aktiviteten med tilhørende usikkerhet»

Risikobegrepet introduserer «konsekvenser» og «usikkerhet» som to sentrale aspekter som henger sammen. Med «usikkerhet» menes her en kunnskapsbasert usikkerhet (epistemisk) som knyttes til det å ikke vite hva de fremtidige konsekvensene av aktiviteten blir. I denne risikovurderingen analyserer, beskriver og måler forskerne usikkerhet knyttet til de overordnede uønskede hendelsene ved hjelp av subjektive sannsynligheter og kunnskapsstyrke. Vurderinger av kritikalitet av konsekvenser og tilhørende usikkerhet, målt med sannsynligheter og kunnskapsstyrke, danner grunnlag for konklusjoner om risiko for hver enkelt av de uønskede hendelsene i hvert av de 13 produksjonsområdene.

Subjektive sannsynligheter (P) sier noe om usikkerheten knyttet til hvorvidt hendelsene inntreffer og kunnskapsstyrken (SoK) måler usikkerhet knyttet til kunnskapen som danner grunnlag for sannsynlighetsvurderingen og dermed også i hvilken grad vurderingene kan tillegges vekt. I risikokartene benyttes fargekodene grønn, gul og rød farge på en node for å illustrere henholdsvis lav, moderat og høy sannsynlighet. Fargen på linjen rundt noden illustrere hvorvidt denne vurderingen bygger på sterk, moderat eller svak kunnskap, henholdsvis grønn, gul eller rød farge. Dersom kunnskapen er svak, vil usikkerheten øke og dermed øker også risikoen. Grønn, gul og rød pil illustrerer henholdsvis lav, moderat og høy risiko.

Når kunnskapen er svak skapes det et større rom for overraskelser der hendelser med stor påvirkning kan inntreff på tvers av forskernes tro og forventning, i retrospekt kalt sorte svaner. Begrepet ble første gang presentert i en risikostyringssammenheng av Taleb (2007) og videreutviklet i bl.a. Aven (2014). Fagmiljøene ved både Havforskningsinstituttet og andre som er involvert i denne risikovurderingen, beskriver potensialet for slike overraskelser der det eksempelvis finnes kombinasjoner av utilstrekkelig kunnskap, hypoteser og svakt funderte antakelser som kan bidra til å skjule risiko. I risikokartet markeres slike tilfeller med et «sort svane» symbol.

Resultatene av risikovurderingene for hvert produksjonsområde oppsummeres i et overordnet risikokart som vist i figur 1.5.

 

Figuren viser et eksempel av visualisering av risiko, se figurtekst.
Figur 1.5. Oppsummering av risiko for alle de ni uønskede hendelsene som kan medføre «Redusert bærekraft med hensyn til dårlig dyrevelferd og negative miljøeffekter som følge av fiskeoppdrett» i et produksjonsområde. Konklusjoner om risiko bygger på tre forhold: alvorlighetsgrad av konsekvensene, sannsynligheten for at hendelsene inntreffer (farge på noden) og kunnskapsstyrken (farge på sirkel) som sannsynlighetsvurderingene baseres på. Fargede piler viser risiko for hver enkelt hendelse, med redusert bærekraft som konsekvens. Sort svane-symbolet illustrerer potensielle overraskelser med svært alvorlige konsekvenser. I dette tilfellet utbrudd av alvorlig sykdom.

De spesifikke konsekvensene av de uønskede hendelsene, som i ulike former bidrar til redusert bærekraft, vurderes alle som alvorlige. Vurderinger av konsekvensene, sammen med sannsynlighet for uønsket hendelse og kunnskapsstyrke, ligger til grunn for konklusjoner om risiko. De fargede pilene rød, gul og grønn i figur 1.5 uttrykker henholdsvis høy, moderat og lav risiko for uønskede hendelser som kan medføre «Redusert bærekraft med hensyn til dårlig dyrevelferd og negative miljøeffekter som følge av fiskeoppdrett» i et produksjonsområde. Arbeid pågår med å finne frem til felles konsekvenser for det marine miljø på tvers av de uønskede hendelsene som inkluderes i analysen. Målet er en samlet vurdering av påvirkning fra fiskeoppdrett i hvert produksjonsområde.

Risikokartene er et nyttig redskap for å visualisere risikokilder og kausale sammenhenger, mens karakterisering og argumentasjon i teksten gir grunnlaget for vurdering og måling av konsekvenser, sannsynligheter, kunnskapsstyrke og risiko. Det er denne teksten som skal skape tillit og eventuelt overbevise leseren om at resultatet av risikovurderingen gir mening. Kunnskapsstatus som ligger til grunn for analysene er publisert i egne rapporter for noen av temaene, men « Risikorapport norsk fiskeoppdrett 2022 - kunnskapsstatus » kan brukes som utgangspunkt for tema som ennå ikke har utgitt egne rapporter. Rapportene er en del av Havforskningsinstituttet sin rapportserie «Rapporter fra Havforskningen» og kan leses her:

Risikorapport norsk fiskeoppdrett

Kunnskapsstatus til risikorapport

Referanser

Andersen LB, Grefsrud ES, Svåsand T, Sandlund N. 2022. Risk understanding and risk acknowledgement: a new approach to environmental risk assessment in marine aquaculture. ICES Journal of Marine Science, 0: 1-10.

Aven, T. 2014. Risk, Surprises and Black Swans: Fundamental Ideas and Concepts in Risk Assessment and risk management. Routledge, London. 276 s.

Taleb, NN. 2007. The Black Swan: The Impact of the Highly Improbable, Penguin Books, Limited. London 366 s.

2. Introduksjon til tema som er risikovurdert

2.1 Risiko for dårlig velferd hos oppdrettslaks og regnbueørret i sjø

Innrapporterte tall til Fiskeridirektoratet sin biomassestatistikk for norske oppdrettsmerder per 20.1.2026 viser at rundt 67 millioner oppdrettslaks ble rapportert som tap i 2025. Av dette ble over 54 millioner rapportert som død, ca. 2,5 millioner var i så dårlig stand at de ble registrert som utkast fra slakteri, 26 tusen ble rapportert som rømt, og nesten 10 millioner som tapt av andre årsaker enn dødfisk, utkast og rømming (unntatt tellefeil). Den største endringen i forhold til 2024 var i tapskategorien dødfisk. I 2025 ble det innrapportert ca. 3 millioner færre dødfisk enn i 2024. Den gjennomsnittlige registrerte beholdningen av laks i sjø per måned inn til Fiskeridirektoratet sin database var 459 millioner i 2024 og 445 millioner i 2025. Det stod altså i snitt noe færre oppdrettslaks i sjø i løpet av 2025 enn i 2024.

På grunn av store ulikheter mellom produksjonsområder (PO) og landsdeler i hvordan tapskategoriene brukes vil vi i denne risikorapporten fortrinnsvis bruke det totale tapet som velferdsindikator. For å forbedre denne situasjonen er det dannet en egen arbeidsgruppe fra Mattilsynet, Fiskeridirektoratet, Veterinærinstituttet og Havforskningsinstituttet hvor målet er å legge grunnlaget for en mer enhetlig og kvalitetssikret rapportering av dødelighet fra oppdrettsnæringen. Dette kan da være med og bidra til bedre dyrevelferd og økt tillit til norsk havbruk. De fire etatene jobber for å få på plass bedre data i løpet av 2027.

Laksvel-protokollen definerer lav dødelighet som å ha en månedlig innrapportert dødelighet under 0,3 %. Oppdrettsanlegg som ligger rundt eller under dette nivået vil oppnå en produksjonsdødelighet rundt 5 %. Dette er målet som regjeringen har satt i Dyrevelferdsmeldingen (Meld. St. 8, 2024,2025). Data for de siste 20-årene viser at andelen månedlige rapporter om laksemerder med tap på dette nivået har gått gradvis nedover (figur 2.1). Dette viser at det er et betydelig potensial til forbedring av fiskevelferden i næringen. Den relative store nedgangen fra 2015 til 2016 samvarierer med at dette var en periode hvor en gikk fra å hovedsakelig avluse fisken i kjemiske bad i merden, til å avluse fisken ved hjelp av mekaniske og termiske metoder. Hvis en ser på data for de siste tre årene kan det se ut som 2025 har vært et bedre år for fiskevelferd enn 2024 og særlig 2023. Minimumet i 2023 samvarierer med at dette var året hvor perlesnormanet invaderte kysten i store mengder for første gang siden 2001 (og før det 1997). I 2023 ble det innrapportert et tap på over 70 millioner oppdrettslaks.

 

: Figuren er et stolpediagram, med årstall langs x-aksen fra 2006 til 2025. Y-aksen viser prosent og går fra 0 til 100.
Figur 2.1. Laksvel-protokollen skårer månedlig dødelighet hos oppdrettslaks fra skår 0 til 3. Skår 0: <0,3 %. skår 1: 0,3 til <0,7 %, skår 2: 0,7 til <2,0 % og skår 3: >2 % dødelighet. Figuren viser andel innrapporterte oppdrettsmerder med laks med tap i hver av de fire kategoriene for kalenderårene 2005 til og med 2025.

Vinteren er en tid på året hvor laks er mer utsatt for sår enn ellers, og i etterkant av perlesnormanetinvasjonen høsten 2023 var det en tydelig økning i fisk som ble nedklassifisert ved slakt pga. sår i forhold til de to foregående årene (figur 2.2A). Selv om perlesnormanet også ble hyppig observert i 2024 (dugnadforhavet.no, figur 2.2B) så var det langt færre innrapporterte hendelser til Mattilsynet om økt dødelighet grunnet maneter, og andelen nedklassifisert fisk grunnet sår var i 2025 tilbake til lignende nivå som året før invasjonen (figur 2.2A). Heldigvis har det blitt observert relativ lite perlesnormanet langs kysten i 2025 (figur 2.2B). Det ble også kun rapportert inn åtte velferdsmessige hendelser til mattilsynet i 2025 som kan direkte relateres til maneter (bekreftet ved hjelp av algestatus.no). Alle disse var i PO8 (figur 2.2C).

Det ble rapportert inn flere velferdsmessige hendelser knyttet til alger i 2025 (figur 2.2C). Under våroppblomstringen (april–mai) 2025 ble det i PO9 og PO10 rapportert store tap knyttet til algene Phaeocystis og Chrysochromulina leadbeateri. Mye fisk ble også sendt til tidlig slakt. Phaeocystis er vanlig i Nord-Norge og kan i enkelte år og områder opptre i høye tettheter i forbindelse med våroppblomstringen. I moderate mengder anses arten som ufarlig, men ved høye tettheter kan de danne geléaktige kolonier på opptil 2 mm i diameter og forårsake svekket gjellefunksjon hos oppdrettslaksen. Tre av de ni rapporterte hendelsene skjedde under transport eller pumping. Det ble også rapportert inn problemer med alger høsten 2025. Denne gangen i PO1. Her ble det i vannprøver kun funnet relativt lave konsentrasjoner av Chrysochromulina og kiselalger, nivåer som normalt ikke forventes å være problematiske for fisk. Dette fremhever vanskeligheten med å definere «fare»-terskler for alger og maneter. Toksisitet kan variere innenfor arter fra blomstring til blomstring, mens fiskens mottakelighet varierer med helse, miljø og andre stressfaktorer. I tillegg kan konsentrasjonene endre seg raskt, i løpet av timer, og derfor kan overvåking én gang i uken overse lokale blomstringer.

 

Figuren består av fire diagram, der fargene er følgende: grønn = data fra 2022, rød = data fra 2023, blå = data fra 2024, svart = data fra 2025. Diagram A øverst til venstre «Prosentandel av slaktet laks per uke som ble nedgradert til produksjon eller utkast på grunn av sår» er et linjediagram med måneder langs X-aksen (annenhver måned er listet). Y-aksen er % nedgradert pga. sår, med skala fra 0 til 35 %. Diagram B øverst til høyre «Observasjoner av perlesnormaneter (Apolemia sp.) rapportert til Dugnad for havet» er et linjediagram med måneder langs X-aksen (annenhver måned er listet). Y-aksen er antall maneter observert, med skala fra 0 til 250. Diagram C nederst til venstre «Antall velferdsmessige hendelser knyttet til maneter eller alger rapportert til Mattilsynet i 2025» er stablet stolpediagram med produksjonsområdene 1 til 13 langs X-aksen, felles akse for 12 og 13. Y-aksen er antall manetrelaterte hendelser, med skala fra 0 til 10. Diagram D nederst til høyre «Andel av slaktet fisk nedklassifisert til produksjonsfisk eller utkast» er et stablet stolpediagram med produksjonsområdene 1 til 13 langs X-aksen, felles akse for 12 og 13. Y-aksen er prosentandel slaktet fisk, med skala fra 0 til 20.
Figur 2.2. (A) Gjennomsnitt av mengde laks levert per oppdrettsanlegg til slakteri som ble nedklassifisert til produksjon eller utkast på grunn av sår for årene 2022-2025. Grønn = data fra 2022, rød=data fra 2023, blå = data fra 2024, svart = data fra 2025. (B) Observasjoner av perlesnormaneter (Apolemia sp.) rapportert til Dugnad for havet for årene 2022-2025. Grønn = data fra 2022, rød=data fra 2023, blå = data fra 2024, svart = data fra 2025. (C) Antall velferdsmessige hendelser knyttet til maneter eller alger rapportert til Mattilsynet i 2025. Grønn = hendelse identifisert som alger, rød = hendelse identifisert som manet og blå = uklart om det er en manet eller alge hendelse. D) Andel av slaktet fisk nedklassifisert til produksjonsfisk eller utkast. Grønn = kjønnsmodning, rød = sårskader, blå = defekter, svart = klinisk sykdom.

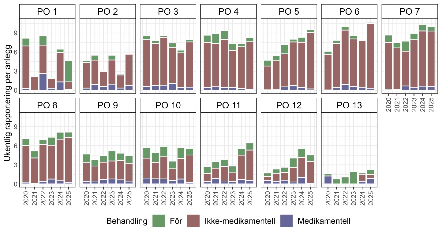
Klimaendringer og høyere temperaturer påvirker oppdrettslaksen. Ved høye temperaturer øker laksens oksygenbehov, samtidig som oksygeninnholdet i vannet går ned. Men økt temperatur kan også ha mange indirekte effekter. De siste to årene har vi sett eksempler på marine hetebølger og noen av de medfølgende konsekvensene, blant annet gjennom økt smittepress fra lakselus og dermed økt behov for avlusinger. Først sommeren 2024, da det var uvanlig varmt i Nord-Norge over lengre tid, og deretter sommeren og høsten 2025, da det var varmerekorder på Vestlandet. Lakselus utvikler seg og formerer seg raskere ved høye temperaturer, og da det plutselig ble betydelig varmere i Nord-Norge i 2024, medførte dette logistiske utfordringer grunnet økt behov for avlusningsoperasjoner (figur 2.3). På samme måte bidro de høye temperaturene i Sør-Norge i 2025 til økt behov for avlusing i mange av disse områdene i forhold til i 2024 (figur 2.3).

 

Figuren består av 13 stablete stolpediagram, ett for hvert av de 13 produksjonsområdene, der 1 til 7 er øverst og 8 til 13 er nederst. En stolpe per år fra 2020 til 2025, og viser antall rapporter per anlegg (Y-aksen, skala fra 0 til 12). Fargene representerer følgende behandling: grønn (fôr), rød (ikke-medikamentell) og blå (medikamentell).
Figur 2.3. Ukentlige rapporter for avlusningsbehandlinger til Mattilsynet i PO1 til 13 for årene 2020 til 2025 justert for gjennomsnittlig antall oppdrettsanlegg med laks eller regnbueørret i de respektive produksjonsområdene. NB: Dette er ukentlige rapporter og kan være for behandlinger av hele eller kun deler av anlegget. Antall rapporter er derfor bare en indeks for antall reelle avlusinger i næringen.

I 2025 ble rapporteringssystemet til Mattilsynet for hendelser som gir dårlig velferd for oppdrettsfisk forbedret. Hendelsene har nå tydeligere kategorier, samt rapporter om antall døde og berørte på lokalitet og merdnivå. Ikke-medikamentell avlusing (IMM) er fortsatt den vanligste sakstypen, og utgjorde 47 % av alle meldinger i 2025, med ca. en tredjedel flere tilfeller enn i 2024. IMM hadde også den høyeste dødeligheten av de som var rapportert i meldingene. Produksjonsområde 6 hadde det klart høyeste antallet tilfeller og tilhørende dødelighet fra IMM. Det nest vanligste meldinger var «Sykdom» (tidligere Helse), med 17 % av meldinger som hadde dette som hovedårsak. Mange av tilfellene kategorisert som «Annet» (den tredje vanligste hendelsestypen) er helserelaterte, med kommentarer om helseproblemer (f.eks. gjellehelse). Totalt sett har helse-/sykdomstilfeller gått noe ned mellom 2025 og 2024, men PO8 hadde en merkbar økning i denne typen rapporter. Meldinger kategorisert som «Alge-og-manetangrep» utgjorde ca. 3 % av sakene. Her var den den påfølgende dødeligheten nesten 10 %, noe som indikerte få, men alvorlige hendelser.

For å redusere dødelighet fra IMM prøver næringen ut nedsenkede merder og andre produksjonsformer som gir lavere påslag av lakselus. Ved å senke merdene er ikke laksen i de øverste vannlagene, hvor tettheten av infesterende lakseluslarver er størst, gitt at det er en lokalitet med lite vertikale vannstrømmer. Nedsenket drift krever større presisjon og er både praktisk, teknologisk og biologisk mer krevende enn drift i standard merder. Laks har åpen svømmeblære og det må derfor være en luftkuppel i taket på den nedsenkede merden som laksen kan bruke til å fylle svømmeblæren sin. I noe av den tidlige luftkuppel- og utfôringsteknologien var det skarpe kanter på utstyr og periodevis mangel på luft. Dette antas i noen tilfeller å ha ført til økt andel snuteskader og sårutvikling på fisken. Oppgraderinger av utstyr og forbedrede driftsmetoder har redusert disse problemene. Basert på begrenset dokumentert erfaring er det antydet lavere eller tilsvarende dødelighet som i standard merder. Det har likevel forekommet hendelser der grupper har måttet bringes opp til overflaten, og i de verste tilfellene har det vært behov for avliving. Bruken av nedsenkede merder øker nå raskt: i 2023 var det omtrent 10 lokaliteter med nedsenkede merder, i 2024 cirka 20, og i 2025 omtrent 40. Dypdrift foregår i PO3–9 og PO11, og over 30 millioner laks er hittil slaktet fra nedsenket drift. Ett nedsenket anlegg har også produsert regnbueørret fram til slakt.

Lukket og- semi-lukket (uten rensing av vann) oppdrett, der sjøvannet hentes fra dypet er svært effektivt for å unngå lusesmitte, men er mer omfattende konstruksjons- og kostnadsmessig enn nedsenkede merder. Lukket oppdrett kan være basert på land eller flytende i sjøen, hvor varighet av sjøfasen til laks kan være fra få måneder før utsett og sluttvekst i åpne merder, til å dekke hele sjøfasen fra smolt til slaktestørrelse. En rekke ulike konsepter for lukket drift er stadig under utvikling. Felles er at de fleste miljøfaktorene, som for eksempel vannstrømstyrke og som oftest lys, må kunstig tilrettelegges i samspill med kostnadseffektiv fisketetthet. Gitt stor variasjon i både lukket-konsepter med dertil oppdrettsmiljø og produksjonsstrategier, har næringsaktører erfart ulike utfordringer. Problemer med sår og gjeller er gjeldende også i lukket oppdrett, og det erfares dårligere ytelse jo større laks er ved overføring fra lukket til åpne merder i sjøen.

Et alternativ til nedsenket eller lukket drift er å flytte oppdrettet til havs. De første fullskala anleggene til havs er ennå ikke etablert utenfor Norge, men Nærings- og fiskeridepartementet har pekt ut tre områder for dette: Norskerenna sør, Frøyabanken nord og Trænabanken. Hovedbekymringer for fiskevelferd ved havbruk til havs er at kraftig strøm og store bølger kan overstige laksens toleranse, og at perioder med svak strøm kan gi dårlig oksygentilførsel i store merder. Havforskningsinstituttet har gjort hydrografiske målinger i Norskerenna sør og fant generelt gode forhold: stabil temperatur og ikke ekstreme strømforhold. Det var imidlertid perioder med lav vannføring. Lignende undersøkelser av Frøyabanken og Trænabanken er planlagt i år, og mer detaljerte fiskevelferdsvurderinger ventes neste år. Det mangler fortsatt praktisk kunnskap om bølgers effekt på atferd, drift og logistikk ved lokaliteter til havs, men så lang er vurderingen positiv: oppdrettslaks kan trolig trives til havs.

Dyrevelferd handler om den enkelte fisk sin rett til et godt liv. Siden risikoanalysen utføres på PO-nivå, ser vi derfor på hvor stor sannsynlighet det er for at en oppdrettsfisk som settes ut i et gitt PO vil oppleve så dårlig velferd at den ikke overlever til slakt eller blir regnet som utkast. Altså at den blir registrert som dødfisk, utkast, rømt eller annet tap (figur 4). Årsaker til at fisk blir nedgradert til utkast inkluderer at de har klinisk sykdom, sårskader, er kjønnsmoden, selvdød eller har andre defekter. Fisk kan bli innrapportert som annet tap av en rekke grunner, inkludert at de har blitt avlivet av velferdshensyn. Som nevnt tidligere, så synes det å være variasjon mellom PO-er og landsdeler i bruken av denne kategorien når oppdretter rapporterer tallene inn til Fiskeridirektoratet. Vi har derfor valgt å ikke bruke dødelighet alene som indikator, men alle fire kategoriene. I den offisielle biomassestatistikken fra Fiskeridirektoratet blir også innrapportert tellefeil inkludert under annet tap. Siden tellefeil ikke sier noe direkte om fiskevelferd har vi valgt å ikke ta med tellefeil i vår analyse over innrapporterte tap.

Tapsprosenten på landsbasis har ligget mellom ca. 16 og 18 % for de siste årsklassene. Vi definerer derfor at PO-er med et forventet tap rundt 17 % har moderat sannsynlighet for at en oppdrettslaks eller regnbueørret som blir satt ut i 2026 opplever så dårlig velferd at den blir regnet som tapt. Hvis tapet vurderes som vesentlig over 17 % konkluderes det med høy sannsynlighet, og vesentlig under 17% som lav sannsynlighet. I risikoanalysen for hvert PO tar vi også hensyn til hvor hyppig det blir innrapportert høyt tap fra enkeltmerder til Fiskeridirektoratet og innrapporterte data til Mattilsynet om lakselus, avlusingsoperasjoner, velferdsmessige hendelser, nedklassingsdata fra slakteri og sykdom. Merk at når risikoen for dårlig velferd vurderes som lav, moderat eller høy for et PO er dette relativt til i andre PO-er og tidligere årsklasser, og ikke en etisk vurdering.

Den siste årsklassen av oppdrettslaks som, med få unntak, er ferdig utslaktet er 2023-årsklassen. Dette er laks som ble satt ut i oppdrettsmerder i 2023 og som har vokst til slaktestørrelse i løpet av 2024 og 2025. For denne årsklassen ble det rapporter et tap på ca. 15 % dødfisk, nesten 1% utkast fra slakteri, ned mot 0 % som rømt, og ca. 2 % som tapt av andre årsaker enn de tre foregående tapskategoriene (ikke inkludert tellefeil). Dette utgjør et total tap på nesten 18 %. Dette er på tilsvarende nivå som for tidligere årsklasser; 2018: 18 %, 2019: 17 %, 2020: 16 %, 2021: 17 %, 2022: 18 %. For 2024-årsklassen, er tapet foreløpig nesten 16 %. Men siden det her fortsatt er mye fisk i sjøen forventer vi at også denne årsklassen vil nå 17-18 %. For landet sett under ett ser dermed taps-tallene for hver årsklasse med oppdrettslaks satt ut i sjø å være relativt stabile.

 

Figuren består av 13 stablete stolpediagram, ett for hvert av de 13 produksjonsområdene, der 1 til 7 er øverst og 8 til 13 er nederst. En stolpe per år fra 2018 til 2024, og viser antall regnbueørret i millioner (Y-aksen, skala fra 0 til 25). Fargene representerer følgende: rød (død), svart (utkast), blå (fortsatt i sjø) og grønn (slaktet m.m.). Prosenttall er gitt over hver av stolpene. PO3, 4 og 5 har stolper av «en viss størrelse, mens PO 6 og 9 har minimalt synlige stolper. Resterende har ikke stolper.
Figur 2.4. Totalt antall laks satt ut per år fra 2018 til 2025 i PO1 til 13 ifølge Fiskeridirektoratets biomassestatistikkdatabase per 20.01.2026. Rød er antall laks rapportert som død, svart er antall laks rapportert som utkast, grå er antall laks rapportert som rømt, oransje er antall laks rapportert som tap av andre årsaker enn dødfisk, utkast og rømming (unntatt tellefeil), grønn er antall laks rapportert som slaktet, blå er antall laks fortsatt i sjø per utgangen av desember 2025. Prosenttallet angir hvor mange prosent av hver årsklasse som er angitt som tap. Dataene rapporteres månedlig fra oppdretterne via Altinn til databasen og benyttes av Fiskeridirektoratet til å kontrollere at kravene til maksimum tillat biomasse overholdes. Databasen kan inneholde unøyaktigheter og det kan være forskjeller i hvordan dataene rapporteres inn fra oppdretter.

Selv om tapstallene som helhet for hele landet er relativt stabile, så skjer det endringer innenfor individuelle PO-er. Det kan f.eks. se ut som om tapet i PO3 er på vei fra ett nivå rundt eller over 20 % til ett nivå under 20 % (figur 2.4), og at PO4 er på vei fra ett nivå over 20 % til ett nivå rundt 20 % (figur 2.4). For PO3 var det også en markant nedgang i innrapporterte velferdsmessige hendelser i 2025 og 2024 i forhold til årene før. Den høye dødeligheten i PO3 for 2022-årsklassen sammenfaller med at PO3 er det PO-et hvor det ble rapportert inn flest tilfeller av forøkt dødelighet fra perlesnormanet til Mattilsynet høsten 2023. Det høye tapet for 2019-årsklassen i PO4 skyltes flere anlegg som hadde PD-smitte og mange avlusinger, samt et tilfelle med rundt 250 tusen nyutsatt smolt som døde kort tid etter de kom i sjø. Det høye tapet 2 for 2020-årsklassen skyldes en enkelthendelse ved et anlegg. Produksjonsområde 6 er det området med mest laks, og har hatt en jevn stigning i tap for de siste årsklassene fra 14-16 % til 18-19 % for 2022- og 2023-årsklassen (figur 2.4). I 2025 var det spesielt mange innrapporterte velferdsmessige hendelser i forbindelse med IMM i PO6. PO6 er også et av produksjonsområdene som hadde størst andel nedklasset fisk i 2025 (figur 2.2D). I motsatt ende av landet ser PO12 ut til å gå mot å stabilt ha et tap på rundt 25 % for hver årsklasse. Det høye tapet for PO11 for 2023-årsklassen, samvarierer med at dette var et år med uvanlig høye temperaturer i Nord-Norge der medførte et økt lusepress og flere avlusinger (figur 2.3). Det høye tapet for 2018-årsklassen i PO9 og 10 samvarierer med en algeoppblomstring våren 2019. Dette gjentok seg særlig for PO9 våren 2025 med tilsvarende algeoppblomstring.

Salmonid alfavirus (SAV) er et virus som forårsaker pankreassykdom (PD). Anlegg i den så kalte PD-sonen, som strekker seg fra Jærens rev (PO2) til Skjemta, Flatanger (PO6) er omfattet av færre restriksjoner og pålegg ved påvisning av SAV enn anlegg utenfor PD-sonen. Utenfor PD-sonen resulterer påvisning av SAV som regel i utslakting, som sist skjedde i PO8 i 2023, med fire påvisninger og hvorav destruksjon av laks fra to anlegg med 2023-generasjonen utgjorde ca. 2 millioner av fiskene som ble registrert som død i 2023. Veterinærinstituttet sin Årsrapport for pankreassykdom (PD) 2025 viser at den nedadgående trenden fra et høyt antall PD-tilfeller i 2020 vedvarte gjennom 2025. Med 44 meldte PD-tilfeller i 2025 må en tilbake til 2004 for et tilsvarende lavt nivå. For den alvorlige sykdommen infeksiøs lakseanemi (ILA) rapporterer Veterinærinstituttet 18 tilfeller i 2025, opp fra 13 tilfeller i 2024, som var det laveste tallet siden 2019 da 10 tilfeller av ILA ble påvist.

Det årlige utsettet av regnbueørret var nede i ca. 21 millioner i 2025, mot 26 millioner i 2026, og rundt 24 millioner i 2023 og 2022. Det aller meste av regnbueørret blir satt ut i PO3-5, med PO4 som det klart største regnbueørretområdet (figur 2.5). Tap per årsklasse for regnbueørret har typisk vært under 15 % for de siste årsklassene. For PO3 og PO5 er det få lokaliteter med regnbueørret, og enkeltutsett med høy dødelighet får dermed stor innflytelse på tapet i disse PO-ene. Eksempelvis har 2022-årsklassen i PO5 et tap på 19 % (figur 2.5). Tapet for regnbueørret er vesentlige lavere enn for laks i de samme PO-ene (sammenlign figur 2.4 og 2.5). Av velferdsmessige hendelser for regnbueørret I 2025, var 84 % knyttet til IMM.

 

Figuren består av 13 stablete stolpediagram, ett for hvert av de 13 produksjonsområdene, der 1 til 7 er øverst og 8 til 13 er nederst (slått sammen for 12 og 13). En stolpe per år fra 2018 til 2025, og viser antall laks i millioner (Y-aksen, skala fra 0 til 60). Fargene representerer følgende: rød (død), svart (utkast), blå (fortsatt i sjø) og grønn (slaktet m.m.). Prosenttall er gitt over hver av stolpene.
Figur 2.5. Totalt antall regnbueørret satt ut per år fra 2018 til 2025 i PO1 til 13 ifølge Fiskeridirektoratets biomassestatistikkdatabase per 20.01.2026. Rød er antall laks rapportert som regnbueørret, svart er antall regnbueørret rapportert som utkast, grå er antall regnbueørret rapportert som rømt, oransje er antall regnbueørret rapportert som tap av andre årsaker enn dødfisk, utkast og rømming (unntatt tellefeil), grønn er antall regnbueørret rapportert som slaktet, blå er antall regnbueørret fortsatt i sjø per utgangen av desember 2025. Prosenttallet angir hvor mange prosent av hver årsklasse som er angitt som tap. Dataene rapporteres månedlig fra oppdretterne via Altinn til databasen og benyttes av Fiskeridirektoratet til å kontrollere at kravene til maksimum tillat biomasse overholdes. Databasen kan inneholde unøyaktigheter og det kan være forskjeller i hvordan dataene rapporteres inn fra oppdretter.

2.2 Risiko for høy lakselusindusert dødelighet hos utvandrende postsmolt laks og negative effekter av lakselussmitte på sjøørret og sjørøye

Lakselus er en naturlig forekommende parasitt som lever av og på laksefisk. I Norge er både oppdrettet laks og regnbueørret, samt vill laks, sjøørret, sjørøye og pukkellaks, mulige verter for lakselus. Lakselus lever av slim, hud og blod og kan, om antall parasitter blir høyt nok, medføre dødelighet hos vertene. Fysiologiske effekter av lakselus på laks, sjøørret og sjørøye har vært grundig studert, og inkluderer blant annet økte nivåer av stresshormonet kortisol, problemer med vann- og saltbalansen og nedsatt immunologisk kapasitet, spesielt når lusa utvikler seg fra fastsittende larver til bevegelige lus. I tillegg kan smitte av lakselus medføre redusert vekst, svømmeevne og reproduksjon hos den infiserte fisken.

Den store produksjonen av laks og regnbueørret i åpne merder langs norskekysten gir lakselusa mange verter og dermed et godt fødegrunnlag, noe som fører til unaturlig høye populasjoner av parasitten i oppdrettsintensive områder. Antall lakselus tillatt på oppdrettsfisk er strengt regulert. Det store antallet oppdrettet laksefisk resulterer likevel i at det produseres store mengder lakseluslarver som spres ut i miljøet via vannstrømmene. Disse lakseluslarvene kan infisere utvandrende postsmolt av laks, samt sjøørret og sjørøye som oppholder seg langs kysten. Med veksten i akvakulturnæringen har lakselus utviklet seg til å bli et betydelig problem for bestandene av vill laksefisk i Norge. Påvirkning av lakselus fra oppdrett, som er opphav til > 97 % av all lakselus i Norge, har lenge vært regnet som en av de største miljøutfordringene for oppdrettsnæringen.

For laks er det vist at påvirkningen av lakselus på bestandsnivå hovedsakelig er knyttet til dødelighet på utvandrende laksesmolt. En gitt lakselusindusert dødelighet på utvandrende laksesmolt vil føre til en proporsjonal reduksjon i gytebestanden (dvs. antall gytefisk som kommer tilbake). Konsekvensene av en slik reduksjon i gytebestanden og alvorligheten av disse må vurderes ut fra påvirkningen den har på bestandene. Noen bestander er mer robust og kan takle moderate reduksjoner i gytebestanden, mens andre kan oppleve alvorlige konsekvenser selv med små endringer. Dersom reduksjonen i gytebestanden er så stor at det ikke kommer nok gytefisk tilbake til at gytebestandsmålet blir nådd (underrekruttering), kan dette føre til alvorlige konsekvenser i form av nedgang i bestandsstørrelsen over tid, tap av genetisk mangfold (som gjør bestanden mer sårbar for sykdommer, endringer i miljøet og andre stressfaktorer), og i verste fall tap av lokale bestander. Laksebestander som er i god tilstand vil også ha et overskudd som det kan høstes av ved fiske, såkalt «Høstbart overskudd». Selv om en laksebestand oppnår gytebestandsmålet, kan en reduksjon i det høstbare overskuddet ha konsekvenser ut over de økologiske, som reduksjon i økonomisk, kulturell- og rekreasjonsverdi knyttet til laksefiske. Disse verdiene tas ikke med i vår analyse av risiko.

I denne rapporten vurderer vi ikke konsekvensene (eller alvorlighet) på bestandsnivå for enkelte elver (dvs. vi vurderer ikke effekten på gytebestandsmålet og/eller høstbart overskudd i sammenheng med bestandenes robusthet), men tar utgangspunkt i at sannsynligheten for alvorlige konsekvenser øker i tak med smoltdødeligheten. I risikoanalysen bruker vi de samme kategoriene som i trafikklyssystemet, der en postsmoltdødelighet på < 10 % er vurdert å ha liten/ingen effekt på gytebestanden, 10–30 % reduksjon er vurdert å ha moderat effekt på gytebestanden og > 30 % reduksjon er vurdert å ha stor effekt på gytebestanden og dermed også potensielt alvorlige konsekvenser på bestandsnivå.

Effekten av lakselus forventes å være litt annerledes for sjøørret sammenlignet med laks. På den ene siden oppholder sjøørret seg i en lengre periode i kystnære områder, og derfor har en lengre eksponeringstid til lakselussmitte. På den andre siden, kan sjøørret og sjørøye til en viss grad motvirke effekten av lakselussmitte ved å vandre tilbake til elven i perioder for å gjenvinne saltbalansen og avluse seg. Selv om en slik adferd kan redusere sannsynligheten for å dø som følge av smitten, medfører den samtidig økt sannsynlighet for sekundærinfeksjoner og dårligere tilgang på mat og dermed redusert vekst, overlevelse og reproduksjon. Påvirkningen av lakselus på bestandsnivå for sjøørret og sjørøye må derfor anses som en samlet reduksjon i produktivitet. Hvor stor påvirkning en slik reduksjon i produktivitet har på bestandsnivå er vanskelig å fastslå eksakt, og dette vil variere mellom bestander. På lik linje som for laks, vurderer vi i denne rapport at en reduksjon i produktivitet på < 10 % vil ha liten/ingen effekt på bestandsnivå, en reduksjon i produktivitet på 10–30 % vil ha moderat effekt, og en reduksjon i produktivitet på > 30 % vil ha en stor effekt og potensielt alvorlige konsekvenser på bestandsnivå.

I 2024 var det en marin hetebølge som medførte betydelig høyere temperatur spesielt utover beiteperioden for sjøørret og sjørøye, men også i slutten av smoltutvandringen for laks. Hendelsen i 2024 var svært spesiell fordi temperaturen som ble rapportert fra anleggene var rekordhøy og langt over middelverdien for perioden 2012–2023 i ukene 32–39. Men temperaturen var ikke høyere enn 16 grader (snitt alle anlegg PO9–PO13) som er en helt vanlig sommertemperatur lenger sør. I tillegg til varmt vann, har produksjonen økt i produksjonsområdene, og det kan virke om oppdretterne ikke hadde god nok kapasitet til å håndtere dette. Effekten på utslipp av lus var voldsom. Ifølge IPCC vil marine hetebølger opptre hyppigere i et fremtidig varmere klima. Når og hvor de kommer er det imidlertid ingen som kan forutsi, i alle fall ikke per dags dato. Vi vet ikke om oppdrettsnæringen vil være godt nok forberedt for slike hendelser i tiden fremover. Siden laksefisk er relativt motstandsdyktige mot en enkelt hendelse, har vi ikke lagt vekt bare på den til dels ekstreme situasjonen i 2024, men sett på trenden de senere år. Har trenden i området vært økt produksjon av lakselus har dette i flere tilfeller også gitt utslag i økt sannsynlighet for «Høy lakselusindusert dødelighet hos utvandrende smolt» og «Negative effekter av lakselussmitte på sjøørret og sjørøye». Med manglende kunnskap om hyppigheten av fremtidige marine hetebølger, øker usikkerheten i analysene og også risikonivået i en del av produksjonsområdene.

Sannsynlighet for at utvandrende postsmolt laks dør eller at sjøørret og sjørøye blir negativt påvirket som følge av lakselus, avhenger hovedsakelig av hvor mye lakselus den blir smittet med, samt postsmoltens toleranse for lakselus (toleransegrenser). Det antas at fisk som er frisk og velfødd har en høyere toleranse for lakselus, mens fisk som i ulik grad er svekket av sykdom eller underernæring har lavere toleranse. I dag brukes antall lus per gram fiskevekt for å estimere sannsynlighet for at et individ dør på grunn av lakselus, gitt tålegrenser eller grenseverdier for når dødelighet inntreffer. Da variasjonen i sykdom- og ernæringsstatus er stor i alle villfiskbestander, antar vi at all vill laksefisk har moderat toleranse for lakselus, uavhengig av produksjonsområde. Selv om vi har en del kunnskap om smoltens toleranse gjennom data fra kontrollerte forsøk og felt så vet vi mindre om toleransegrensene for villfisk over hele beiteperioden. Kunnskapsstyrken knyttet til toleransegrensene vurderes derfor til å være moderat for både laks, sjøørret og sjørøye i alle produksjonsområder.

Graden av smittepress avhenger av størrelsen på utslipp av lakseluslarver fra fiskeoppdrett, temperatur, fordelingen av luselarvene og lusetetthet i tid og rom i forhold til enten vandringsrutene for laks eller beiteområdene for sjøørret/sjørøye. Antall lakselus produsert på vill laksefisk og rømt oppdrettsfisk er neglisjerbar i forhold til antall lakselus som slippes ut fra oppdrettsanlegg. Kunnskapen om utslipp av lakselus er derfor basert på ukentlige tellinger i alle aktive oppdrettsanlegg av voksne lakselus.

Ved vurdering av risikofaktoren for laks bruker vi perioden fra 20 dager før median utvandring til 20 dager etter median utvandring. Tilnærmingen har endret seg litt fra 2024 vurderingen da vi nå benytter tallmateriale for smittsomme luselarver (kopepoditter) istedenfor tallmateriale for antall produserte larver (nauplier). Grenseverdier for høy, middels eller lav verdi på risikofaktoren bygger på den mengden av luselarver som historisk har ført til en vurdering av villfiskdødeligheten som høy, middels eller lav ifølge historiske vurderinger fra ‘Ekspertgruppe for vurdering av lusepåvirkning’ (EGR 2016-2025). Basert på dette vurderes forekomst av lakseluslarver (i utvandringstid for laks) i utgangspunktet som lav når den er under 55 millioner, som moderat når den er mellom 55 millioner og 120 millioner, og som høy når den er over 120 millioner. Disse grensene er imidlertid basert på verdier fra hele landet og i den endelige vurderingen vektlegges også forekomsten av smittsomme kopepoditter i forhold til nivåene som historisk har medført uakseptabel høy dødelighet i det enkelte produksjonsområdet der slike data finnes.

Beiteperioden for sjøørret er antatt å starte samtidig med median utvandringstid for laks og risikofaktoren for sjøørret vurderes basert på den antatte beiteperiode (70 dager i PO1-6, 60 dager i PO7-PO13). For sjøørret er det mer komplisert å definere grenseverdier for høy, middels og lav påvirkning enn for laks. Vi har satt grenseverdier basert den mengden av luselarver som førte til lav, middels eller høy vurdert påvirkning i «Risikorapport norsk fiskeoppdrett 2022 – kunnskapsstatus» , som igjen er basert på modellert tap av marint leveområde for årene 2019-2021. Forekomst av lakseluslarver (i beiteperioden for sjøørret) vurderes basert på dette som lav når snittet er under 175 millioner, moderat når snittet er mellom 175 millioner og 300 millioner, og som høy når snittet er over 300 millioner. Som for laks er disse grensene basert på verdier fra hele landet og i den endelige vurderingen vektlegges også forekomsten av smittsomme kopepoditter i forhold til nivåene som historisk har medført uakseptabel høy påvirkning på sjøørret og sjørøye i det enkelte produksjonsområdet der slike data finnes.

Beregningene av fordeling og tetthet av lakselus i miljøet er basert på godt utprøvde hydrodynamiske modeller som dekker hele landet, og hver uke publiseres tettheten av lakseluslarver langs hele kysten i Lakseluskartet. Utvandringstider for laks, sjøørret og sjørøye er relativt godt kartlagt, mens vi i mange områder har lite kunnskap om utvandringsrutene til postsmolt laks. Valg av utvandringsruter kan være avgjørende for om fisken svømmer inn i områder med høye tettheter av lakselus eller ikke. Generelt vil korte utvandringsruter og ruter som ikke følger kysten redusere sannsynligheten for at postsmolten blir smittet av et høyt antall lakselus. Også oppdrettsfrie områder kan redusere påslaget for laks som har lange utvandringsruter. Sjøørreten og sjørøye blir gående i lengre perioder i kystnære strøk for å beite før de vandrer opp igjen i elvene på høsten og er dermed mer utsatt for smitte enn den utvandrende laksen. Lusa unnviker lave saltholdigheter som de vi finner i indre fjordstrøk og har mye kortere generasjonstid ved høyere sjøtemperatur, og dette tar sprednings- og produksjonsmodellene høyde for.

I overvåkningen av lakselus kombineres en rekke observasjonsmetoder og modeller for å vurdere tilstanden i de ulike produksjonsområdene. Observasjonsmetodene inkluderer sjøørret/sjørøye fanget med ruse og garn, utvandrende postsmolt laks fanget med trål og kultivert postsmolt laks i smoltbur (Overvåking lakselus). I tillegg til observasjoner er det de siste 10–15 år utviklet et modellsystem som beregner konsentrasjonen av lakselus langs hele kysten. For å tolke sammenhengen mellom tetthet av smittsomme kopepoditter og graden av påvirkning på vill fisk er det videreutviklet to modellprodukter: ROC (Relative Operating Characteristic) og VPS (virtuell smoltmodell). ROC-modellen brukes for å beregne i hvilke områder vill fisk opplever forhøyet smittepress i en gitt periode. Det er i tillegg beregnet en ROC-indeks som gir et objektivt mål på andel av produksjonsområdenes areal med sannsynlighet for høyt påslag av lakselus.

For å beregne hvor stort areal i produksjonsområdet som blir uegnet for beitende sjøørret benyttes samme metode som over, men tilpasset sjøørret. Dette innebærer beregning av redusert marint leveområde, RML (dvs. hvor stor andel av leveområdet som blir uegnet pga. høye tettheter av lakselus) og redusert marin beiteperiode, RMT (dvs. 70 (produksjonsområde 1–7) eller 60 (produksjonsområde 8–13) dager fratrukket antall dager før RML blir større enn 30 % ved antatt dato for utvandring). VPS modellen brukes for å beregne påslag av lakselus og estimert luserelatert dødelighet på utvandrende laksesmolt fra enkeltelver.

2.3 Risiko for ytterligere genetisk endring hos villaks som følge av innkryssing av rømt oppdrettslaks

På grunn av målrettet avl og tilpasning til oppdrettsmiljøet siden tidlig på 1970-tallet har oppdrettslaks endret seg fra sitt ville opphav. Rømming av oppdrettslaks fra oppdrettsanlegg utgjør derfor en trussel mot den genetiske integriteten til de ville laksebestandene, dersom den krysser seg med villaks. Det første genetiske studiet som dokumenterte innkryssing av rømt oppdrettslaks i ville laksebestander, ble publisert i 2006. Videre forskning har vist at innkryssing reduserer den genetiske variasjonen mellom bestandene, i en slags homogeniseringseffekt. Villaksen forvaltes i dag etter Kvalitetsnorm for ville bestander av atlantisk laks, som hviler på to kvalitetselementer: I) genetisk integritet og II) oppnåelse av gytebestandsmål og høstbart overskudd. Genetisk integritet vurderes i dag ut fra innkryssing av rømt oppdrettslaks.

I dag er det dokumentert, eller indikert, genetiske endringer som følge av innkryssing fra oppdrettslaks i to tredjedeler av de nærmere 250 undersøkte villaksbestandene. I nær en tredjedel av bestandene er tilstanden kategorisert som «svært dårlig» hvilket betyr mer enn 10 % genetisk innkryssing fra oppdrettslaks. I 2017 ble den første studien som dokumenterte endringer i livshistorietrekk hos villaks, som følge av genetisk innkryssing av rømt oppdrettslaks, publisert. Dette og påfølgende arbeid har vist at innkryssing av rømt oppdrettslaks fører til endringer i egenskaper hos innkrysset laks, inkludert lavere overlevelse i elv. Disse observasjonene støtter opp under resultater fra flere store eksperimentelle feltstudier gjennomført i naturen de siste 25 årene, som også har vist lavere eller lik overlevelse i sjø hos avkom av oppdrettslaks. Da det er stor variasjon i egenskapene til de ville bestandene, vil også effekten av innkryssing av rømt oppdrettslaks være ulik mellom bestandene.

Tilgjengelig empirisk og teoretisk kunnskap tilsier derfor at innkryssing av rømt oppdrettslaks i ville bestander vil føre til endringer i viktige egenskaper, som videre kan føre til redusert produksjon av villaks. Dette kan resultere i mer sårbare villaksbestander, med redusert evne til å tilpasse seg framtidige utfordringer, som klimaendringer.

Undersøkelser viser at det er en sammenheng mellom andel rømt oppdrettslaks i et vassdrag og innkryssing av rømt oppdrettslaks. Det betyr at jo flere rømte oppdrettslaks det er på gyteplassen, desto høyere er sannsynligheten for innkryssing. I tillegg til andel rømt oppdrettslaks på gyteplassen, kan villaksbestandenes robusthet påvirke nivået av innkryssing. Dette fordi tallrike villaksbestander uten tidligere genetisk innkryssing antakelig er mer robuste overfor rømt oppdrettslaks, siden den rømte oppdrettslaksen møter større konkurranse fra bedre tilpassete, ville individer. Disse faktorene danner grunnlaget for risikovurderingen for ytterligere genetisk endring hos villaks som følge av innkryssing av rømt oppdrettslaks.

Det er i hovedsak tre faktorer som bestemmer hvor mye rømt oppdrettslaks det er på gyteplassene i hvert enkelt produksjonsområde: rømming, andel rømt oppdrettslaks i elv og utfisking/fjerning av rømt oppdrettslaks fra elv. Av disse tre faktorene er det andel rømt oppdrettslaks i elv som vektes tyngst. I risikovurderingen har vi brukt de årlige klassifiseringene fra det nasjonale overvåkningsprogrammet for rømt oppdrettslaks for de enkelte vassdragene i perioden 2020–2024, publisert i Havforskningsinstituttet sin rapportserie «Rømt oppdrettslaks i vassdrag». Gjennomsnittlig 200 elver dekkes av overvåkningsprogrammet. Andelen rømt oppdrettslaks i elvene varierer mellom år, og det har vært en synkende tendens i registreringene gjennom de siste årene. Offisielle rømmingstall hentes direkte fra Fiskeridirektoratet, og er heftet med usikkerhet, mens effekten av utfisking vurderes basert på data fra Oppdrettsnæringens sammenslutning for utfisking av rømt oppdrettslaks (OURO) og tall fra overvåkningsprogrammet. I elver med høyt innslag av rømt oppdrettslaks skal det gjennomføres utfisking, men dette gjøres som oftest med ett års forsinkelse og kan føre til at vassdrag med mye rømt oppdrettslaks ikke dekkes av OURO før oppdrettslaksen har fått mulighet til å vandre opp i elvene.

Hvor robuste bestandene er for innkryssing av rømt oppdrettslaks, påvirkes av genetisk status hos de ville bestandene og villaksens bestandsstatus. Dersom bestandene når sine gytebestandsmål, vil det være nok gytelaks på gyteplassene til å kunne utnytte elvens produksjonspotensial. Konkurransen på gyteplassen blir enda sterkere dersom villaksbestanden er høyere enn gytebestandsmålet. Oppnåelse av gytebestandsmål og nivå av høstbart overskudd kartlegges årlig av Vitenskapelig råd for lakseforvaltning (VRL) og resultatene publiseres i rapportserien «Status for norske laksebestander». Innkryssing av rømt oppdrettslaks har allerede ført til genetisk endring hos mange villaksbestander, noe som kan forandre viktige livshistorieegenskaper, svekke bestandene og gjøre dem mer sårbar mot ny innkryssing. Dersom estimatet av genetisk innkryssing fra oppdrettslaks er på mer enn 4 %, tilsvarende kategoriene «dårlig» og «svært dårlig» genetisk status i Kvalitetsnormen, regnes det som «dårlig» tilstand i denne risikovurderingen. Kriteriene for «moderat» tilstand er at svake genetiske endringer er indikert, tilsvarende «moderat» genetisk status i Kvalitetsnormen. Kriteriet for «god» tilstand er at ingen genetiske endringer er observert, tilsvarende «god/svært god» i Kvalitetsnormen. Beskrivelse av genetisk status publiseres i rapportserien «Genetisk påvirkning av rømt oppdrettslaks på ville laksebestander» og utgjør delnorm genetisk integritet i «Kvalitetsnorm for ville bestander av laks (Salmo salar)».

Risikovurderingen bygger i hovedsak på data fra 2020–2024. Genetisk status er basert på data publisert i «Genetisk påvirkning av rømt oppdrettslaks på ville bestander – oppdatert status 2023» (NINA Rapport;2393).

Denne risikovurderingen er gjort på produksjonsområdenivå, med mål om å gi et overordnet bilde av risiko knyttet til ytterligere genetisk endring i ville laksebestander. Fordi det innenfor hvert produksjonsområde vil være vassdrag og laksebestander som er ulike med hensyn til de ulike faktorene som påvirker risikoen for ytterlige genetisk endring, vil aggregering av bestandene innenfor et område ikke alltid gi et godt uttrykk for tilstand og risiko for enkeltbestander. Neste steg vil være å gjøre en risikovurdering på elvenivå eller lokalisere mindre geografiske områder der risikoen vurderes å være høy, og gjøre en mer detaljert vurdering.

2.4 Risiko for overgjødsling som følge av utslipp av løste næringssalter fra fiskeoppdrett

Biologisk produksjon i kystvann, det vil si omdannelsen av lys og karbondioksid til levende organisk materiale, er hovedsakelig begrenset av tilgjengeligheten av nitrogen og/eller fosfor. Løste næringssalter slippes ut i kystvann fra befolkning (kloakk), industri, jordbruk og akvakultur. Fra Svenskegrensen til Jæren er det hovedsakelig andre kilder enn akvakultur som bidrar til utslippene til kystvann, mens fra Rogaland til Finnmark er akvakultur den største menneskeskapte norske kilden. I tillegg kommer ekstra næringssalter til norske kystområder som langtransporterte tilførsler, hovedsakelig med kyststrømmen med opprinnelse i Østersjøen og sørlige Nordsjøen.

Det er godt dokumentert at økt konsentrasjon av løste næringssalter (løst nitrogen og fosfor) kan gi uønskede miljøeffekter i marine miljøer. Fosfor slippes ut i form av fosfat, og er naturlig i overskudd langs kysten av Norge. Økt tilførsel av løst fosfor fra fiskeoppdrett vil derfor vanligvis ikke gi respons i form av økt mengde planteplankton i våre økosystemer. Tilførsel av ekstra nitrogen kan derimot bidra til å endre økosystemer som er tilpasset lave nitrogenverdier. Betydelige utslipp av løste nitrogenforbindelser, som det normalt blir for lite av i sommerhalvåret, kan føre til økt planteplanktonproduksjon, økt nedbrytning av algebiomasse i dypet og oksygenmangel i bunnvannet, samt endringer i makroalgesamfunn på grunt vann. Denne tilstanden kaller vi overgjødsling (eutrofi). Overgjødsling fører til økt biomasseproduksjon som forstyrrer den naturlige økologiske balansen i kystsonen, med alvorlige konsekvenser for biodiversitet, økosystemets motstandskraft, rekreasjonsaktiviteter og fiske. Overgjødsling forvaltes som et lokalt eller regionalt fenomen, men kystområder over hele verden, inkludert Europa, påvirkes av overgjødsling.

Effekten av nitrogenutslippene på planteplanktonproduksjonen vil avhenge av sjøareal, oppholdstid og grad av innblanding av andre vannmasser (vannsirkulasjon). Det er også godt kjent at makroalgesamfunn kan respondere raskt på ekstra nitrogentilførsel med redusert biodiversitet og økt forekomst av opportunistiske grønnalger på bekostning av flerårige habitatbyggende arter som tang og tare. Dette fenomenet har vi sett i Oslofjorden i perioden med høye nitrogenverdier på grunn av utslipp fra kloakk, industri og landbruk, mens en undersøkelse av makroalger på hardbunn i Hardangerfjorden, der man har hatt lengre tid med høy oppdrettsintensitet, viste ingen overgjødslingseffekter på makroalgesamfunn i fjorden. Endringer i makroalgesamfunn på grunn av økte næringssaltverdier som gir høy forekomst av opportunistiske arter er kjent fra flere steder i verden og kan ha konsekvenser også for dyreliv som lever i grunne områder. Konsekvensen av høy planteplanktonproduksjon kan være mer alvorlig da også oksygenforhold og dyreliv på sjøbunnen kan påvirkes.

Når laksefisk spiser i anleggene vil det slippes ut løst nitrogen og fosfor via gjellene og også en mindre andel i form av urea. Produksjonen av laksefisk i 2025 vil gi estimerte utslipp på 70 665 tonn løst nitrogen og 9377 tonn løst fosfor (Modell: TEOTIL). Utslippsmengden av løste næringssalter vil være proporsjonal med fiskeproduksjonen, og vi har her brukt beregninger med TEOTIL-modellen som estimerer et utslipp på 38,4 kg løst nitrogen og 5,1 kg løst fosfor per tonn laks produsert. Utslippene er beregnet på grunnlag av data fra Fiskeridirektoratets biomassestatistikk (uttak til slakt i 2024 fordelt på produksjonsområder). Sjøarealene i de ulike produksjonsområdene (PO) varierer, derfor er utslippsmengden vurdert per sjøareal. Dette er gjort fordi samme utslippsmengde vil kunne ha større effekt i et lite sjøareal enn den vil ha i et stort. For å vurdere hva som er høye og lave utslipp har vi tatt utgangspunkt i SG (svært god) tilstandsverdi for nitrat + nitritt i vannforskriften på 12 µ M (sommertilstand). Dersom tilførslene pr år fordelt på volumet av de øvre 10 m i et PO er under 50 % av dette har vi definert sannsynligheten for overgjødsling som lav, mellom 50–100 % som moderat og over 100 % som høy. Dette tilsvarer grenseverdier på 850 og 1700 kgN/km2/år.

Næringssaltkonsentrasjoner, klorofyll-a verdier (planteplankton) og indikatoren «Makroalger på hardbunn» inngår i overvåkning av miljøkvalitet i kystvann. Som et ledd i implementeringen av vannforskriften i Norge ble det i 2013 startet opp en trendovervåkning av miljøtilstanden i norske kystområder (ØKOKYST). Denne overvåkningen dekker foreløpig bare utvalgte stasjoner i fylkene og er for det meste plassert i upåvirkede områder. I Rogaland og deler av Vestland (gamle Hordaland) samt i seks fjorder i Nordland startet det i 2012–2013 opp overvåkning av vannkvalitet med ett relativt dekkende stasjonsnett i områder med matfiskproduksjon. Overvåkningsprogrammet, som følger veiledere gitt etter Vannforskriften (Direktoratsgruppen vanndirektivet, Veileder 02:2018), finansieres av lokale oppdrettere, koordineres av Blue Planet og utføres av akkrediterte, uavhengige firma. Data fra disse tre fylkene gir foreløpig det beste grunnlaget for å si noe om miljøtilstanden i områder med matfiskproduksjon. Etter ti år med overvåkning i Rogaland går man nå over til en overvåkning med lavere frekvens enn tidligere. I 2023 ble det startet opp et overvåkningsprogram i Vestland fylke i regi av Statsforvalteren, dette har gitt verdifulle data fra Hardangerfjorden, og området rundt Måløy og Florø. Målet er å utvide denne overvåkningen til flere kyststasjoner, men aktiviteten er avhengig av finansiering.

Denne risikovurderingen er basert på miljødata etter veiledere i Vannforskriften der slike data finnes, samt beregninger og simuleringer av effekten av utslipp av løste næringssalter fra oppdrett ved hjelp av en økosystemmodell.

Etter grenseverdier satt i vannforskriften, defineres miljøtilstand ut fra klorofyll- a konsentrasjoner. Naturtilstand (svært god) er for de fleste områder satt til 1,8–2,0 µg/l. Grensen mellom god og moderat tilstand går i hovedsak ved 4 µg/l, altså en tilnærmet 100 % økning av klorofyll- a konsentrasjonen. OSPAR definerer overgjødsling som 50 % økning i planteplanktonproduksjonen. Det er vanskelig å direkte sammenlikne klorofyll- a konsentrasjoner med netto planteplanktonproduksjon (NPP). Studier hvor man har sett på forhold mellom klorofyll- a og karbon viser en betydelig variasjon i forholdstallet og at dette i stor grad variere med lysforhold, fysiologisk tilstand i algene og sammensetning av algegrupper. Vi har derfor her valgt å bruke 50 % økning i planteplanktonproduksjonen som et mål på overgjødsling.

Vi har i første omgang gjort enkle beregninger av responsen i planteplanktonproduksjonen for alle produksjonsområder, basert på antagelsen om at 100 % av det løste nitrogenet som slippes ut fra matfiskanlegg omsettes til planktonproduksjon og en midlere naturlig planteplanktonproduksjon i norske kyst- og fjordområder på ca. 135 gram C/m2/år (figur 2.6). Beregningene er utført på det totale sjøarealet i hvert produksjonsområde og tar ikke hensyn til lokale forskjeller som områder med mindre vannutskifting og områder med spesielt høy fiskeproduksjon, som kan gi betydelig høyere prosentvis økning enn verdiene for hele produksjonsområdet. Beregningene er gjort med produksjonstall for 2024 for å gjøre det lettere å sammenligne med modellsimuleringene.

 

Den nederste figuren viser et stolpediagram der hvert produksjonsområde (PO) har en stolpe, fra PO1 innerst til PO13 ytterst. Y-aksen går fra 0 til 25 %. PO2, 3 og 10 er uthevet med litt mørkere farge for sammenligning.
Figur 2.6. Beregnet respons (prosentvis økning) i planteplanktonproduksjonen på grunn av utslipp av løste næringssalter fra oppdrett i produksjonsområder (PO) langs kysten basert på produksjonstall fra 2024. De mørkegrønne søylene viser områdene PO2, PO3 og PO10 som i tillegg har simuleringer av årlig netto planteplanktonproduksjonen ved hjelp av økosystemmodellen NORWECOM.E2E..

For å kunne identifisere lokale områder med høyere sannsynlighet for overgjødsling enn på regionalt produksjonsområdenivå er det i tillegg gjort beregninger av årlig netto planteplanktonproduksjon for PO2, 3 og 10 ved hjelp av økosystemmodellen NORWECOM.E2E. Næringssalt er sluppet ut i posisjoner, tilsvarende oppdrettsanleggenes plassering og utslippsmengde for produksjonsårene 2023 og 2024. Planteplanktonproduksjon er beregnet for vekstsesongen (mars til oktober) i de øverste 65 meter (tilsvarende dyp for fotosyntese). Variasjon i sannsynligheten for overgjødsling mellom år skyldes variasjon i hydrografiske forhold, men kanskje viktigst hvor i produksjonsområdet det produseres mest fisk dette året. Figur 2.7 viser områder i de tre produksjonsområdene som tidvis har en forhøyet sannsynlighet for overgjødsling.

Produksjonsområde 2 hadde en beregnet teoretisk respons på 17,6 % økning i planteplanktonproduksjonen i 2024 (figur 2.6), mens simuleringen med økosystemmodellen viser 5,8 % gjennomsnittlig økning for hele produksjonsområdet (figur 2.7). For produksjonsområde 3 som har en beregnet respons på 19,1 % økning i planteplanktonproduksjonen i 2024, viser modellen en gjennomsnittlig respons på 6,1 %. For produksjonsområde 10 er beregnet respons 9,7 % økning i planteplanktonproduksjonen i 2024, mens simulering viser en gjennomsnittlig økning for produksjonsområdet regionalt på 7,9 %. Den gjennomsnittlige økningen kamuflerer imidlertid store lokale variasjoner i alle de tre produksjonsområdene (figur 2.7).

Denne sammenligningen viser at beregnet teoretisk respons er noe overestimert i forhold til modellen og gir et godt bilde på hvilke områder som tidvis kan ha høyere sannsynlighet for overgjødsling. For neste risikovurdering vil slike simuleringer utføres også for de andre produksjonsområdene og supplere teoretiske beregninger.

Hovedgrunnen til avviket mellom teoretisk og modellert påvirkning av fiskeoppdrett på planteplanktonproduksjonen er at modellert produksjon bare foregår i sommersesongen, og at den suverent største kilden for næringssalt er tilførselen fra kyst til fjord. Økning i planteplanktonproduksjonen på grunn av utslipp av løste næringssalter vil også kunne påvirkes av klimaendringer slik som økte temperaturer, mens formørkning av kystvannet forventes å ha en modererende effekt på planteplanktonproduksjon.

 

Figuren viser seks kartutsnitt av produksjonsområdene 2, 3 og 10. De tre øverste kartene er for 2023 og de tre nederste kartene for 2024. Vannmassene har ulike farger som representerer følgende verdier for økning i planteplanktonproduksjon: blå (0 til 10 %), grønn (11 til 20 %), gul (21 til 30 %), oransje (31 til 40 %) og rød (41-50 %).
Figur 2.7. Modellert respons (prosentvis økning) i planteplanktonproduksjon i 2023 og 2024 på grunn av utslipp av løste næringssalter fra oppdrett for produksjonsområde 2 (PO2), Ryfylke, produksjonsområde 3 (PO3), Karmøy til Sotra og produksjonsområde 10 (PO10), Andøya til Senja ved hjelp av økosystemmodellen NORWECOM.E2E.

For fremtidige vurderinger av miljøkvalitet i kystvann vil det være en stor fordel å etablere flere overvåkningsstasjoner i områder med høy oppdrettsintensitet der dette mangler. Ved en slik etablering er det viktig å legge stasjonene til lokasjoner som er representative for et større område. Produksjonsområdene 2 Ryfylke og 3 Karmøy til Sotra er de områdene i landet som har høyest utslipp av løste næringssalter per sjøareal, men har gode miljødata som gir oversikt og kunnskap som grunnlag for beslutninger om behov for tiltak. Vår vurdering av de andre produksjonsområdene støtter seg også på kunnskap fra disse to produksjonsområdene.

2.5 Risiko for utslipp av partikulært organisk materiale fra fiskeoppdrett

Oppdrettsfisk i Norge produseres i all hovedsak i åpne merdanlegg og det slippes ut organiske partikler direkte til miljøet i form av fekalier fra fisken og fôr som ikke spises (fôrspill). Med dagens teknologi vil det derfor være lokal påvirkning av organiske utslipp under og nært oppdrettsanleggene. Ved å bruke teknologi som samler opp det organiske materialet før det forsvinner ut av merdene, kan utslippene til miljøet reduseres betraktelig. Det er utviklet ulike systemer som samler inn organisk avfall fra oppdrettsanlegg, men disse systemene er foreløpig ikke tatt i bruk i større skala.

Fôrspill er i form av fôrstøv og hele pellets og vil variere mye fra anlegg til anlegg, styrt av røktingsregimet, fôrets egenskaper og fiskens størrelse og kondisjon. Utslipp av organiske partikler kan beregnes etter et massebalansebudsjett basert på fôrsammensetning. Modellen antar at utslipp av fekalier utgjør 27,2 % av fôrmengden, mens fôrspill utgjør 5 %. Disse verdiene bruk es i modeller ing som beregner spredning av totale organiske utslipp fra oppdrettsanlegg til havbunnen i Norge . Vi beregner hvor mye fekalier og spillfôr som gjennomsnittlig kommer ut per anlegg og hvor mye areal det samlede antall anlegg i et produksjonsområde (PO) dekker og spredning av fekalier og spillfôr påvirker. Påvirkningsområde inkludere selve anlegget og en buffersone med 1 km radiusrundt hvert anlegg, og dette ses i forhold til alle anlegg i hele PO’ets areal. Gjennomsnittlig areal for registrerte anlegg er beregnet for hvert PO. Gjennomsnittlig på landsbasis utgjør influensområdet 4 % av PO-arealet. Hvis beregningen for et PO er under 4 % vurderes sannsynligheten for at et stort areal er påvirket av fekalier og spillfôr for lav, ligger den mellom 4 % og 10 % vurderes den som moderat og over 10 % som høy. Informasjonene om fôrforbruk og arealet anlegg og produksjonsområde dekker kommer fra Fiskeridirektoratets statistikk.

Partikler fra et fiskeoppdrettsanlegg bunnfeller vanligvis innfor en kilometer fra anlegget, og de fleste innenfor en avstand av 500 meter, men påvirkning på bunnhabitater er målt ut til 1 km. Mengden av organiske utslipp fra fiskeoppdrett er høy, men hvor mye dette påvirker bunnsystemene, vil variere med de lokale forholdene. Lokalitetens bæreevne er en kombinasjon av de naturgitte forhold som strøm, topografi, bunntype og faunasamfunn og mengden fisk som produseres, det vil si forholdet mellom lokalitetens robusthet og produksjonsintensiteten. God strøm i alle dyp og lav synkehastighet på utslippet er imidlertid ønskelig for å sikre god spredning av partiklene og begrense sedimentering under oppdrettsanleggene. Fjordene er mer utsatt for negativ påvirkning av utslipp fra akvakultur sammenlignet med ytre kystområder, selv om anleggene på kysten ofte er mye større. Faktorer som terskeldyp, mengde naturlige tilførsel fra andre kilder, vannvolum i dypbassengene og frekvensen av utskiftning av dypvannet vil være avgjørende for hvor mye organisk materiale fjorden tåler. Større dyp er også ønskelig, men er ikke nok for å redusere påvirkningen, hvis det ikke samtidig er god strøm. Vi bruker informasjonen om vannområder med dårlig vannutskiftning til å indikere områder med dårlig spredning av partikler i de forskjellige produksjonsområdene.

Lokal påvirkning på bløtbunn skjer ved at nedbrytningen av organisk materiale, enten ved bakterier eller dyr, forbruker oksygen. Dersom forbruket er større enn tilførselen, oppstår det oksygenmangel i sedimentene og de blir anoksiske. Visse bakterier kan leve uten oksygen og bryter ned det organiske materialet, men prosessene er langsomme slik at avfallet lettere bygger seg opp og det utvikles giftige gasser som dreper bunndyrene. Bunndyrsamfunnet er en følsom indikator for organisk påvirkning, og blir mye brukt til overvåking av miljøtilstand. I visse fjorder og innstengte områder kan effekter på bunndyrsamfunn og oksygennivåer i vannsøylen oppstå dersom mengden av organisk materiale, f.eks. i form av fekalier fra matfiskanlegg som spres utenfor anleggsområdet, blir så stor at dyresamfunnene på bunnen endrer seg. Oksygenforbruket øker og bunndyrssamfunnet endres slik vi kjenner det fra bunnpåvirkning tettere på anleggene. Det økte oksygenforbruket kan gi oksygensvikt i bunnvannet, spesielt der tilførselen av oksygen i vannmassene er dårlig.

Årlig gjennomføres en rekke miljøundersøkelser (Norsk Standard NS9410:2016) som skal sikre at den enkelte lokaliteten ikke overbelastes over tid (B- og C-undersøkelser). For å bestemme miljøpåvirkning på bløtbunn, undersøkes sedimentets kjemi og hvilke dyr som er til stede og det er satt grenseverdier for akseptabel påvirkning gjennom Norsk Standard NS9410.2016 og «Veileder for klassifisering av miljøtilstand i vann». Målestasjoner for B-undersøkelsen er lagt direkte ved siden av merder i drift og resultatene viser den organiske belastningen i anleggsområdet. C-undersøkelsen er en mer omfattende bløtbunnundersøkelse og måler bunntilstanden fra anlegget i anleggssonen og utover opp til omkring 600 m fra anlegget. Påvirkningen deles inn i tilstandsklasser fra «Meget god» eller «Svært god» til «Meget dårlig» eller «Svært dårlig» tilstand. Tilstanden i sedimentet overvåkes med en frekvens i forhold til hvor god tilstanden var ved forrige undersøkelse, så jo dårligere tilstand jo oftere undersøkes sedimentet. Tiltak settes i verk hvis tilstanden går mot uakseptable forhold.

Ved uendret produksjon på en lokalitet vil man etter noen produksjonssykluser kunne justere produksjonen til lokalitetens bærekapasitet, for å redusere sannsynligheten for organisk overbelastning ved videre produksjon. B-undersøkelsene utføres minst en gang per produksjonssyklus hvis miljøtilstanden er «Meget god» og oftere hvis tilstanden er «God» eller dårligere. Er miljøforholdene meget gode er det derfor ikke gjort B-undersøkelse ved alle anlegg i løpet av et år, og vi bruker derfor tall fra de to siste årene for å vurdere tilstanden i produksjonsområdene. C-undersøkelsen utføres minst hver tredje produksjonssyklus og oftere hvis tilstanden ikke er «Svært god» eller «God», og antall utførte undersøkelser kan derfor variere fra år til år. For å vurdere tilstanden i produksjonsområdene benyttes derfor tall fra de siste fem årene.

I vurderingen av sannsynligheten for negative effekter på hardbunnssamfunn ved utslipp av partikulært organisk materiale i hvert produksjonsområde inngår informasjon om sannsynlighet for stort påvirket område, sannsynlighet for liten spredning og manglende overvåking. Da det ikke foretas regelmessig overvåking av hardbunn vurderes hvert produksjonsområde i forhold til hvor mye hardbunn som finnes.

Både B- og C-undersøkelser er basert på grabbprøvetaking på bløttbunn, men en del anlegg ligger over enten blandet bunn eller hardbunn der grabb fungerer dårlig. Nye overvåkingsundersøkelser er under utvikling for å kunne overvåke slike lokaliteter bedre, men foreløpig har vi mindre kunnskap om tilstanden på hardbunn enn på bløttbunn. Vi har imidlertid få undersøkelser som dokumenterer hva som skjer på hardbunn gjennom produksjonsperioden, men det er pågående forskning for å identifisere indikatorer og bestemme grenseverdier for akseptabel påvirkning på hardbunn. Selv om det er hardbunn på en lokalitet vil det ofte også være bløtbunn visse plasser, og det er her organisk materiale som spres bort fra anlegget ofte vil akkumuleres. I C-undersøkelsen søker man derfor etter bløtbunn i nærheten av anleggene for å måle påvirkningen på det omkringliggende sedimentet. Så C-undersøkelsen fungerer ofte godt der det kan være vanskelig å ta prøver for B-undersøkelsen. Andelen av hardbunnsundersøkelser i forhold til bløtbunnsundersøkelser vurderes som lav hvis den er under 25 % basert på tall av prøver på hardbunn fra B-undersøkelsen, som moderat mellom 25 % og 75 % og som høy hvis den er over 75 %.

I risikovurderingen er sannsynligheten for negative effekter på bløtbunnsamfunn ved utslipp av partikulært organisk materiale i hvert produksjonsområde vurdert ut fra resultatene fra det siste B- og C-undersøkelsene på de enkelte lokalitetene. For B-undersøkelser ser vi på hvor mange «Dårlig» og «Meget dårlig» undersøkelser det er målt i produksjonsområdet, og for C-undersøkelser ser vi på hvor mange som er «Moderat», «Dårlige» og Svært dårlige».

Det ble totalt utført B-undersøkelsene på 838 lokaliteter i 2024 og 2025 på landsbasis opp til 15.12.2025. 756 var i tilstandsklasse «Meget god» eller «God» og var 71 «Dårlig» og 11 «Meget dårlig» tilstandsklasser. Dette gir et gjennomsnitt på 9,8 % dårlige B-undersøkelser for hele landet. Hvis andelen av dårlige B-undersøkelser i et produksjonsområde er under 9,8 % vurderes sannsynligheten som lav for negative effekter på bløtbunnsamfunn, er den over 9,8 % men under 20 % vurderes sannsynligheten som moderat, og hvis den er over 20 % vurderes sannsynligheten som høy. I perioden 2021–2025 ble det gjennomført totalt 746 C-undersøkelser på landsbasis. 687 av disse var i tilstandsklasse «Svært god» eller «God» og 59 i «Moderat», «Dårlig» eller «Svært dårlig». Hvis andelen dårlige («Moderat» eller dårligere) av C-undersøkelser er under 7,9 % (gjennomsnitt for hele landet) for et produksjonsområde vurderes sannsynligheten som lav for negative effekter på bløtbunnsamfunn, er den mellom 7,9 % og 15 % vurderes sannsynligheten som moderat og er den over 15 % vurderes sannsynligheten som høy.

Resultatene fra B-undersøkelsen leveres av Fiskeridirektoratet og der er anvendt undersøkelser fra 01.01.2024 frem til 15.12.2025. Resultatene fra C-undersøkelsene dekker undersøkelser fra 01.01.2021 frem til 20.12.2025. Da de stasjonene i C-undersøkelsen som ligger nærmere anlegget og i overgangssonen ikke direkte kan vurderes ut fra miljømål satt i vannforskriften og NS9410:2016, brukes foreløpig miljøtilstanden i det ytterste punktet i overgangssonen. Miljøtilstanden i dette punktet skal kunne si noe om hvorvidt anlegget påvirker miljøet i overgangen til regional sone.

2.6 Risiko for negative effekter på det marine miljø ved bruk av kobber fra fiskeoppdrett

Det finnes en rekke fremmedstoffer som slippes ut i miljøet fra fiskeoppdrettsanlegg. Fiskefôr kan inneholde forskjellige miljøgifter som kommer fra fôringrediensene og disse kan tilføres miljøet både gjennom fôrspill og gjennom fiskens avføring (fekalier). Omtrent 70 % av fôringrediensene er i dag plantebasert og 30 % er basert på marine råstoff. Råstoffene brukt til fôrproduksjon inneholder blant annet halogenerte organiske forbindelser som PCB, dioksiner, furaner, klorerte pesticider, bromerte flammehemmere og tungmetallforbindelser som kobber, sink, kvikksølv, arsen og kadmium. Andre stoffer tilsettes fôret og er nødvendige for at fisken skal ha god tilvekst. Dette inkluderer kobber og sink som kommer inn under kategorien mineraler når de blir tilsatt fôret. Kobber er et naturlig forekommende tungmetall både i jordskorpen, i marine sediment og i sjøvann. Stoffet er en viktig faktor for enkelte enzymreaksjoner i organismer, men er giftig dersom konsentrasjonen av kobberforbindelser blir for høy. Kobber kan være giftig for ulike organismer i ulike utviklingsstadier. Det kan føre til redusert artsmangfold hvis konsentrasjonen i et gitt leveområde blir høyere enn artenes tålegrense, men kobber blir ikke biomagnifisert, dvs. at en får ikke økte nivå oppover næringskjeden. Miljøkvalitetsmål for kobber i sediment er satt til 84 mg/kg tørt sediment. Kobberkonsentrasjoner under denne verdien antas å ikke ha noen giftig effekt på marine organismer. For kobber løst i vann er miljøkvalitetsmålet satt til 2,6 µg/l.

Mengdene av kobber fra fôrspill og fekalier fra fiskeoppdrett er imidlertid langt mindre enn det som kommer fra kobber som antigroemiddel. Bidraget til miljøet fra bruk av kobber som antibegroingsmiddel i forhold til bidrag fra fiskefôr er i størrelsesorden 20 ganger høyere. For å unngå begroing, impregneres nøtene med antigroemiddel, som for eksempel kobber, i konsentrasjoner som skal være giftig for påvekstorganismene. Over tid lekker det kobber ut i vannet og spres med vannstrømmen, og en del faller av og synker ned under eller i nærsonen til anlegget avhengig av partikkelstørrelse, sedimentasjonshastighet og strømmønster. Dette betyr at sjøbunnen under og rundt fiskeoppdrettsanlegg kan inneholde høye konsentrasjoner, da kobberet kan akkumulere over tid.

Det største bidraget av kobber fra fiskeoppdrett er kobber(I)oksid (Cu2O) brukt som groehemmende middel på nøter i oppdrettsnæringen. I 2024, som er siste året vi har data på forbruk, ble det registrert 564 tonn kobber til bruk som groehemmende middel i akvakultur. Dette er en nedgang på 67 % fra toppåret 2019 (1698 tonn), men en økning på 84 % i forhold til 2023 (306 tonn) (figur 2.8). Samtidig økte forbruket av erstatningsstoffet tralopyril med gjennomsnittlig årlig vekst på 26 % fra 2019 til 2023 (fra 53 tonn til 116 tonn) (figur 2.9). I 2024 var forbruket av tralopyril 108 tonn, dvs en nedgang på 7 % i forhold til 2023. To andre erstatningsstoff; sinkpyrithion og kobberpyrithion hadde et forbruk på respektivt 11 og 14 tonn i 2024, og omtrent på samme nivå som i 2023.

Tralopyril blir brukt som erstatningsstoff for kobber. Det er et ustabilt organisk pesticid med en halveringstid i sjø på ca. 9-16 timer, men vi har manglende kunnskap om forekomst og giftighet til nedbrytningsproduktene. Siden tralopyril inneholder tre fluormolekyl og kan defineres som per- og poly-fluoralkylstoffer (PFAS) (OECD sin definisjon) kan et av sluttproduktene være trifluoracetat (TFA), som ikke blir brutt videre ned, men ifølge produsenten (Janssen PMP), vil fluormolekylene bli hydrolysert til fluorid i sjøvann istedenfor til det uønskede endeproduktet TFA. I en ny overvåkingsstudie fra NIVA ble det funnet TFA i de samme prøvene der de målte tralopyril. Siden denne sammenhengen var sterkt korrelert kan det tyde på at en liten andel av tralopyril blir brutt ned til TFA. Dette trenger videre oppfølging.

Tralopyril kan bli bioakkumulert til høye konsentrasjoner i blåskjell som vokser på tralopyrilimpregnerte nøter, slik at det kan bli spredd i miljøet gjennom næringskjeden av organismer som spiser blåskjell. Tralopyril tilhører flere kategorier som blir identifisert som farlige i EU direktiv 67/548/EEC. I sjø blir sink i sinkpyrithion hurtig byttet med kobber til kobberpyrithion. Sinkpyrithion og kobberpyrithion er identifisert som svært giftig for flere marine arter. Økningen i forbruk av tralopyril og sinkpyrithion/kobberpyrithion gjør at disse stoffene også bør inkluderes i fremtidige risikovurderinger, men det er behov for bedre datagrunnlag i form av mer høyoppløselig informasjon om hvilke lokaliteter som bruker disse impregneringsmidlene.

 

Figuren viser et stolpediagram der X-aksen viser årstallene fra 2016 til 2024. Y-aksen (tonn årlig forbruk av kobber) går fra 0 til 1800 tonn.
Figur 2.8. Årlig forbruk av kobber (tonn) som antigroemiddel i norsk akvakultur i perioden 2016-2024. Kilde: Miljødirektoratet.

 

 

Figuren viser et stolpediagram der X-aksen viser årstallene fra 2016 til 2024. Y-aksen (tonn årlig forbruk av tralopyril) går fra 0 til 140 tonn.
Figur 2.9. Årlig forbruk av tralopyril (tonn) som antigroemiddel i norsk akvakultur i perioden 2016–2024. Kilde: Miljødirektoratet.

I EU blir det antatt at 80 % av kobberet som brukes til antibegroingsmiddel blir sluppet ut i miljøet. For 2024 vil dette utgjøre 451 tonn. Kobber i fekalier vil spres rundt anleggene sammen med de organiske partiklene og kan enkelt simuleres med en spredningsmodell. Spredning av kobberet fra impregnerte nøter er derimot noe mer kompleks og ikke like lett å modellere. Dersom kobberimpregnerte nøter blir spylt eller høytrykkspylt, fører dette til ekstra slitasje og økte utslipp av kobberpartikler til miljøet rundt anlegget. Utlekkingsforsøk gjort av næringen som del av dokumentasjon for godkjenning, har vist at ca. 28 % av kobberinnholdet kan forsvinne etter endt levetid i sjøen dersom noten ikke blir spylt. Dersom noten blir spylt kan 20 % av opprinnelig kobbermengde i tillegg forsvinne ved førstegangs spyling. Resultat fra sedimentfeller viser at en vesentlig andel av kobberimpregnering kan synke ned på sjøbunnen i anleggssonen, men vi mangler data på hvor stor andel kobber som faller ut som partikler og hvor mye som skilles ut som kobberioner til vannsøylen.

Modellsimuleringer basert på utslipp i 2020 der vi har antatt at 28 % av kobberet lekker ut til vannsøylen, viser at passivt utlekket kobber kan gi et vesentlig bidrag til den totale kobberkonsentrasjonen i et fjordsystem, i størrelsesorden 0,2–0,4 μg/l. I trange fjorder med dårlig vannutveksling kan bidraget periodevis være opp til 1 μg/l. Spyling eller høytrykksspyling av kobberimpregnerte nøter vil kunne gi pulser med høyere konsentrasjoner. Miljøkvalitetsmål for kobber i kystvann er 2,6 μg/l. Siden kobber også kan tilføres fra andre kilder eller være forhøyet på grunn av naturlig høye kobbernivåer kan dette også bidra til forhøyet kobberkonsentrasjon. Måling av kobberkonsentrasjoner i vannsøylen inngår vanligvis ikke i regulære overvåkningsprogram. Vi har målt kobberkonsentrasjoner i vannsøylen i fjorder i PO3 og PO4 fra < 0,5 til 1,9 μg/l i 2021, det vil si noen målinger var forhøyet i forhold til bakgrunnsnivå for kobber i kystvann. Målinger i PO3 og PO4 i viste lavere nivåer i sjøvann i 2024 (< 0,52 µg/l) enn i 2021.

Vi mangler data fra regional overvåking fra kobberkonsentrasjoner i sediment for de fleste produksjonsområdene slik at vi ikke kan gjøre vurderinger om kobber sprer seg utover i fjordbassengene. I denne vurderingen har vi derfor kun gjort en vurdering av influensområdene til anleggene, men har supplert med regionale data der disse er tilgjengelig (PO2, PO3 og PO4). Selv om det har vært en sterk nedgang i bruken av kobber som antigroemiddel de siste årene, vil gjerne kobber som har akkumulert under anleggene som har vært i bruk over lang tid fortsatt bli liggende og kan føre til dårlig miljøtilstand under anleggene selv om lokaliteten blir forlatt eller oppdretter slutter å bruke kobberimpregnering.

Siden bruken av kobber kun er tilgjengelig for Norge som helhet har vi her gjort beregninger av oppdrettsandelen i hvert produksjonsområde for å kunne estimere forbruk per område. Oppdrettsandelen er beregnet som antall merder i bruk i produksjonsområdet i 2024 delt på totalt antall merder i bruk langs hele kysten. Vi har her antatt at kobber som antibegroingsmiddel er noenlunde likt fordelt i produksjonsområdene. Beregninger av mengden av utslipp av kobber per oppdrettsandel er basert på at om lag 80 % av kobberet som brukes på nøtene slippes ut i det marine miljø fordelt på arealet innenfor grunnlinjen i hvert produksjonsområde. Utslippene av partikulært kobber vil naturligvis ikke bunnfelle i hele produksjonsområdet, slik at oppdrettsintensive vannforekomster vil være mer belastet enn andre områder. Beregninger av utslipp av kobber fra fiskefôr i 2024 er basert på antagelsen om at 27,2 % av utfôret mengde ender opp som fekalier i miljøet og at gjennomsnittlig 5 % er spillfôr. Mengde kobber i spillfôr er i gjennomsnitt 10,9 mg/kg og mengden kobber i fekalier/urin er 8,6 mg/kg (79 % av det som er i fôret).

Mer informasjon om operasjonell praksis som gjelder spyling og hvilke antigroemidler som er i bruk på den enkelte lokaliteten i hvert produksjonsområde vil være avgjørende for å styrke kunnskapen og dermed redusere usikkerheten i vurderingen. En bedre oversikt over forbruk og driftspraksis gjør også at forvaltningen kan rette tiltakene inn mot de områdene der kobber antas å ha den største påvirkningen. Målrettede tiltak vil bidra til å redusere sannsynligheten for tap av sårbare arter ved bruk av kobber og andre stoffer i fiskeoppdrett. Bruk av antigroemiddel må registreres etter ny akvakulturforskrift som trer i kraft fra februar 2026, men det mangler retningslinjer for å registrere slik bruk i offentlige registre slik at vi får tilgang til data.

2.7 Risiko for alvorlige effekter på non-target arter ved bruk av avlusningsmidler

Det brukes en rekke ulike typer legemidler i norsk fiskeoppdrett som omfatter midler for behandling mot innvollsorm, bakterier (antibakterielle midler) og lakselus, samt desinfeksjonsmidler og anestesimidler. Forbruk av legemidler er rapporteringspliktig i Norge og en årlig oversikt kan finnes på Folkehelseinstituttet sine nettsider (https://www.fhi.no/he/legemiddelbruk/fisk/bruk-av-legemidler-i-fiskeoppdrett). I denne rapporten er det kun avlusningsmidler som er vurdert, men det kan likevel nevnes at forbruket av antibakterielle midler i fiskeoppdrett var på 741 kg i 2024. I forhold til det totale forbruket (human, veterinær og akvakultur) av antibakterielle midler i Norge, utgjør forbruket i oppdrettsnæringen rundt 1–2 %. På grunn av det lave forbruket av antibakterielle midler og få tilfeller av påvist resistens vurderes det at dagens forbruk i liten grad påvirker miljøet.

Når det gjelder legemidler mot lakselus, avlusningsmidler, var forbruket i Norge i 2024 på 795 kg azametifos, 2 kg deltametrin, 1587 kg imidakloprid, 737 tonn hydrogenperoksid (100 %), 101 kg emamektin og 1306 kg flubenzuroner (82% diflubenzuron). En oppdatering for 2025 vil bli gjort tilgjengelig fra Folkehelseinstituttet rundt mars 2026.

Tilgjengelig data på antall forskrivninger gjort av dyrehelsepersonell per produksjonsområde for 2024 og 2025 fra Mattilsynet (VetReg) er foreløpige. I våre vurderinger er også kartverket fra Fiskeridirektoratets Yggdrasil (https://portal.fiskeridir.no/) blitt benyttet for geografisk fordeling av ulike behandlinger samt tidspunkt for behandling og om behandlingene er foretatt i nærhet til kartlagte rekefelt og gytefelt for torsk. Vi baserer årets risikovurdering på at forbruket ikke avviker mye fra dette. Det er likevel verdt å bemerke at bruk av avlusningsmidler vil variere noe fra år til år, mellom produksjonsområder, tiden på året, men er også avhengig av lakselusens følsomhet for de ulike avlusningsmidlene der nedsatt følsomhet eller resistens kan forekomme. Nedsatt følsomhet mot et avlusningsmiddel i et område kan medføre at dette middelet brukes sjeldnere og blir eventuelt erstattet av et annet middel. Valg av avlusningsmetode og avlusningsmiddel vil også være avhengig av faktorer som størrelse på fisken, biomasse, størrelse på anlegg, fiskehelse, temperatur, strømforhold, mengde lakselus og utviklingsstadiet til lakselusa.

Lakselus tilhører dyregruppen krepsdyr, og medikamenter som dreper lakselus kan også påvirke andre krepsdyr som for eksempel reke, hummer og sjøkreps, men også fisk, planktoniske/frittsvømmende arter og fastsittende arter som tang og tare. Andre arter enn lakselus er gitt en generell betegnelse som «non-target-arter», og omfatter både de som lever fritt i vannmassene, på bunnen og i strandsonen. Konsekvenser av at non-target arter eksponeres for avlusningsmidler inkluderer dødelige (inkludert paralyse) og ikke dødelige effekter som endringer i atferd, respirasjon og genuttrykk. Tidligere livsstadier kan generelt sett være en særlig sårbar fase og totalt sett kan dette blant annet medføre redusert rekruttering som igjen kan påvirke populasjonsstørrelsen i områder med mye bruk av medikamentelle avlusningsmidler og i ytterste konsekvens redusert artsmangfold.

Basert på hvordan avlusningsmidlene brukes deles de inn i to hovedgrupper, de som brukes til badebehandling (hydrogenperoksid, azametifos, deltametrin og imidakloprid) og de som gis til fisken via fôret (flubenzuroner og emamektin). Behandlingsformen er avgjørende for hvordan avlusningsmidlene spres og fortynnes i miljøet. Behandlingen med bademidlene hydrogenperoksid, azametifos eller deltametrin skjer enten direkte i merden eller i brønnbåt. Dersom behandling skjer i merd, slippes bademiddelet direkte ut i sjøen. Når behandlingen skjer i brønnbåt, slippes bademiddelet ut mens fartøyet er i bevegelse. Ved bruk av imidakloprid blir behandlingsvannet overført fra brønnbåt til en egen tankbåt der behandlingsvannet blir renset før utslipp. Informasjon om hvor og når badebehandlinger er utført i merd eller i brønnbåt har imidlertid ikke vært tilgjengelig i forbindelse med denne risikovurderingen.

Vanntemperatur, strøm og sjikting i vannsøylen har særlig betydning for spredning av bademidler. Bademidlene fortynnes raskt til lave konsentrasjoner, gjerne i løpet av timer. Avlusningsmidler som flubenzuroner og emamektin gis i fôret og spres til miljøet via partikler i form av spillfôr og fekalier. Strømforholdene på en lokalitet har stor betydning for hvor langt partiklene spres, og størrelsen har betydning for hvor fort de synker. Når partiklene har nådd havbunnen er de fôrbaserte avlusningsmidlene relative stabile i bunnsedimentet, og restkonsentrasjoner kan måles flere måneder etter behandling.

For de fleste avlusningsmidler er det ikke krav til rensing før utslipp og risikovurderingen baserer seg derfor på behandlingsdose. Imidakloprid derimot skal renses før utslipp og utslippskonsentrasjonen skal være lavere eller lik 0,3 µg/l. For imidakloprid er det derfor utslippskonsentrasjon som er grunnlaget for vurderingen. Denne risikovurderingen omfatter imidlertid ikke akutte utilsiktede utslipp som følge av teknisk eller operasjonell feil under rensing som kan gi svært høye utslippskonsentrasjoner av imidakloprid. Det antas at sannsynligheten er liten for at en slik hendelse skal kunne inntreffe og gi opphav til alvorlige effekter på non-target arter. Kunnskapsstyrken er imidlertid svak både for årsaks- og konsekvenssiden. Imidakloprid har ikke vært brukt i perioden som denne vurderingen baserer seg på (oktober 2024 til september 2025). Imidakloprid er likevel beskrevet og inkludert i den individuelle vurderingen da imidakloprid har markedsføringstillatelse i Norge, og kan bli tatt i bruk igjen i kommende år.

For hvert avlusningsmiddel er det gjort en individuell risikovurdering (oppsummering vist i tabell 1 og 2) basert på kunnskapsstatus 2024. Tilgjengelig litteratur etter dette har ikke ført til endringer i denne individuelle risikovurderingen. Det er gjort separat vurdering for vinterhalvåret (oktober 2024 til mars 2025) og for sommerhalvåret (april 2025 til september 2025) siden den biologiske aktiviteten (beiteaktivitet, skallskiftefrekvens, tilstedeværelse av tidlige livsstadier) er høyere på våren og sommeren. For fôrmidler har feltstudier vist at konsentrasjonen av legemidler i sedimentet er høyere nært oppdrettsanlegget enn ved større avstander til anlegget. I tillegg til inndeling i sommer og vinterhalvår er det for fôrmidlene gjort en vurdering for nærsone (< 500 fra anlegg) og en for fjernsone (> 500 m fra anlegg).

Risikovurderingen for hvert produksjonsområde benytter resultater fra vurderingen som er gjort for hver av de seks ulike avlusningsmidlene (tabell 2.1 og 2.2) som sammen med forbruksdata fra hvert enkelt produksjonsområde danner grunnlag for vurderinger av konsekvenser, sannsynligheter, kunnskapsstyrke og dermed konklusjoner om risiko for alvorlige effekter på non-target arter ved bruk av avlusningsmidler fremover i tid. Å sette grenseverdier for hvert legemiddel er en kompleks prosess siden forholdene på lokaliteten ved behandlingen vil variere fra dag til dag og mellom lokaliteter som igjen vil ha betydning for utfallet. Resultatene i tabell 1 og 2 er basert på en begrenset mengde data og inneholder derfor en viss usikkerhet.

  Vinter Sommer Kunnskapsstyrke
Hydrogenperoksid Moderat Moderat Moderat
Azametifos Lav Lav Moderat
Deltametrin Moderat Høy Moderat
Imidakloprid Lav Lav Svak
Tabell 2.1. Oversikt over resultatene fra vurdering av individuelle bademidler til bruk i avlusning av oppdrettsfisk. Sannsynligheten (lav, moderat eller høy) for alvorlige effekter på non-target arter ble vurdert, basert på stort påvirkningsområde mht konsentrasjon, følsomhet hos non-target arter og tilstedeværelsen av følsomme arter/nøkkelarter og tidlige livsstadier. Kunnskapsstyrken som ligger til grunn for sannsynlighetsvurderingene ble også vurdert (sterk, moderat eller svak).
  Nærsone (< 500 m) Fjernsone (> 500 m)  
Vinter Sommer Vinter Sommer Kunnskapsstyrke
Flubenzuroner Moderate Høy Lav Lav Moderat
Emamektin Lav Lav Lav Lav Moderat
Tabell 2.2. Oversikt over resultatene fra vurdering av individuelle fôrmidler til bruk i avlusning av oppdrettsfisk. Sannsynligheten (lav, moderat eller høy) for alvorlige effekter på non-target arter ble vurdert, basert på stort påvirkningsområde mht konsentrasjon, følsomhet hos non-target arter og tilstedeværelsen av følsomme arter/nøkkelarter og tidlige livsstadier. Kunnskapsstyrken som ligger til grunn for sannsynlighetsvurderingene ble også vurdert (sterk, moderat eller svak).

Risikovurderingene er basert på den individuelle vurderingen av sannsynligheten for negative effekter på non-target arter og styrken på kunnskapen som ligger til grunn for vurderingen, for hvert av bademidlene og de fôrbaserte midlene (tabell 2.1 og 2.2), samt forbruk av disse i hvert produksjonsområde.

Det legges til grunn i denne vurderingen at fremtidig behandlingsregime gjennomføreres på lignende måte mht. hvilke avlusningsmiddel som velges, hvor ofte avlusningsmidlene brukes, samt geografisk beliggenhet og tid på året, som vi har brukt i denne vurderingen. Hvis forbruk av fôrmidler, som har en lang halveringstid, økes kan dette føre til økt akkumulering i sediment og dermed øke sannsynligheten for alvorlige effekter på non-target arter.

Endringer i antall behandlinger, hvilke avlusningsmiddel samt tid på året de blir brukt, kan også medføre endringer i risikonivået. Eksempelvis vil bruk av deltametrin og flubenzuroner om sommeren bidra til høyere sannsynlighet for alvorlige effekter på non-target arter i et produksjonsområde. Et annet eksempel er dersom bruken av azametifos øker og foregår på et mindre geografisk område og med korte tidsintervall om sommeren kan dette føre til økt sannsynlighet for alvorlige effekter på non-target arter.

Det mangler fortsatt kunnskap om tilstedeværelse av følsomme arter/nøkkelarter og tidlige livsstadier i nærhet av utslippsområde, samt hvor stort område som potensielt kan bli påvirket. I tillegg mangler vi data for hvordan non-target arter vil reagere på gjentagende eksponering av bademidler enten ved samme eller ulike avlusningsmiddel, eller gjentagende behandlinger med fôrmidler som kan føre til akkumulering i sediment.

I tillegg har vi for hvert produksjonsområde også vurdert andre faktorer som kan påvirke sannsynligheten, slik som flere behandling i et begrenset geografisk område og/eller i en kort tidsperiode og om behandlingene er foretatt i nærhet til kartlagte reke- og torskegytefelt. Dette vil kunne øke sannsynlighet for alvorlige effekter på non-target arter i dette området. For avlusningsmidler med individuell vurdering som er ulik fra vinter- til sommerhalvåret, slik som deltametrin og flubenzuroner, må dette tas hensyn til i risikovurderingen.

2.8 Risiko for negative effekter på det marine miljø ved fangst og bruk av villfanget leppefisk i fiskeoppdrett

Leppefisk og rognkjeks brukes som rensefisk for å bekjempe lakselus hos laksefisk i oppdrett, og er regnet som et alternativ til bruk av legemidler og mekanisk fjerning av lus (ofte omtalt som ikke-medikamentell behandling). Bruk av rensefisk som avlusningsmetode i norsk havbruk økte jevnt fram til 2019, da totalt utsett av rensefisk passerte 60 millioner individer til en samlet verdi på over 1,3 milliarder NOK. Siden den gang har bruken av rensefisk gått mye ned og i 2024 var antallet redusert til ca. 22,5 millioner. Tallene for utsett av rensefisk i 2025 er ikke tilgjengelige per 11. februar 2026, men de siste årene har fangst av og bruken av villfanget leppefisk gått drastisk ned. Av en kvote på 18 millioner, ble det i 2024 fangstet ca. 9,9 millioner vill leppefisk mens det i 2025 ble fangstet drøyt 5,4 millioner. Det varslede stoppet i bruk av grønngylt fra næringen sin side, har ikke gitt utslag i økt fiske etter andre arter. Dette vises nå i fangststatistikken. Fra 2024 til 2025 har det vært en nedgang i fangst av grønngylt fra 6,74 til 4,06 millioner og fangsten av bergnebb har gått ned fra 2,6 til i underkant av 1,1 millioner.

Leppefisk har en sentral rolle i kystøkosystemet, både som byttedyr for større fisk, sjøfugl og pattedyr, og beiter selv på ulike arter av krepsdyr, snegler, skjell og andre virvelløse dyr. De ulike leppefiskartene fyller forskjellige økologiske nisjer, og et overfiske på en eller flere av artene kan derfor medføre alvorlige konsekvenser på ulike deler av økosystemet. Det er et mål at fiske og bruk av rensefisk ikke skal ha vedvarende negative effekter på det marine miljø, det vil at belastningen på sårbare arter i kystsonen ikke blir for høy, at det medfører nedgang i bestander i kystsonen eller at det fører til svekket motstandsdyktighet i de ville populasjonene. Fisket etter leppefisk er derfor regulert ved redskapsbegrensning, seleksjonsinnretninger i redskap som brukes, minste- og maksmål, båtkvoter, fangstperiode og håndtering av bifangst.

Reguleringsmyndighetene (Fiskeridirektoratet) har i fiske etter leppefisk delt landet inn i tre fangstområder hvor hvert område har en kvote for samlet uttak av alle arter. Disse fangstområdene er 1) «Sørlandet» (Svenskegrensen til Varnes fyr på Lista), 2) «Vestlandet» (Varnes fyr ved Lista til Stadt), 3) «Nord for 62 grader nord» (nord for Stadt). Det er ikke rapportert om bruk av villfanget leppefisk som rensefisk fra Nordland og nordover, og vi avgrenser derfor risikovurderingen til og med Trøndelag (produksjonsområde 7). Siden data og informasjon om fangst og utsett av villfanget leppefisk ikke samsvarer med produksjonsområdene, har vi valgt følgende inndeling i vår vurdering: produksjonsområde 1 tilsvarer fangstområde 1 og den sørlige delen av fangstområde 2 (fra Lista til Bryne), produksjonsområde 2–4 tilsvarer fangstområde 2 og produksjonsområde 5–7 tilsvarer fangstområde 3. De siste årene med nedgang i fiske etter leppefisk reduserer sannsynligheten for overfiske av enkeltarter.

Fisket etter leppefisk er et blandingsfiske hvor fangstene består av ulike arter salgbar leppefisk, samt en bifangst av undermåls leppefisk og andre arter. De mest brukte artene er grønngylt og bergnebb, selv om berggylte er den mest ettertraktede arten. Felles for leppefiskene er at de er svært stedbundne, noe som betyr at områder med høy fiskeriintensitet kan føre til et overfiske med begrenset tilsig fra nærliggende, mindre påvirkede bestander.

Fangst av berggylte var i 2025 på 272 000 individer, omtrent en halvering fra 2024. Berggylt er ansett som den mest sårbare av artene, da den har lang generasjonstid og kjønnsskifte (fra hunn til hann), hvor hannen utøver yngelpleie. Mesteparten av berggylta (217 991) fiskes i fangstområde «Vestlandet». Nedgangen i fangst skyldes sannsynligvis reguleringsendringene som ble innført for berggylte i forkant av 2022-sesongen. Da ble det en økning av minstemål (fra 14 til 22 cm) og innføringen av maksimalmål (28 cm) i tråd med Havforskningsinstituttets anbefalinger.

I de fleste områder foregår fisket etter leppefisk relativt lokalt, men fortsatt transporteres noen over større geografiske avstander. Dette har reist problemstillinger knyttet til smittespredning og utilsiktede genetiske endringer i bestandene. Rensefisk kan rømme fra merdene, enten ved maskebrudd eller ved at det brukes for store masker i nøtene. Rømt leppefisk som er flyttet over større geografiske områder, kan derfor føre til genetiske endringer i de lokale bestandene.

Helsestatus og sykdomshistorikken til villfanget leppefisk er ukjent, og den kan dermed være bærer av smittsomme agens som bakterier, virus eller parasitter. Disse kan være «nye», hittil ukjente sykdommer, eller sykdommer som er kjente, men nye for en gitt art eller i et område. Det finnes ingen helhetlig oversikt over geografiske forskjeller på utbredelsen av sykdommer og parasitter hos vill leppefisk. I oppdrett står sykdom og sykdomsutbrudd for en betydelig andel av tapet av rensefisk og utgjør dermed et potensiale for smittespredning.

Bruk av villfanget leppefisk som rensefisk har vist en nedadgående trend de siste årene og ble halvert mellom 2024 og 2025. Det er lite som tyder på at bruken vil øke igjen. På bakgrunn av dette har vi valgt å la 2026 være siste året med risikovurdering av bruk av villfanget rensefisk og vurderingen i denne rapporten vil være gjeldende så lenge bruken og fiskeriet ikke endrer seg nevneverdig fra dagens praksis.

3. Oppsummering av risiko for redusert bærekraft med hensyn tildårlig dyrevelferd og negative miljøeffekter av fiskeoppdrett

3.1 Produksjonsområde 1, Svenskegrensen til Jæren

I 2025 var det ti oppdrettslokaliteter i området som i løpet av året rapporterte inn laks. Foreløpig statistikk fra Fiskeridirektoratet for 2025 (20.01.2026) viser 6 415 tonn gjennomsnittlig månedlig stående biomasse med et uttak til slakt i samme periode på 9 133 tonn. Det var ingen produksjon av regnbueørret i området. Sjøareal innenfor grunnlinjen er på 3 864 km2.

 

Se figurtekst
Figur 3.1. Visualisering av risiko for spesifikke uønskede hendelser som, dersom de inntreffer, kan gi opphav til et spekter av alvorlige konsekvenser som medfører «Redusert bærekraft med hensyn til dårlig dyrevelferd og negative miljøeffekter av fiskeoppdrett i produksjonsområde 1». Sannsynligheten knyttet til hvorvidt hendelsen vil inntreffe (høy, moderat, lav) utrykkes ved fargen på noden (hhv. rød, gul og grønn). Styrken på bakgrunnskunnskapen som sannsynlighetsvurderingen hviler på visualiseres ved fargen på ringen rundt noden (svak = rød, moderat = gul og sterk = grønn). Fargen på pilene viser konklusjoner om risiko for de uønskede hendelsene (lav = grønn, moderat = gul, høy = rød). Sort svane symbolet illustrerer potensielle overraskelser med svært alvorlige konsekvenser. I dette tilfelle utbrudd av alvorlig sykdom.

Produksjonsområde 1 er stort i areal, men har få oppdrettsanlegg i forhold til andre PO. Hvert oddetallsår blir det satt ut 6-8 millioner laks, mens det i partallsår typisk blir satt ut under 1 million laks (data fra Fiskeridirektoratets biomassestatistikk). Av de nesten 8 millionene fisk satt ut i 2025 har det allerede blitt innrapportert et tap på over 2 millioner fisk, altså et tap på 28%. Mye av dette var forårsaket av en hendelse på oppdrettsanlegg utenfor Flekkefjord. Årsaken bak dødeligheten kan ha vært en kombinasjon av alger, oksygensvingninger og svekket gjellehelse. Både for oddetallsårene og særlig for de mellomliggende årsklassene er det så få lokaliteter i datasettet at det totale tapet for området fort blir preget av helsestatus til enkeltutsett og enkelthendelser. Selv om hendelsen med høy dødelighet i 2025 gjaldt flere anlegg, så var de geografisk nært hverandre. Basert på dødeligheten til årsklassene med store utsett, og til tross for færre rapporterte avlusinger og en god 2023-årsklasse, vurderer vi sannsynligheten for at en oppdrettslaks som blir satt ut i dette området i 2026 vil oppleve så dårlig velferd at den blir regnet som tap som høy (vesentlig over 17 %). Siden dette er et grensetilfelle, usikkerhet rundt årsaksforhold bak høye tap i 2025, og siden det er få anlegg å basere denne vurderingen på, vurderes kunnskapsstyrken som svak. Lite dataunderlag fra få anlegg og stor variasjon i mellomårlig mengde oppdrettsfisk skaper usikkerhet. Rapportert dødelighet i 2021- og 2019-årsklassen vektlegges, i tillegg til hendelsen i 2025, og risikoen vurderes som høy for «Dårlig velferd hos oppdrettslaks i sjø» i PO1.  

Oppdrettsintensiteten i PO1 er lav og det vurderes at påvirkningen fra dagens fiskeoppdrett i all hovedsak er begrenset til den vestlige delen av området. Det meste av produksjonen av laksefisk finner sted vest for Lindesnes, i Hidrasundet og Stolsfjorden ved Flekkefjord, mens noen mindre anlegg ligger mellom Lindesnes og Lista og ved Hellesund. Med lav produksjon er det lavt smittepress fra lakselus, samt lave utslipp av næringssalter, partikulært organisk materiale, kobber og avlusningsmidler til området. Det er rapportert lite rømt oppdrettslaks i elvene som overvåkes og den ville leppefisken som brukes til avlusning er fanget lokalt og transportert over relativt korte geografiske avstander. Selv om det mangler noe kunnskap om enkelte av miljøeffektene, så vektlegges den lave produksjonen og risikoen vurderes som lav for negative effekter fra fiskeoppdrett. 

Selv om påvirkningen fra dagens fiskeoppdrett vurderes som lav i PO1, er det mange andre menneskeskapte påvirkninger som gjør at belastningen på det marine miljøet i området er stor. En eventuell økning av akvakulturproduksjon i området bør sees i lys av andre miljøpåvirkninger for å unngå at den samlede belastningen i området blir for stor i forhold til den økologiske bæreevnen i området. Det anbefales at ved eventuell økning av oppdrettsvolumet i området bør muligheten for produksjon av andre arter enn de som brukes i dagens matfiskproduksjon vurderes. Det kan eksempelvis være å utvikle oppdrettsarter som tar opp næringssalter (algeproduksjon) eller er filterfødere (for eksempel skjell og sekkedyr). Ved produksjon i større volum av andre oppdrettsorganismer vil det være behov for egne miljørisikovurderinger og det må vurderes om det er behov for å videreutvikle eksisterende veiledere eller utvikle nye for miljøovervåking. 

3.2 Produksjonsområde 2, Ryfylke

I 2025 var det 40 oppdrettslokaliteter i produksjonsområdet som i løpet av året rapporterte inn laks. Foreløpig statistikk fra Fiskeridirektoratet for 2025 (20.01.2026) viser 52 958 tonn gjennomsnittlig månedlig stående biomasse med et uttak i til slakt i samme periode på 108 402 tonn. Det var ingen produksjon av regnbueørret i området. Sjøareal innenfor grunnlinjen er på 1 977 km2.

Se figurtekst
Figur 3.2.Visualisering av risiko for spesifikke uønskede hendelser som, dersom de inntreffer, kan gi opphav til et spekter av alvorlige konsekvenser som medfører «Redusert bærekraft med hensyn til dårlig dyrevelferd og negative miljøeffekter av fiskeoppdrett i produksjonsområde 2». Sannsynligheten knyttet til hvorvidt hendelsen vil inntreffe (høy, moderat, lav) utrykkes ved fargen på noden (hhv. rød, gul og grønn). Styrken på bakgrunnskunnskapen som sannsynlighetsvurderingen hviler på visualiseres ved fargen på ringen rundt noden (svak = rød, moderat = gul og sterk = grønn). Fargen på pilene viser konklusjoner om risiko for de uønskede hendelsene (lav = grønn, moderat = gul, høy = rød). Sort svane illustrerer potensielle overraskelser med svært alvorlige konsekvenser. I dette tilfelle utbrudd av alvorlig sykdom.

I PO2 blir det hvert partallsår satt ut 24-26 millioner laks, mens det i oddetallsår typisk har blitt satt ut 18-20 millioner laks de siste årene (data fra Fiskeridirektoratets biomassestatistikk). For 2024-årsklassen er det innrapporterte tapet 16 % ved utgangen av 2025 med kun 13 % av fisken igjen i sjø. Vi forventer dermed at 2024-årsklassen vil få tilsvarende innrapportert tap som 2023-årsklassen (18 %). Tapet i PO2 er dermed tilbake på samme nivå som for 2018- og 2019-årsklassene. Totalt sett vurderer vi sannsynligheten som moderat (nær 17 %) for at en oppdrettslaks som blir satt ut i PO2 i 2026 vil opplever så dårlig velferd at den blir registret som tapt. Siden trenden i nedgang i tapet bare gjelder for de siste årsklassene, vurderes kunnskapsstyrken som ligger til grunn for denne vurderingen som svak. Usikkerheten fremstår som stor og vi konkluderer med høy risiko knyttet til «Dårlig velferd hos oppdrettslaks i sjø» i PO2.

Lakselusindusert dødelighet på postsmolt laks har ligget på mellom 10 og 30 % de fem siste årene. Modellresultat og observasjoner viser dårlig samsvar enkelte år, og det er derfor vanskelig å vurdere hvor høy dødeligheten blir frem i tid. Det mangler også kunnskap om utvandringsruter i hele produksjonsområdet. Dette skaper noe usikkerhet, men basert på trenden i utslippene av lakselus i området samt modellerte og observerte lusepåslag vurderes risikoen for «Høy lakselusindusert dødelighet på utvandrende postsmolt laks» totalt sett som moderat i PO2.

Sjøørreten oppholder seg i sjøen over en mye lengre periode enn laks. Modellert smittepress indikerer høy forekomst av lakseluslarver i ytre og midtre deler av Boknafjordsystemet i beiteperioden, mens indre fjorder har noe lavere tetthet. Overvåkingsdata støtter resultatene i modellene. På tross av noe usikkerhet i fiskens nøyaktige tålegrenser og manglende kunnskap om effektene av lakselus på prematur tilbakevandring, underbygger data fra både modeller og observasjoner at smittepresset er høyt gjennom sjøørretens beiteperiode. Risikoen vurderes derfor som høy for «Negative effekter av lakselussmitte på sjøørret» i PO2. 

Gytebestandsmålet blir nådd og det høstbare overskuddet er høyt for de fleste vassdragene i produksjonsområdet. Det knyttes noe usikkerhet til rømmingstallene, men det har vært observert lite rømt oppdrettslaks i elvene og rømmingstallene har vært lave i hele perioden 2020–2024. På tross av usikre rømmingstall, vektlegges observasjonene i overvåkingen og risikoen vurderes som lav for «Ytterligere genetisk endring hos villaks som følge av innkryssing av rømt oppdrettslaks» i PO2.  

Produksjonsområdet har det minste sjøarealet, men fortsatt rundt 40 oppdrettsanlegg og et moderat areal er påvirket av organiske partikler. Overvåkingsdata viser imidlertid at miljøtilstanden er god. Datagrunnlaget vurderes som relativt sikkert og risikoen vurderes derfor som lav for «Negative effekter på bunnsamfunn i influensområdet for oppdrett» i PO2.  

Produksjonen av laksefisk er høy i området, noe som gir høye utslipp av næringssalter. Området har den nest høyeste estimerte økningen av planteplanktonproduksjon som skyldes utslipp fra fiskeoppdrett i Norge, med 17,6 %. Gjennomsnittlig modellert økning av planteplankton i hele området er på 5,8%. Begge verdiene er langt fra referanseverdien på 50 % økning for denne parameteren som er definert av OSPAR. Simulering av økning i planteplanktonproduksjonen viser at noen områder tidvis ved høy fiskeproduksjon kan ha forhøyet risiko for overgjødsling (30-50 % økning), slik som Vindafjordsystemet, Nedstrandsfjorden og Jelsafjorden. Overvåkningsdata viser imidlertid «Svært god» til «God» tilstand for næringssalt og planteplankton (klorofyll). Risikoen vurderes som lav for «Overgjødsling på grunn av utslipp av løste næringssalter fra fiskeoppdrett» i PO2, men med moderat kunnskapsstyrke da modellsimuleringer viser at noen områder tidvis kan ha økt risiko.

Kobberforbruket er betydelig redusert de siste årene, men økte på nasjonalt nivå fra 2023 til 2024. C-undersøkelsene for de siste tre år viser at det fortsatt er en moderat andel oppdrettsanlegg med dårlig miljøtilstand med hensyn til kobbernivå i produksjonsområdet. Manglende overvåking av vannsøylen skaper noe usikkerhet og risikoen vurderes som moderat for «Negative effekter på det marine miljø ved bruk av kobber i fiskeoppdrett» i PO2. Det var lavt forbruk av flubenzuroner og ingen forbruk av hydrogenperoksid eller deltametrin til avlusning av laksefisk. Disse avlusningsmidlene vurderes som de mest skadelige. Selv om det knyttes usikkerhet til omfang og fremtidig forbruk av de ulike avlusningsmidlene, vurderes risikoen som lav for «Alvorlige effekter på non-target arter ved bruk av avlusningsmidler» i PO2. 

I 2025 lå fiskeriet av villfanget leppefisk langt under kvoten i Fangstområde Vestlandet (ca. 4,8 millioner) og det antas at det brukes mye lokalfanget leppefisk. Selv om det er noe usikkerhet grunnet manglende oversikt over hvor den villfangete leppefisken fiskes, transporteres og settes ut, har trenden med stadig redusert bruk av villfanget leppefisk, fortsatt blant oppdrettere. Dette vektlegges i analysen og risikoen vurderes som lav for «Negative effekter på det marine miljø ved fangst og bruk av villfanget leppefisk i fiskeoppdrett» i PO2. Samtidig er det viktig å være klar over at v illfanget leppefisk har ukjent sykdomshistorikk og potensielt kan være bærere av nye og ukjente sykdommer. Slike potensielle overraskelser kan føre til alvorlige konsekvenser for både norsk oppdretts- og villfisk, illustrert med sort svane symbol i figur 3.2. 

Matfiskproduksjonen av laksefisk i dette området har økt jevnt de siste åtte årene, med den største økningen fra 2018 til 2019. For å sikre bærekraften i området bør det være et mål å redusere utslippene av lakselus samt å redusere de høye dødelighetstallene på oppdrettsfisken. God biosikkerhet i tilknytning til flytting av villfanget leppefisk vil bidra til å redusere sannsynlighet for smitteoverføring. Kobberforbruket økte på nasjonalt nivå fra 2023 til 2024, mens tralopyril hadde en svak nedgang. Forbruket av sinkpyrithion og kobberpyrithion har vært lave og på stabile nivå. Hvordan bruken av disse antigroemidlene fordeler seg i de ulike områdene er ukjent, og det er behov for områdespesifikke data for å kunne si noe om mulig grad av påvirkning, spesielt i de mest oppdrettsintensive produksjonsområdene.  

3.3 Produksjonsområde 3, Karmøy til Sotra

I 2025 var det 126 oppdrettslokaliteter i området som i løpet av året rapporterte inn laks eller ørret. Foreløpig statistikk fra Fiskeridirektoratet for 2025 (20.01.2026) er på 83 149 tonn laks og 12 376 tonn regnbueørret i gjennomsnittlig månedlig stående biomasse med et uttak i samme periode på 177 435 tonn laks og 12 314 tonn regnbueørret til slakt. Totalt sjøareal innenfor grunnlinjen er på 3 558 km2.

 

Se figurtekst
Figur 3.3. Visualisering av risiko for spesifikke uønskede hendelser som, dersom de inntreffer, kan gi opphav til et spekter av alvorlige konsekvenser som medfører «Redusert bærekraft med hensyn til dårlig dyrevelferd og negative miljøeffekter av fiskeoppdrett i produksjonsområde 3». Sannsynligheten knyttet til hvorvidt hendelsen vil inntreffe (høy, moderat, lav) utrykkes ved fargen på noden (hhv. rød, gul og grønn). Styrken på bakgrunnskunnskapen som sannsynlighetsvurderingen hviler på visualiseres ved fargen på ringen rundt noden (svak = rød, moderat = gul og sterk = grønn). Fargen på pilene viser konklusjoner om risiko for de uønskede hendelsene (lav = grønn, moderat = gul, høy = rød). Sort svane symbolet illustrerer potensielle overraskelser med svært alvorlige konsekvenser. I dette tilfelle utbrudd av alvorlig sykdom.  

I PO3 blir det hvert år satt ut mellom 40 og 48 millioner laks (data fra Fiskeridirektoratets biomassestatistikk). Antall ukentlige innrapporterte behandlinger mot lus til Mattilsynet er noe redusert de siste årene, med en liten økning igjen i 2025. Til tross for denne økningen i 2025, var det bare en liten økning i antall velferdsmessige hendelser med kategori «Ikke-medikamentell avlusing» fra 2024 til 2025. PO3 er det produksjonsområdet hvor det har blitt mest vanlig å bruke kombinasjonsbehandling (typisk ferskvannsbehandling etterfulgt av termisk). PO3 hadde 10 hendelsesrapporter knyttet til alger. Tilknyttete tap var imidlertid relativt lave. 2024 og 2025 skiller seg ut fra årene før med at frekvensen av skår 3 innrapporteringer har vært ned mot 10 %, mot rundt 20 % i årene før og de siste årsklassene tyder på nedadgående tap i dette produksjonsområdet. Vi vurderer derfor sannsynligheten for at en oppdrettslaks som blir satt ut i PO3 i 2026 opplever så dårlig velferd at den blir registrert som tap som moderat (nær 17 %). Mange årsklasser med tap rundt 20 % gjør imidlertid at vi vurderer kunnskapsstyrken som svak. Usikkerheten fremstår som stor og risikoen vurderes å være høy for «Dårlig velferd hos oppdrettslaks i sjø» i PO3.

I 2025 ble det satt ut 5,8 millioner regnbueørret i området (data fra Fiskeridirektoratets biomassestatistikk). Årsklassene i dette PO-et har hatt stor variasjon i både antall og tap, men 2020- til 2023-årskalssene hadde et tap under 17 %. Vi vurderer derfor sannsynligheten en regnbueørret som blir satt ut i PO3 i 2026 har for å oppleve så dårlig velferd at den dør eller blir regnet som utkast som moderat (nær 17 %). Siden det er få lokaliteter å basere denne vurderingen på, og det har vært enkelthendelser med stort tap, vurderes kunnskapsstyrken som svak. På grunn av denne usikkerheten og at tapet ser ut til å bli høyt for 2024- og 2025-årsklassene vurderer vi risikoen totalt sett som høy for «dårlig velferd hos regnbueørret i sjø» i PO3.

Lakselusindusert dødelighet på postsmolt laks har ligget på > 30 % de senere årene. Modellresultat og observasjoner viser godt samsvar. Selv om det fortsatt er noe usikkerhet om nøyaktig hvor mye lakselus smolten tåler er det god kunnskap om at det er høye påslag av luselarver i området. Analyser viser at hvis tålegrensen til laksen dobles er dødeligheten fremdeles høy for mange elver. Risikoen vurderes derfor som høy for «Høy lakselusindusert dødelighet på utvandrende postsmolt laks» i PO3.  

Antall produserte lakseluslarver i sjøørretens beiteperiode øker utover beiteperioden og påslaget av lakseluslarver på beitende sjøørret vurderes å være høyt. Dette støttes av at estimert dødelighet av lakselussmitte vurderes som høy eller høy til moderat både i Hardangerfjorden og Samnangerfjorden. På tross av noe usikkerhet i fiskens nøyaktige tålegrenser og de detaljerte effektene av lakselus på prematur tilbakevandring, vet vi at de totale effektene på bestandene er alvorlige. Risikoen vurderes derfor som høy for «Negative effekter av lakselussmitte på sjøørret» i PO3 

På tross av lave rømmingstall i perioden 2020–2024, er det rapportert høyt innslag av rømt oppdrettslaks i elvene og effekten av utfisking vurderes å være dårlig. Villfiskens bestandsstatus vurderes som dårlig og det er påvist et høyt nivå av genetisk endring i villaksbestandene i området. Det mangler kunnskap knyttet til omfanget av rømming og påvirkning fra rømming i andre produksjonsområder, men det er god dekning både i overvåkingsprogrammet og for vurdering av bestandsstatus og genetisk status. Det er knyttet lite usikkerhet til vurderingen og risikoen vurderes som høy for «Ytterligere genetisk endring hos villaks som følge av innkryssing av rømt oppdrettslaks» i PO3. 

Produksjonen av laksefisk er høy i området, noe som gir høye utslipp av næringssalter. Området har den høyeste estimerte økningen av planteplanktonproduksjon som skyldes utslipp fra fiskeoppdrett i Norge, med 19,1 %. Gjennomsnittlig modellert økning av planteplankton i hele området er på 6,1 %. Begge verdiene er langt fra referanseverdien på 50 % økning for denne parameteren som er definert av OSPAR. Simulering av økning i planteplanktonproduksjonen viser at noen områder tidvis ved høy fiskeproduksjon kan ha forhøyet risiko for overgjødsling (30-40 % økning), slik som Øynefjorden, Skåneviksfjorden, Ålfjorden, Langenuen nord og fjordene i Fusa. Overvåkningsdata viser «Svært god» til «God» tilstand for næringssalt og planteplankton (klorofyll). Indikatoren «Makroalger på hardbunn» viste også «Svært god» til «God» tilstand på alle stasjoner. Overvåking og modeller viser godt samsvar og risikoen vurderes som lav for «Overgjødsling på grunn av utslipp av løste næringssalter fra fiskeoppdrett» i PO3.

Influensområdet til matfiskanleggene dekket til sammen rundt 522 km2 sjøareal som utgjør 15 % av det samlede arealet for PO3. Resultatene fra B- og C-undersøkelsene viser at det er en høy og moderat andel anlegg med dårlig miljøtilstand, men det er imidlertid ingen anlegg plassert i områder som vurderes å være mer sårbare for organisk belastning. Basert på dette konkluderes det med moderat risiko for «Negative effekter på bunnsamfunn i influensområdet for oppdrett» i PO3.

Kobberforbruket er betydelig redusert siden toppåret i 2019, men økte på nasjonalt nivå fra 2023 til 2024. C-undersøkelsene for de siste tre år viser at det fortsatt er en moderat andel oppdrettsanlegg med dårlig miljøtilstand med hensyn til kobbernivå i produksjonsområdet. Risikoen vurderes derfor som moderat for «Negative effekter på det marine miljø ved bruk av kobber i fiskeoppdrett» i PO3. Det var lavt forbruk av flubenzuroner, og ingen forbruk av hydrogenperoksid eller deltametrin til avlusning av laksefisk. Disse avlusningsmidlene vurderes som de mest skadelige. Det var et moderat forbruk av azametifos, dette er en økning fra forrige år. Forbruket er spredt over hele produksjonsområdet, og mange av lokalitetene var på områder der man forventer rask fortynning etter utslipp. Samlet sett ble forbruket sett på som lavt. Selv om det knyttes usikkerhet til omfang og fremtidig forbruk av de ulike avlusningsmidlene, vurderes risikoen som lav for «Alvorlige effekter på non-target arter ved bruk av avlusningsmidler» i PO3. 

I 2025 lå fiskeriet av villfanget leppefisk langt under kvoten i Fangstområde Vestlandet (ca. 4,8 millioner) og det antas at det brukes mye lokalfanget leppefisk. Selv om det er noe usikkerhet grunnet manglende oversikt over hvor den villfangete leppefisken fiskes, transporteres og settes ut, har trenden med stadig redusert bruk av villfanget leppefisk, fortsatt blant oppdrettere. Dette vektlegges i analysen og risikoen vurderes som lav for «Negative effekter på det marine miljø ved fangst og bruk av villfanget leppefisk i fiskeoppdrett» i PO3. Samtidig er det viktig å være klar over at villfanget leppefisk har ukjent sykdomshistorikk og potensielt kan være bærere av nye og ukjente sykdommer. Slike potensielle overraskelser kan føre til alvorlige konsekvenser for både norsk oppdretts- og villfisk, illustrert med sort svane symbol i figur 3.3. 

Produksjonen av laksefisk i dette området har variert mye fra år til år med en svak økende trend de siste åtte årene. For å sikre bærekraften i området bør det være et mål å redusere utslippene av lakselus, sørge for tilstrekkelig utfisking i elver med høyt innslag av rømt oppdrettslaks, samt redusere de høye dødelighetstallene på oppdrettslaksen. Å samle opp partikulært organisk utslipp på de anleggene som er plassert i områder som vurderes å være mer sårbare for organisk belastning, vil kunne være et effektivt tiltak for å redusere påvirkningen på sediment og bunnsamfunn. God biosikkerhet i tilknytning til flytting av villfanget leppefisk vil bidra til å redusere sannsynlighet for smitteoverføring. Kobberforbruket økte på nasjonalt nivå fra 2023 til 2024, mens forbruket av tralopyril hadde en svak nedgang. Forbruket av sinkpyrithion og kobberpyrithion har vært lave og på stabile nivå. Hvordan bruken av disse antigroemidlene fordeler seg i de ulike området er ukjent, og det er behov for områdespesifikke data for å kunne si noe om mulig grad av påvirkning, spesielt i de mest oppdrettsintensive produksjonsområdene. 

3.4 Produksjonsområde 4, Nordhordland til Stadt

I 2025 var det henholdsvis 119 oppdrettslokaliteter i området som i løpet av året rapporterte inn fisk. Foreløpige tall fra Fiskeridirektoratet (20.01.2026) for 2025 er på 49 708 tonn laks og 33 942 tonn regnbueørret i gjennomsnittlig månedlig stående biomasse med et uttak til slakt i samme periode på henholdsvis 96 238 tonn laks og 82 586 tonn regnbueørret. Totalt sjøareal innenfor grunnlinjen er på 5 584 km2.

 

Se figurtekst
Figur 3.4. Visualisering av risiko for spesifikke uønskede hendelser som, dersom de inntreffer, kan gi opphav til et spekter av alvorlige konsekvenser som medfører «Redusert bærekraft med hensyn til dårlig dyrevelferd og negative miljøeffekter av fiskeoppdrett i produksjonsområde 4». Sannsynligheten knyttet til hvorvidt hendelsen vil inntreffe (høy, moderat, lav) utrykkes ved fargen på noden (hhv. rød, gul og grønn). Styrken på bakgrunnskunnskapen som sannsynlighetsvurderingen hviler på visualiseres ved fargen på ringen rundt noden (svak = rød, moderat = gul og sterk = grønn). Fargen på pilene viser konklusjoner om risiko for de uønskede hendelsene (lav = grønn, moderat = gul, høy = rød) Sort svane symbolet illustrerer potensielle overraskelser med svært alvorlige konsekvenser. I dette tilfelle utbrudd av alvorlig sykdom.

I PO4 ble det satt ut ca. 35 millioner laks i 2023, 24 millioner i 2024 og 31 millioner laks i 2025 (data fra Fiskeridirektoratets biomassestatistikk). Antall innrapporterte avlusinger har vært relativt stabil de siste årene. I likhet med tidligere år var de vanligste innmeldte velferdsmessige hendelsers knyttet til ikke-medikamentelle avlusninger eller sykdom i 2025. Det var en liten økning i sykdom i 2025, hvorav rundt halvparten av meldingene nevnte gjellehelse. Det var ingen hendelsesrapporter med alger eller maneter som hovedårsak. Totalt sett vurderer vi sannsynligheten for at en oppdrettslaks som blir satt ut i PO4 i 2026 opplever så dårlig velferd at den dør eller blir registrert som tap som høy (vesentlig over 17 %). Kunnskapsstyrken bak denne vurderingen vurderes som sterk siden tapet har vært nær eller over 20 % alle 2018-2023-årsklassene, og den også ser ut til å bli rundt 19 % for 2024-årsklassen, til tross for bedring i PD-situasjonen . Usikkerheten vurderes som lav og vi konkluderer med høy risiko for «Dårlig velferd hos oppdrettslaks i sjø» i PO4.

Produksjonsområde 4 er det området hvor det produseres klart mest regnbueørret. Det ble satt ut ca. 13 millioner i 2025 (data fra Fiskeridirektoratets biomassestatistikk). Til tross for to svært gode årsklasser med ned mot 10 % tap, vurderer vi sannsynligheten for at en regnbueørret som blir satt ut i en oppdrettsmerd i PO4 i 2025 opplever så dårlig velferd at den blir registrert som tap moderat (nær 17 %). Kunnskapsstyrken bak denne vurderingen vurderes som moderat, siden tapstallene har variert mellom 10 og 17 % for de siste årsklassene. Sannsynlighetsvurderingen om at tapet ikke blir vesentlig større enn 17 % hviler på sterk kunnskapsstyrke som bidrar å redusere usikkerheten og risikoen vurderes som moderat for «Dårlig velferd hos regnbueørret i sjø» i PO4.

Tråldata fra produksjonsområdet indikerer at lakselus forsaker variabel dødelighet på utvanderende smolt for området sett under ett, og ofte høyere dødelighet for smolt fra elver inne i fjordsystemet enn for elvene som ligger lengere ute. Risikoen vurderes totalt sett som høy for «Høy lakselus-indusert dødelighet på utvandrende postsmolt laks». Antall produserte lakseluslarver i sjøørretens beiteperiode øker utover beiteperioden og påslaget av lakseluslarver på beitende sjøørret vurderes å være høyt. Feltdata for de fleste år støtter en slik vurdering og samsvarer godt med modellresultatene. På tross av noe usikkerhet i fiskens nøyaktige tålegrenser og de detaljerte effektene av lakselus på prematur tilbakevandring, vet vi at de totale effektene på bestandene er alvorlige. Risikoen vurderes derfor som høy for «Negative effekter av lakselussmitte på sjøørret» i PO4. 

For produksjonsområde 4 har det vært rapportert moderat rømmingstall og moderat andel rømt oppdrettslaks i elvene i perioden 2020–2024, men dårlig effekt av utfisking. Villfiskens bestandsstatus vurderes som dårlig og det er påvist et høyt nivå av genetisk endring i villaksbestandene i området. Det mangler kunnskap knyttet til omfanget av rømming og påvirkning fra rømming i andre produksjonsområder, men det er god dekning både i overvåkingsprogrammet og for vurdering av genetisk status i området. Vi konkluderer derfor med at risikoen er moderat for «Ytterligere genetisk endring hos villaks som følge av innkryssing av rømt oppdrettslaks» i PO4.

PO4 På tross av moderate utslipp av næringssalter og områder der vannutskiftingen kan være mindre god, er miljøovervåkingen god i oppdrettsintensive områder. Høy produksjon av fisk i slike områder kan likevel gi økt risiko for overgjødsling. Beregnet økning av planteplanktonproduksjon som skyldes utslipp fra fiskeoppdrett er lav og indikatoren «Makroalger på hardbunn» viste «Svært god» til «God» tilstand på alle stasjoner. God overvåking gir lite usikkerhet, og risikoen vurderes som lav for «Overgjødsling på grunn av utslipp av løste næringssalter fra fiskeoppdrett» i PO4.   

Influensområdet til matfiskanleggene dekket til sammen rundt 498-510 km2 sjøareal som utgjør 9 % av det samlede arealet for PO4. Resultatene fra B- og C-undersøkelsene er forbedret siden i fjor og viser at det er en lav andel lokaliteter med dårlig miljøtilstand. Det er fortsatt flere anlegg som ligger i områder med sjelden eller moderat vannutskifting som kan være mer sårbare for organisk belastning, men resultatene fra B-undersøkelsen viser at miljøtilstanden for mange av disse anleggene er forbedret. Det er noe usikkerhet, først og fremst grunnet manglende overvåkingsmetodikk for hardbunn. Det konkluderes likevel med lav risiko for «Negative effekter på bunnsamfunn i influensområdet for oppdrett» i PO4. 

Kobberforbruket er betydelig redusert siden toppåret i 2019, men økte på nasjonalt nivå fra 2023 til 2024. C-undersøkelsene for de siste tre år viser at det fortsatt er en moderat andel oppdrettsanlegg med dårlig miljøtilstand med hensyn til kobbernivå i produksjonsområdet. Risikoen vurderes derfor som moderat for «Negative effekter på det marine miljø ved bruk av kobber i fiskeoppdrett» i PO4. Det var lavt forbruk av flubenzuroner og ingen forbruk av deltametrin og hydrogenperoksid til avlusning av laksefisk. Disse avlusningsmidlene vurderes som de mest skadelige. Selv om det knyttes usikkerhet til omfang og fremtidig forbruk av de ulike avlusningsmidlene, vurderes risikoen som lav for «Alvorlige effekter på non-target arter ved bruk av avlusningsmidler» i PO4.

I 2025 lå fiskeriet av villfanget leppefisk langt under kvoten i Fangstområde Vestlandet (ca. 4,8 millioner) og det antas at det brukes mye lokalfanget leppefisk. Selv om det er noe usikkerhet grunnet manglende oversikt over hvor den villfangete leppefisken fiskes, transporteres og settes ut, har trenden med stadig redusert bruk av villfanget leppefisk, fortsatt blant oppdrettere. Dette vektlegges i analysen og risikoen vurderes som lav for «Negative effekter på det marine miljø ved fangst og bruk av villfanget leppefisk i fiskeoppdrett» i PO4. Samtidig er det viktig å være klar over at villfanget leppefisk har ukjent sykdomshistorikk og potensielt kan være bærere av nye og ukjente sykdommer. Slike potensielle overraskelser kan føre til alvorlige konsekvenser for både norsk oppdretts- og villfisk, illustrert med sort svane symbol i figur 3.4. 

Produksjonen av laksefisk i dette området har vært svakt økende de siste åtte årene. For å sikre bærekraften i området bør det være et mål å redusere utslippene av lakselus, samt redusere de høye dødelighetstallene på oppdrettslaksen. Det bør det være et mål å redusere rømmingshendelsene og sørge for tilstrekkelig utfisking i elver med høyt innslag av rømt oppdrettslaks. Også god biosikkerhet i tilknytning til flytting av villfanget leppefisk vil bidra til å redusere sannsynlighet for smitteoverføring. Kobberforbruket økte på nasjonalt nivå fra 2023 til 2024, mens tralopyril hadde en svak nedgang. Forbruket av sinkpyrithion og kobberpyrithion har vært lave og på stabile nivå. Hvordan bruken av disse antigroemidlene fordeler seg i de ulike områdene er ukjent, og det er behov for områdespesifikke data for å kunne si noe om mulig grad av påvirkning, spesielt i de mest oppdrettsintensive produksjonsområdene. 

3.5 Produksjonsområde 5, Stadt til Hustadvika

I 2025 var det 36 oppdrettslokaliteter i området som i løpet av året rapporterte inn fisk. Foreløpige tall fra Fiskeridirektoratet (20.01.2026) for 2025 er på 47 331 tonn laks og 3 558 tonn regnbueørret i gjennomsnittlig månedlig stående biomasse med et uttak til slakt i samme periode på 109 904 tonn laks og 10 452 tonn regnbueørret. Totalt innenfor grunnlinjen er på 3 950 km2.

 

Se figurtekst
Figur 3.5. Visualisering av risiko for spesifikke uønskede hendelser som, dersom de inntreffer, kan gi opphav til et spekter av alvorlige konsekvenser som medfører «Redusert bærekraft med hensyn til dårlig dyrevelferd og negative miljøeffekter av fiskeoppdrett i produksjonsområde 5». Sannsynligheten knyttet til hvorvidt hendelsen vil inntreffe (høy, moderat, lav) utrykkes ved fargen på noden (hhv. rød, gul og grønn). Styrken på bakgrunnskunnskapen som sannsynlighetsvurderingen hviler på visualiseres ved fargen på ringen rundt noden (svak = rød, moderat = gul og sterk = grønn). Fargen på pilene viser konklusjoner om risiko for de uønskede hendelsene (lav = grønn, moderat = gul, høy = rød). Sort svane symbolet illustrerer potensielle overraskelser med svært alvorlige konsekvenser. I dette tilfelle utbrudd av alvorlig sykdom.

I 2025 ble det satt ut nesten 18 millioner laks i området PO5 (data fra Fiskeridirektoratets biomassestatistikk). Det har vært en gradvis økning i antall rapporterte ikke-medikamentell avlusning fra 2020–2025 og det var en markant økning (1,5 ganger) i hendelsesmeldinger knyttet til ikke-medikamentell avlusning i 2025 sammenlignet med 2024. Ingen hendelsesmeldinger ble rapportert til Mattilsynet relatert til alge- og manetangrep i 2025. Selv om dette PO-et har mange årsklasser ned mot 12-14 % tap, er det tilsvarende mange opp mot 20% tap, vi vurderer derfor sannsynligheten for at en oppdrettslaks som blir satt ut i PO5 i 2026 opplever så dårlig velferd at den blir regnet tapt som moderat (nær 17 %). Siden antall avlusinger har gått opp og tapet blir rundt 20 % for 2024-årsklassen vurderes kunnskapsstyrken bak denne vurderingen som usikker eller svak. Usikkerheten rundt variasjoner i tap mellom årsklasser gjør at risikoen for «Dårlig velferd hos oppdrettslaks i sjø» i PO5 vurderes som høy.

Det settes ut et lavt antall regnbueørret i PO5 hvert år. I 2025 ble det satt ut kun litt over 1 million (data fra Fiskeridirektoratets biomassestatistikk). Siden det er kun en årsklasse som har hatt tap opp mot 20 %, mens de andre ligger rundt 17 % eller lavere, vurderer vi sannsynligheten for at en regnbueørret som blir satt ut i PO5 i 2026 vil oppleve så dårlig velferd at den blir regnet som tapt som moderat (nær 17 %). Gitt at det her er få lokaliteter å basere vurderingen på vurderes kunnskapsstyrken som svak. Dødelighetstallene viser en årsklasse fra de siste årene med dødelighet opp mot 20 %, men på bakgrunn av totalbildet vurderer vi risikoen for «Dårlig velferd hos regnbueørret i sjø» i PO5 som moderat.

Produksjonen av lakseluslarver vurderes som lav eller moderat siden 2018, bortsett fra i 2019 der den var høy. Tråldata fra de ulike regionene i produksjonsområdet indikerer at fisken fra de nordlige elvene har hatt moderat til lav dødelighet i perioden 2021–2024, mens fisk fra de sørlige elvene tidligere har ligget lavt, men har de to siste årene har hatt høy estimert dødelighet. Med noe varierende samsvar mellom modell og observasjoner og noe manglende kunnskap om utvandringsruter er det moderat usikkerhet knyttet til vurderingen. Risikoen vurderes som moderat for «Høy lakselusindusert dødelighet hos utvandrende postsmolt laks». Antall produserte lakseluslarver i sjøørretens beiteperiode øker utover beiteperioden og påslaget av lakseluslarver på beitende sjøørret vurderes å være høyt. Feltdata støtter en slik vurdering, men viser også at sjøørret lengst inne i fjordene påvirkes i varierende grad. Størrelsen av området med mye lus gjør at vi anser smittepresset for sjøørret som høyt i området. På tross av noe usikkerhet i fiskens nøyaktige tålegrenser og de detaljerte effektene av lakselus på prematur tilbakevandring, vet vi at de totale effektene på bestandene er alvorlige. Risikoen vurderes derfor som høy for «Negative effekter av lakselussmitte på sjøørret» i PO5. 

På tross av lave rømmingstall i perioden 2020–2024 er det registrert moderate mengder rømt oppdrettslaks i elvene. Disse kan ha vandret inn fra andre områder med rømminger, i tillegg til at det på generelt grunnlag er knyttet usikkerhet til rømmingstallene. Andelen elver som overvåkes for innslag av rømt oppdrettslaks er også noe lav. Villfiskens bestandsstatus vurderes som dårlig og det er alt påvist et høyt nivå av genetisk endring i villaksbestandene i området. Usikre rømmingstall og manglende dekning i overvåkingen, gjør vurderingen usikker. Risikoen vurderes likevel totalt sett å være moderat for «Ytterligere genetisk endring hos villaks som følge av innkryssing av rømt oppdrettslaks» i PO5. 

Utslippene av løst nitrogen og fosfor per sjøareal i dette området er moderate, og det er ingen miljøovervåking i oppdrettsintensive områder. Fiskeoppdrettsanleggene ligger i hovedsak i områder med god vannutskiftning med unntak av noen indre fjordområder. Høy produksjon av fisk i slike områder kan likevel tidvis gi økt risiko for overgjødsling. Beregnet økning av planteplanktonproduksjon som skyldes utslipp fra fiskeoppdrett lav (8 %). Basert på estimert respons i planteplanktonsamfunn, relativt sikre produksjonstall, godt utprøvde hydrodynamiske modeller som beregner vannutskiftning i området med oppdrett, samt kunnskap om hvor høye konsentrasjoner av løste næringssalter som må til for å få negative effekter, vurderes kunnskapen som ligger til grunn for vurderingen som sterk på tross av manglende overvåkning. Risikoen vurderes derfor som lav for «Overgjødsling på grunn av utslipp av løste næringssalter fra fiskeoppdrett» i PO5.   

Andelen av B-undersøkelser tatt på hardbunn i forhold til prøver tatt på bløtbunn vurderes som moderat (39 %). På tross av at det vurderes å være noe manglende overvåking av hardbunn grunnet manglende overvåkingsmetodikk, er det lite areal totalt sett som påvirkes av fekalier og spillfôr i området og spredningen vurderes som god. Risikoen vurderes derfor totalt sett som lav for «Negative effekter på bunnsamfunn i influensområdet for oppdrett» i PO5. 

Estimerte utslipp av kobber er lave, og C-undersøkelsene viste ingen lokaliteter i området med dårlig miljøtilstand for kobber i sedimentet i overgangssonen. Med vekt på dette vurderes risikoen som lav for «Negative effekter på det marine miljø ved bruk av kobber i fiskeoppdrett» i PO5. Det var ingen forbruk av flubenzuroner, deltametrin og hydrogenperoksid til avlusning av laksefisk. Disse avlusningsmidlene vurderes som de mest skadelige. Selv om det knyttes usikkerhet til omfang og fremtidig forbruk av de ulike avlusningsmidlene, vurderes risikoen som lav for «Alvorlige effekter på non-target arter ved bruk av avlusningsmidler» i PO5. 

I 2025 lå fiskeriet av villfanget leppefisk langt under kvoten. Nord for 62 grader nord, ble det kun fanget ca. 340 000 leppefisk totalt, noe som vurderes som veldig lavt sammenlignet med tidligere år. I tillegg til at bruken av villfanget leppefisk er lav, antas det at det brukes mye lokalt fanget leppefisk i produksjonsområdet. Selv om det er noe usikkerhet grunnet manglende oversikt over hvor den villfangete leppefisken fiskes, transporteres og settes ut, er trenden et stadig redusert bruk av villfanget leppefisk blant oppdrettere. Risikoen vurderes derfor som lav for «Negative effekter på det marine miljø ved fangst og bruk av villfanget leppefisk i fiskeoppdrett» i PO5. Samtidig er det viktig å være klar over at villfanget leppefisk har ukjent sykdomshistorikk og potensielt kan være bærere av nye og ukjente sykdommer. Slike potensielle overraskelser kan føre til alvorlige konsekvenser for både norsk oppdretts- og villfisk, illustrert med sort svane symbol i figur 3.5. 

Produksjonen av laksefisk i dette området har stor mellomårlig variasjon, men har hatt en jevn økning i produksjonen de siste åtte årene. For å sikre bærekraften i området bør det være et mål å redusere utslippene av lakselus, holde rømmingstallene lave, samt redusere dødeligheten på oppdrettslaks og regnbueørret i sjø.

3.6 Produksjonsområde 6, Nordmøre og Sør-Trøndelag

I 2025 var det 113 oppdrettslokaliteter i området som i løpet av året rapporterte inn fisk. Foreløpige tall fra Fiskeridirektoratet (20.01.2026) for 2025 er på 144 111 tonn laks og 85 tonn regnbueørret i gjennomsnittlig månedlig stående biomasse med et uttak til slakt i samme periode på 260 167 tonn laks og ikke noe regnbueørret. Totalt sjøareal innenfor grunnlinjen er på 10 331 km2.

 

Se figurtekst
Figur 3.6. Visualisering av risiko for spesifikke uønskede hendelser som, dersom de inntreffer, kan gi opphav til et spekter av alvorlige konsekvenser som medfører «Redusert bærekraft med hensyn til dårlig dyrevelferd og negative miljøeffekter av fiskeoppdrett i produksjonsområde 6». Sannsynligheten knyttet til hvorvidt hendelsen vil inntreffe (høy, moderat, lav) utrykkes ved fargen på noden (hhv. rød, gul og grønn). Styrken på bakgrunnskunnskapen som sannsynlighetsvurderingen hviler på visualiseres ved fargen på ringen rundt noden (svak = rød, moderat = gul og sterk = grønn). Fargen på pilene viser konklusjoner om risiko for de uønskede hendelsene (lav = grønn, moderat = gul, høy = rød). Sort svane symbolet illustrerer potensielle overraskelser med svært alvorlige konsekvenser. I dette tilfelle utbrudd av alvorlig sykdom.  

Produksjonsområde 6 er det området med klart flest utsatt laks hvert år. Det ble satt ut over 69 millioner i 2025 (data fra Fiskeridirektoratets Biomassestatistikk). Som det området med flest aktive lokaliteter, er det også det området med klart høyeste antall av innmeldte velferdsmessige hendelser til Mattilsynet. I 2025 var det en 50 % økning i innmeldte hendelser i forbindelse med ikke-medikamentelle avlusninger sammenlignet med 2024. Dette sammenfaller med at det var en stor økning i antall registrerte ikke-medikamentelle avlusninger i 2025. I 2023 ble det rapportert om høy dødelighet fra anlegg i PO6 grunnet gjellesykdom og dårlig vannmiljø. Både 2022- og 2023-årsklassen i dette produksjonsområdet har hatt hendelser med høy dødelighet fra manetangrep. I 2025 var det bare en hendelsesmelding som kunne knyttes til mistanke om maneter. Tapet per årsklasse ser ut til å være økende for PO6. Dette samvarierer med økt antall laks i hver årsklasse og flere avlusinger særlig i 2025. Totalt sett vurderer vi derfor sannsynligheten for at en oppdrettslaks som blir satt ut i 2026 i PO6 opplever så dårlig velferd at den blir regnet tap som moderat (nær 17 %), men et komplekst risikobilde gjør at kunnskapsstyrken bak denne vurderingen vurderes som svak. Usikkerheten knyttet til sårbarhet for enkelthendelser med høy dødelighet vektlegges og risikoen vurderes som høy for «Dårlig velferd hos oppdrettslaks i sjø» i PO6.

Det er stor variasjon i tetthet av lakselus i dette området, og det vil spesielt være utvandringsveien til laksen som har betydning for opplevd smittepress. Estimatene av lakselus på trålfanget laks i Trondheimsfjordsystemet 2016–2024 indikerer lav dødelighet alle årene. Det finnes ikke tråldata fra Frohavet eller elvene på Nordmøre der vandringsrutene ikke er kjent, Estimatene fra den virtuelle postsmoltmodellen (alle elvene i produksjonsområdet i perioden 2016–2024) indikerer derimot påslag som fører til moderat dødelighet alle årene, mens den områdekorrigerte dødeligheten indikerer at dødeligheten varierer mellom lav, moderat og høy. Manglende kunnskap skaper usikkerhet, men basert på eksisterende tråldata og varierende utslag på modellene vurderes risikoen totalt sett som moderat for «Høy lakselusindusert dødelighet hos utvandrende postsmolt laks» i PO6. 

Sjøørret oppholder seg i sjøen over en lang periode utover sommeren og smittepresset i enkelte områder kan være høyt. Modelldata indikerer at inne i Trondheimsfjorden og innerst i de nasjonale laksefjordene på Nordmøre er smittepresset lavt. Lang kysten er det ofte moderate til høye tettheter av lakselus utover sommeren, selv om dette svinger mellom år. Observasjoner av smitte på garn- og rusefanget sjøørret viser oftest høy smitte på sjøørret på stasjonene utenfor Trondheimsfjorden, men de sørlige delene av PO6 er ikke undersøkt. Manglende overvåking skaper usikkerhet i deler av området, og kunnskapsstyren vurderes derfor som moderat. Risikoen vurderes totalt sett som høy for «Negative effekter av lakselussmitte på sjøørret» PO6. 

For produksjonsområde 6 har det vært rapportert høye rømmingstall i perioden 2020–2024, og en økning i innslag av rømt oppdrettslaks i elvene fra moderat til høy, samt dårlig effekt av utfisking. Villfiskens bestandsstatus vurderes som moderat og det er påvist et moderat nivå av genetisk endring i villaksbestandene i området Det er knyttet noe usikkerhet til rømmingstallene og andelen elver som overvåkes for innslag av rømt oppdrettslaks er lav. Vi konkluderer med at risikoen er høy for «Ytterligere genetisk endring hos villaks som følge av ny innkryssing av rømt oppdrettslaks» i PO6, som er en oppjustering fra i fjør. 

Utslippene av løst nitrogen og fosfor per sjøareal i dette området er moderat høye, og det er ingen miljøovervåking i oppdrettsintensive områder. De fleste matfiskanlegg i dette produksjonsområdet ligger på bølgeeksponert kyst, og løste næringssalter spres og fortynnes effektivt med strøm og vind. Beregnet økning av planteplanktonproduksjon som skyldes utslipp fra fiskeoppdrett er lav (10,7 %). Selv om området har manglende overvåkning finnes det godt utprøvde hydrodynamiske modeller som beregner vannutskiftning i området med oppdrett, samt kunnskap om hvor høye konsentrasjoner av løste næringssalter som må til for å få negative effekter. Risikoen vurderes derfor som lav for «Overgjødsling på grunn av utslipp av løste næringssalter fra fiskeoppdrett» i PO6. 

Andelen B-undersøkelser prøver tatt på hardbunn i forhold til prøver tatt på bløtbunn er moderat (29 %) og arealet som påvirkes av utslipp av fekalier og spillfôr vurderes også å være moderat stort. Selv om det vurderes å være tilstrekkelig overvåking av bløtbunn, vurderes overvåkingen av hardbunn som utilstrekkelig grunnet manglende overvåkingsmetodikk. Datagrunnlaget for hardbunn er derfor mer usikkert enn for bløtbunn. Det gjør at vurderingen av tilstandsklasse på disse lokalitetene kan være dårligere enn rapportert. Selv om miljøtilstand i B-undersøkelser er god, er det en relativt høy andel C-undersøkelser i kategorien «Moderat» og det konkluderes med moderat risiko for «Negative effekter på bunnsamfunn i influensområdet for oppdrett» i PO6. 

Kobberforbruket er betydelig redusert siden toppåret 2019, men økte på nasjonalt nivå fra 2023 til 2024. Miljødata viser likevel at en del av lokalitetene i området har forhøyede kobberverdier i sedimentet, men produksjonsområdet er stort og påvirkningen utgjør en liten del totalt sett. Med vekt på dette vurderes risikoen som lav for «Negative effekter på det marine miljø ved bruk av kobber i fiskeoppdrett». Det var ingen bruk av de avlusningsmidlene som vurderes som de mest skadelige (deltametrin, hydrogenperoksid, flubenzuroner). Selv om det knyttes usikkerhet til omfang og fremtidig forbruk av de ulike avlusningsmidlene, vurderes risikoen som lav for «Alvorlige effekter på non-target arter ved bruk av avlusningsmidler» i PO6. 

I 2025 lå fiskeriet av villfanget leppefisk langt under kvoten. Nord for 62 grader nord, ble det kun fanget ca. 340 000 leppefisk totalt, noe som vurderes som veldig lavt sammenlignet med tidligere år. I tillegg til at bruken av villfanget leppefisk er lav, antas det at det brukes mye lokalt fanget leppefisk i produksjonsområdet. Selv om det er noe usikkerhet grunnet manglende oversikt over hvor den villfangete leppefisken fiskes, transporteres og settes ut, er trenden et stadig redusert bruk av villfanget leppefisk blant oppdrettere. Risikoen vurderes derfor som lav for «Negative effekter på det marine miljø ved fangst og bruk av villfanget leppefisk i fiskeoppdrett» i PO6. Samtidig er det viktig å være klar over at villfanget leppefisk har ukjent sykdomshistorikk og potensielt kan være bærere av nye og ukjente sykdommer. Slike potensielle overraskelser kan føre til alvorlige konsekvenser for både norsk oppdretts- og villfisk, illustrert med sort svane symbol i figur 3.6. 

Produksjonsområde 6 har hatt en relativt jevnt høy produksjon de siste åtte årene. For å sikre bærekraften i området bør det være et mål å redusere utslippene av lakselus, holde rømmingstallene nede og redusere produksjonsdødeligheten på oppdrettsfisken. God biosikkerhet i tilknytning til flytting av villfanget leppefisk vil bidra til å redusere sannsynlighet for smitteoverføring.

3.7 Produksjonsområde 7, Nord-Trøndelag med Bindal

I 2025 var det 62 oppdrettslokaliteter i området som i løpet av året rapporterte inn fisk. Foreløpige tall fra Fiskeridirektoratet (20.01.2026) for 2025 er på 71 444 tonn gjennomsnittlig månedlig stående biomasse med et uttak til slakt i samme periode på 148 855 tonn. Det var ingen produksjon av regnbueørret i området. Totalt innenfor grunnlinjen er på 5 182 km2.

 

Se figurtekst
Figur 3.7. Visualisering av risiko for spesifikke uønskede hendelser som, dersom de inntreffer, kan gi opphav til et spekter av alvorlige konsekvenser som medfører «Redusert bærekraft med hensyn til dårlig dyrevelferd og negative miljøeffekter av fiskeoppdrett i produksjonsområde 7». Sannsynligheten knyttet til hvorvidt hendelsen vil inntreffe (høy, moderat, lav) utrykkes ved fargen på noden (hhv. rød, gul og grønn). Styrken på bakgrunnskunnskapen som sannsynlighetsvurderingen hviler på visualiseres ved fargen på ringen rundt noden (svak = rød, moderat = gul og sterk = grønn). Fargen på pilene viser konklusjoner om risiko for de uønskede hendelsene (lav = grønn, moderat = gul, høy = rød). Sort svane symbolet illustrerer potensielle overraskelser med svært alvorlige konsekvenser. I dette tilfelle utbrudd av alvorlig sykdom.

For produksjonsområde 7 har det vært rapportert moderate rømmingstall i perioden 2020–2024, mens det var observert et høyt innslag av rømt oppdrettslaks i elvene og moderat effekt av utfisking. Det er knyttet noe usikkerhet til rømmingstallene og andelen elver som overvåkes for innslag av rømt oppdrettslaks er lav. De moderate rømmingstallene, mye rømt oppdrettslaks observert i elvene og dårlig genetisk status bidrar til at risikoen vurderes som høy for «Ytterligere genetisk endring hos villaks som følge av ny innkryssing av rømt oppdrettslaks» i PO7. 

Antall produserte lakseluslarver i sjøørretens beiteperiode øker utover beiteperioden. Den høye produksjonen av lakseluslarver i 2024 og 2025 har sammenheng med høy temperatur i sjøen, men også før dette var forekomsten av luselarver høy. Påslaget av lakseluslarver på beitende sjøørret vurderes å være høyt. Kart over modellert smittepress og påslag av lakselus på ruse og garnfanget sjøørret viser godt samsvar. På tross av noe usikkerhet i fiskens nøyaktige tålegrenser og de detaljerte effektene av lakselus på prematur tilbakevandring, vet vi at de totale effektene på bestandene er alvorlige. Risikoen vurderes derfor som høy for «Negative effekter av lakselussmitte på sjøørret» i PO7. 

Det ble satt ut ca. 30 millioner laks i PO7 i 2023, over 36 millioner i 2024 og 29 millioner i 2025 (data fra Fiskeridirektoratets biomassestatistikk). Antall rapporterte lusebehandlinger har hatt en jevn økning de siste årene, men ser ut til å ha stabilisert seg med likt antall rapporteringer i 2024 og 2025. Den mest vanlige innmeldte årsaken til velferdsproblemer for dette PO-et i 2025 var ikke-medikamentell avlusning, men det er en trend med økende innrapporterte velferdsmessige hendelser knyttet til sykdom/helse, hvor flertallet av tilfellene i 2025 var knyttet hjertesykdom. Tapet ser ut til å ligge relativt stabilt rundt 12-14 % for de siste årsklassene. Vi vurderer derfor sannsynligheten for at en oppdrettslaks laks som blir satt ut i PO7 i 2026 skal oppleve så dårlig velferd at den blir regnet som tap som lav (vesentlig under 17 %). En tendens til noe økt tap de siste årene, og høyt antall lusebehandlinger, skaper imidlertid usikkerhet og kunnskapsstyrken bak sannsynlighetsvurderingen må betraktes som moderat. Usikkerheten knyttet til 2022- og 2023-årsklassene, og høyt antall avlusinger, vektlegges og risikoen vurderes som moderat for «Dårlig fiskevelferd hos oppdrettslaks i sjø» i PO7.

Utslippene av lakselus i produksjonsområde 7 var moderate og smittepresset i området vurderes også å være moderat. Det er knyttet noe usikkerhet til vurderingen i form av manglende samsvar mellom modell og observasjoner, samt manglende kunnskap om utvandringstid og ruter for postsmolten i området. Vurderingen underbygges likevel av at estimatene fra den virtuelle postsmoltmodellen for årene 2016–2025 indikerer lusepåslag som gir moderat dødelighet, bortsett fra 2024 der dødeligheten lå helt på grensen mellom moderat og høy. Det bør bemerkes at for ca. 1/3 av elvene i PO7 ble det estimert høy dødelighet. Det er vanskelig å vurdere hvor høy dødeligheten blir frem i tid da den varierer mellom år og innad i området. Men trenden er økende smitte som har vært kategorisert som moderat i de senere år. Risikoen vurderes derfor totalt sett som moderat for «Høy lakselusindusert dødelighet hos utvandrende postsmolt laks» i PO7. 

Andelen prøver tatt på hardbunn i forhold til på bløtbunn er moderat (30 %) og arealet som påvirkes av utslipp av fekalier og spillfôr vurderes også å være moderat stort. Selv om det vurderes å være tilstrekkelig overvåking av bløtbunn, vurderes overvåkingen av hardbunn som utilstrekkelig grunnet manglende overvåkingsmetodikk. Datagrunnlaget for hardbunn er derfor mer usikkert enn for bløtbunn. Det gjør at vurderingen av tilstandsklasse på disse lokalitetene kan være dårligere enn rapportert. Selv om miljøtilstand i B-undersøkelser er god, med en relativt høy andel C-undersøkelser i kategorien «Moderat» «Dårlig» eller «Svært dårlig» konkluderes det med moderat risiko for «Negative effekter på bunnsamfunn i influensområdet for oppdrett» i PO7. 

Utslippene av løst nitrogen og fosfor per sjøareal i dette området er moderate, spredning og fortynning vurderes å være moderat i enkelte fjordområder og det er ingen overvåking i områder med oppdrett. Beregnet økning av planteplanktonproduksjonen som skyldes utslipp fra fiskeoppdrett er lav (9,1 %) og langt unna grenseverdien på 50 % som er definert av OSPAR. Høy produksjonsintensitet i fjorder med liten vannutskiftning kan gi lokal økt risiko for overgjødsling. God kunnskap om hvor høye konsentrasjoner av løste næringssalter som må til for å få negative effekter gjør at vi konkluderer med lav risiko for «Overgjødsling på grunn av utslipp av løste næringssalter fra fiskeoppdrett» i PO7.  

Kobberforbruket er betydelig redusert siden toppåret 2019, men økte på nasjonalt nivå fra 2023 til 2024. Estimerte utslipp av kobber er lave, og C-undersøkelsene viste få lokaliteter i området med dårlig miljøtilstand for kobber i sedimentet i overgangssonen. Med vekt på dette vurderes risikoen som lav for «Negative effekter på det marine miljø ved bruk av kobber i fiskeoppdrett». Det var lavt forbruk av deltametrin og ingen forbruk av flubenzuroner og hydrogenperoksid til avlusning av laksefisk. Disse avlusningsmidlene vurderes som de mest skadelige. Selv om det knyttes usikkerhet til omfang og fremtidig forbruk av de ulike avlusningsmidlene, vurderes risikoen som lav for «Alvorlige effekter på non-target arter ved bruk av avlusningsmidler» i PO7. 

I 2025 lå fiskeriet av villfanget leppefisk langt under kvoten. Nord for 62 grader nord, ble det kun fanget ca. 340 000 leppefisk totalt, noe som vurderes som veldig lavt sammenlignet med tidligere år. I tillegg til at bruken av villfanget leppefisk er lav, antas det at det brukes mye lokalt fanget leppefisk i produksjonsområdet. Selv om det er noe usikkerhet grunnet manglende oversikt over hvor den villfangete leppefisken fiskes, transporteres og settes ut, er trenden et stadig redusert bruk av villfanget leppefisk blant oppdrettere. Risikoen vurderes derfor som lav for «Negative effekter på det marine miljø ved fangst og bruk av villfanget leppefisk i fiskeoppdrett» i PO7. Samtidig er det viktig å være klar over at villfanget leppefisk har ukjent sykdomshistorikk og potensielt kan være bærere av nye og ukjente sykdommer. Slike potensielle overraskelser kan føre til alvorlige konsekvenser for både norsk oppdretts- og villfisk, illustrert med sort svane symbol i figur 3.7. 

Produksjonsområdet har hatt en relativt jevn og jevnt økende produksjon de siste åtte årene.. For å sikre bærekraften i området bør det være et mål å redusere utslippene av lakselus og holde rømmingstallene nede. Å samle opp partikulært organisk utslipp på de anleggene som er plassert i områder som vurderes å være mer sårbare for organisk belastning, vil kunne være et av flere tiltak for å redusere påvirkningen på sediment og bunnsamfunn. 

3.8 Produksjonsområde 8, Helgeland til Bodø

I 2025 var det 85 oppdrettslokaliteter i området som i løpet av året rapporterte inn fisk. Foreløpige tall fra Fiskeridirektoratet (20.01.2026) for 2025 er på 92 081 tonn gjennomsnittlig månedlig stående biomasse med et uttak til slakt i samme periode på 186 231 tonn. Det var ingen produksjon av regnbueørret i området. Totalt sjøareal innenfor grunnlinjen er på 12 766 km2.

 

Se figurtekst
Figur 3.8. Visualisering av risiko for spesifikke uønskede hendelser som, dersom de inntreffer, kan gi opphav til et spekter av alvorlige konsekvenser som medfører «Redusert bærekraft med hensyn til dårlig dyrevelferd og negative miljøeffekter av fiskeoppdrett i produksjonsområde 8». Sannsynligheten knyttet til hvorvidt hendelsen vil inntreffe (høy, moderat, lav) utrykkes ved fargen på noden (hhv. rød, gul og grønn). Styrken på bakgrunnskunnskapen som sannsynlighetsvurderingen hviler på visualiseres ved fargen på ringen rundt noden (svak = rød, moderat = gul og sterk = grønn). Fargen på pilene viser konklusjoner om risiko for de uønskede hendelsene (lav = grønn, moderat = gul, høy = rød).  

For produksjonsområde 8 har det vært rapportert høyt rømmingstall i perioden 2020–2024, høyt innslag av rømt oppdrettslaks i elvene og dårlig effekt av utfisking. Villfiskens bestandsstatus vurderes som dårlig og det er påvist et høyt nivå av genetisk endring i villaksbestandene i området. Det er knyttet noe usikkerhet til rømmingstallene og andelen elver som overvåkes for innslag av rømt oppdrettslaks er lav. Mye rømt oppdrettslaks observert i elvene, dårlig bestandsstatus og et høyt nivå av genetisk innkryssing fra oppdrettslaks bidrar til at risikoen vurderes som høy for «Ytterligere genetisk endring hos villaks som følge av ny innkryssing av rømt oppdrettslaks» i PO8. 

Antall produserte lakseluslarver i sjøørretens og sjørøyas beiteperiode øker utover beiteperioden. Den spesielt høye produksjonen av lakseluslarver i 2024-2025 har sammenheng med høy temperatur i sjøen. Beiteområdene overlapper i moderat grad med områdene som har mye lakselus. Likevel vurderes påslaget av lakseluslarver på beitende sjøørret og sjørøye å være høyt, særlig fra midt i juli og ut august. Det mangler kunnskap om fiskens nøyaktige tålegrenser og de detaljerte effektene av lakselus på prematur tilbakevandring, og det er et begrenset antall observasjoner som ikke dekker slutten av beiteperioden. Risikoen vurderes totalt sett som høy for «Negative effekter av lakselussmitte på sjøørret/sjørøye» i PO8. 

Det foreligger ikke direkte observasjoner av lakselussmitte på utvandrende postsmolt laks, men smittepresset i ytre deler av enkelte fjorder, basert på ruse- og garnfangst av sjøørret, indikerer lavt til moderat smittepress i utvandringstiden for laks. Smoltmodellen estimerer fra lav til moderat smitte av lus på smolten ved normal utvandring, høyest de senere årene og smittepresset vurderes som klart økende. Dette støttes av resultatene fra smoltmodellen som indikerer 20 % dødelighet i 2024. Manglende kunnskap, først og fremst om utvandringsruter, gir noe usikkerhet i analysen. Risikoen vurderes derfor som moderat for «Høy lakselusindusert dødelighet hos utvandrende postsmolt laks» i PO8. 

Det ble satt ut ca. 45 millioner laks i PO8 i 2025 (data fra Fiskeridirektoratets biomassestatistikk). PO8 hadde betydelig flere innmeldte velferdsmessige hendelser i 2025 sammenlignet med tidligere år. Disse var i hovedsak tilskrevet ikke-medikamentell avlusning, sykdom (særlig hjertesykdom) og dødelighet i forbindelse med utsett. Det ble innmeldt 9 hendelser assosiert med alger eller maneter. Åtte av disse hendelsene var fra to lokaliteter hvor det ble observert perlesnormanet. Totalt vurderes sannsynligheten for at en oppdrettslaks som blir satt ut i PO8 i 2026 skal oppleve så dårlig velferd at den blir registrert som tap som lav (vesentlig under 17 %). Siden tapstallene har ligget rundt 12 %, utenom for 2023-årsklassen hvor mye fisk ble destruert pga. PD, og frekvensen av skår 0 innrapporteringer har vært relativ stabil de siste årene vurderes kunnskapsstyrken som sterk. Tapstallene ligger under landsgjennomsnittet og risikoen vurderes å være lav for «Dårlig fiskevelferd hos oppdrettslaks i sjø» i PO8.

Utslipp av næringssalter i området vurderes som lavt og produksjonen av laksefisk foregår hovedsakelig på bølgeeksponert og middels eksponert kyst og noe i fjorder som gir god spredning og fortynning. Beregnet økning i planteproduksjon fra utslipp av næringssalter er 5,5 % og langt fra referanseverdien for denne parameteren. Høy produksjon av fisk i områder med lite vannutskiftning kan likevel tidvis gi lokal økt risiko for overgjødsling. Det er få overvåkingsstasjoner i området og det er ikke kjent om det planlegges mer overvåking i fremtiden. Vi konkluderer likevel med lav risiko for «Overgjødsling på grunn av utslipp av løste næringssalter fra fiskeoppdrett» i PO8.

Det vurderes å være et lite areal som påvirkes av fekalier og spillfôr og spredningen av det organiske materialet vurderes også som god. Resultatene fra B-miljøundersøkelsene er stort sett gode, men det har vært en økning i antallet av C-undersøkelsene i tilstandsklasser moderat siden i fjor, men overvåkingen vurderes også som god da > 80 % av prøvene ble tatt på bløtbunn. Usikkerheten fremstår som liten og vi konkluderer med lav risiko for «Negative effekter på bunnsamfunn i influensområdet for oppdrett» i PO8. 

Estimert utslipp av kobber vurderes å være lavt. Miljødata viser at få av C-undersøkelsene i området har forhøyede kobberverdier i sedimentet. Risikoen vurderes derfor som lav for «Negative effekter på det marine miljø ved bruk av kobber i fiskeoppdrett» i PO8. Det var lavt forbruk av flubenzuroner og ingen forbruk av deltametrin eller hydrogenperoksid til avlusning av laksefisk. Disse avlusningsmidlene vurderes som de mest skadelige. Selv om det knyttes usikkerhet til omfang og fremtidig forbruk av de ulike avlusningsmidlene, vurderes risikoen som lav for «Alvorlige effekter på non-target arter ved bruk av avlusningsmidler» i PO8. 

Produksjonsområdet har hatt en relativt jevnt økende produksjon de siste åtte årene.. For å sikre bærekraften i området bør det være et mål å holde utslippene av lakselus på et lavt nivå og redusere utslippene i perioden sjøørret og sjørøye beiter i området, samt holde rømmingstallene på et lavt nivå for å redusere risiko for ytterligere genetisk innkryssing av rømt oppdrettslaks.  

3.9 Produksjonsområde 9, Vestfjorden og Vesterålen

I 2025 var det 86 oppdrettslokaliteter i området som i løpet av året rapporterte inn fisk. Foreløpige tall fra Fiskeridirektoratet (20.01.2026) for 2025 er på 84 334 tonn laks og 14 tonn regnbueørret gjennomsnittlig månedlig stående biomasse med et uttak til slakt i samme periode på 186 544 tonn laks og ikke noe regnbueørret. Totalt sjøareal innenfor grunnlinjen er på 16 115 km2.

 

Se figurtekst
Figur 3.9 Visualisering av risiko for spesifikke uønskede hendelser som, dersom de inntreffer, kan gi opphav til et spekter av alvorlige konsekvenser som medfører «Redusert bærekraft med hensyn til dårlig dyrevelferd og negative miljøeffekter av fiskeoppdrett i produksjonsområde 9». Sannsynligheten knyttet til hvorvidt hendelsen vil inntreffe (høy, moderat, lav) utrykkes ved fargen på noden (hhv. rød, gul og grønn). Styrken på bakgrunnskunnskapen som sannsynlighetsvurderingen hviler på visualiseres ved fargen på ringen rundt noden (svak = rød, moderat = gul og sterk = grønn). Fargen på pilene viser konklusjoner om risiko for de uønskede hendelsene (lav = grønn, moderat = gul, høy = rød).  

Antall produserte lakseluslarver i sjøørretens og sjørøyas beiteperiode øker utover beiteperioden. Den ekstra høye produksjonen av lakseluslarver i 2024 og 2025 har sammenheng med høy temperatur i sjøen. Kart over smittepress viser lommer av forhøyet smittepress i mange fjorder, men dette er ujevnt fordelt. Mengden lakselus er relativt beskjeden i starten av perioden, men øker mot svært høye verdier på slutten av perioden. Rusedata fra området indikerer ofte høy dødelighet utover sesongen på sjøørret/sjørøye på alle stasjonene undersøkt ett eller flere år. Selv om det mangler kunnskap om fiskens nøyaktige tålegrenser og effektene av lakselus på prematur tilbakevandring vurderes risikoen som høy for «Negative effekter av lakselussmitte på sjøørret/sjørøye» i PO9. 

På tross av antatt lite overlapp mellom den utvandrende laksesmolten og smittsomme lakselus, viser både overvåkingsdata fra felt og modellberegninger at påslaget på villfisken er moderat i 2021 og 2024. Smoltmodellen indikerer at et stort antall elver har moderat estimert dødelighet. Det er spesielt elvene som renner ut i eller sør for Ofotfjorden som oftest er påvirket. Det mangler data fra trål og vaktbur samtidig som vandringsrutene ikke er kjent. Risikoen vurderes derfor totalt sett som moderat for «Høy lakselusindusert dødelighet hos utvandrende postsmolt laks» i PO9.  

For PO9 har det vært rapportert lave rømmingstall i perioden 2020–2024, en moderat andel av rømt oppdrettslaks i elvene og moderat effekt av utfisking. Villfiskens bestandsstatus vurderes som moderat og det er påvist et moderat nivå av genetisk endring i villaksbestandene i området. Det er knyttet noe usikkerhet til rømmingstallene og andelen elver som overvåkes for innslag av rømt oppdrettslaks er lav. Det konkluderes med moderat risiko for «Ytterligere genetisk endring hos villaks som følge av ny innkryssing av rømt oppdrettslaks» i PO9.  Dette er en nedjustering fra fjorårets risikovurdering og skyldes først og fremst at andelen rømt oppdrettslaks observert i elv har gått ned. 

Det totale influensområdet for fekalier og spillfôr vurderes som lite, men det er likevel mange av lokalitetene som ligger i fjorder eller mindre eksponerte områder. Resultatene fra B- og C-undersøkelsene viser at det er en moderat andel anlegg med dårlig miljøtilstand, noe som tyder på at det er moderat spredning av spillfôr og fekalier. En moderat andel prøver er tatt på hardbunn (25 %) og manglende overvåking skaper noe usikkerhet om vurderingen av tilstandsklasse på hardbunnslokalitetene kan være dårligere enn rapportert. Risikoen vurderes totalt sett som moderat for «Negative effekter på bunnsamfunn i influensområdet for oppdrett» i PO9. 

Det ble satt ut ca. 44 millioner laks i PO9 i 2025 (data fra Fiskeridirektoratets biomassestatistikk). Våren 2025 var det igjen algeoppblomstring i dette området og for 2024-årsklassen ser tapet ut til å bli like stort som for 2018-årsklassen. For 2018-årsklassen ble imidlertid tapet hovedsakelig rapportert som dødfisk, mens tapet for 2024-årsklassen i stor grad er ført under kategorien ‘andre’. I 2025 var det to hendelsesrapporter knyttet til alger og høy dødelighet. Disse var i mai med først høye konsentrasjoner av Phaeocystis og så Chrysochromulina . Totalt sett vurderer vi sannsynligheten for at en oppdrettslaks som blir satt ut i PO9 i 2025 skal oppleve så dårlig velferd at den blir regnet som tap som lav (vesentlig under 17 %). Algeoppblomstringen i 2019 og 2025 gir usikkerhet, og vi vurderer derfor kunnskapsstyrken som svak. På grunn av usikkerhet knyttet til gjentatte algeoppblomstringer vurderes risikoen å være moderat for «Dårlig fiskevelferd hos oppdrettslaks i sjø» i PO9.

Utslipp av næringssalter i området vurderes som lavt og produksjonen av laksefisk foregår hovedsakelig på bølgeeksponert og middels eksponert kyst og noe i fjorder som gir god spredning og fortynning. B eregnet økning i planteproduksjon fra utslipp av næringssalter er 9,1 % og langt fra referanseverdien for denne parameteren. Høy produksjon av fisk i fjorder med lite vannutskiftning kan likevel tidvis gi lokal økt risiko for overgjødsling. Det er få overvåkingsstasjoner i området og det er ikke kjent om det planlegges mer overvåking i fremtiden.  Vi konkluderer likevel med lav risiko for «Overgjødsling på grunn av utslipp av løste næringssalter fra fiskeoppdrett» i PO9. 

Estimert utslipp av kobber vurderes å være lavt. Miljødata viser at få av C-undersøkelsene i området har forhøyede kobberverdier i sedimentet. Risikoen vurderes derfor som lav for «Negative effekter på det marine miljø ved bruk av kobber i fiskeoppdrett». Det var lavt forbruk av flubenzuroner og deltametrin, og ingen bruk av hydrogenperoksid til avlusning av laksefisk. Disse avlusningsmidlene vurderes som de mest skadelige. Det var et moderat forbruk av emamektin, dette er en økning fra forrige år. Forbruket er spredt over hele produksjonsområdet. Samlet sett ble forbruket sett på som lavt. Selv om det knyttes usikkerhet til omfang og fremtidig forbruk av de ulike avlusningsmidlene, vurderes risikoen som lav for «Alvorlige effekter på non-target arter ved bruk av avlusningsmidler» i PO9. 

Produksjonsområdet har hatt en jevnt økende produksjon de siste åtte årene og det forventes at produksjonen vil øke også i årene som kommer.. For å sikre bærekraften i området bør det være et mål å redusere utslippene av lakselus og holde rømmingstallene på et lavt nivå for å redusere risiko for ytterligere genetisk innkryssing av rømt oppdrettslaks. Å samle opp partikulært organisk utslipp på de anleggene som er plassert i områder som vurderes å være mer sårbare for organisk belastning, vil kunne være et av flere tiltak for å redusere påvirkningen på sediment og bunndyrsamfunn. 

3.10 Produksjonsområde 10, Andøya til Senja

I 2025 var det 61 oppdrettslokaliteter i området som i løpet av året rapporterte inn fisk. Foreløpige tall fra Fiskeridirektoratet (20.01.2026) for 2025 er på 92 070 tonn gjennomsnittlig månedlig stående biomasse med et uttak i samme periode på 159 351 tonn til slakt. Det ble ikke produsert regnbueørret i området. Totalt sjøareal innenfor grunnlinjen er på 4 640 km2.

 

Se figurtekst
Figur 3.10.Visualisering av risiko for spesifikke uønskede hendelser som, dersom de inntreffer, kan gi opphav til et spekter av alvorlige konsekvenser som medfører «Redusert bærekraft med hensyn til dårlig dyrevelferd og negative miljøeffekter av fiskeoppdrett i produksjonsområde 10». Sannsynligheten knyttet til hvorvidt hendelsen vil inntreffe (høy, moderat, lav) utrykkes ved fargen på noden (hhv. rød, gul og grønn). Styrken på bakgrunnskunnskapen som sannsynlighetsvurderingen hviler på visualiseres ved fargen på ringen rundt noden (svak = rød, moderat = gul og sterk = grønn). Fargen på pilene viser konklusjoner om risiko for de uønskede hendelsene (lav = grønn, moderat = gul, høy = rød).  

Sjøørret og sjørøye oppholder seg i sjøen over en lang periode utover sommeren, og smittepresset i mesteparten av området er moderat til høyt gjennom beitesesongen. Den høye produksjonen av lakseluslarver i 2024 og 2025 har sammenheng med høy temperatur i sjøen. Resultatene fra garn og rusefangst av sjøørret og sjørøye ved de ulike stasjonene viser at utover sommeren estimeres det oftest moderat eller høy dødelighet på stasjonene undersøkt, med unntak av i Malangen som er en nasjonal laksefjord. Modellestimatene indikerer noe lavere smittepress. At modell og observasjoner ikke samstemmer skaper noe usikkerhet. Det mangler også kunnskap om fiskens nøyaktige tålegrenser og om effektene av lakselus på prematur tilbakevandring. Høyt beregnet og observert smittepress vektlegges og risikoen vurderes totalt sett som høy for «Negative effekter av lakselussmitte på sjøørret/sjørøye» i PO10. 

Utslippene av lakselus i produksjonsområde 10 har økt i perioden 2016–2025 og har de senere år ligget omkring grensen til moderat i laksens utvandringperiode (klart over denne grensen i 2021 og 2025). Estimatene fra den virtuelle smoltmodellen gir moderat påslag i alle år siden 2019 unntatt 2023 da påslaget ble anslått å være lavt. Det er spesielt elvene på sørøstsiden av og sør for Senja som har høyere estimert dødelighet. Ved sen utvandring øker estimatene til høy for flere av elvene i samme område. I tillegg viser observasjoner av lus på sjøørret og sjørøye at det tidvis er mye lus på fisk i disse områdene, spesielt i 2024 og 2025. Utvandringsperioden for enkelte elver er godt kartlagt, men vandringsveiene til laksen fra elvene er ikke kartlagt, noe som har stor betydning for estimatene fra postsmolt modellen. Risikoen vurderes derfor som moderat for «Høy lakselusindusert dødelighet hos utvandrende postsmolt laks» i PO10. 

Det ble satt ut over 36 millioner laks i 2025 (data fra Fiskeridirektoratets biomassestatistikk). Våren 2025 skjedde det en algeoppblomstring, oppblomstringen startet i PO9, men den påvirket også noen anlegg i PO10. Antallet innrapporterte velferdsmessige hendelser til Mattilsynet er redusert i 2025 mot tidligere år, som gjelder for sykdomsmeldinger, ikke-medikamentelle avlusninger-avlusning og dødelighet ved utsett. Det var 7 hendelsesrapporter knyttet til alger eller manet i 2025. Alle skjedde i mai da det var høye konsentrasjoner av Chrysochromulina . Totalt sett vurderer vi sannsynligheten for at en oppdrettslaks som blir satt ut i PO10 i 2025 vil oppleve så dårlig velferd at den blir regnet som tap som moderat (nær 17 %). Varierende tapstall gjør at kunnskapsstyrken vurderes som moderat. Siden dette området på den ene siden har vist seg sårbart i forhold til algeoppblomstring, samtidig som tapstallene for 2020- og 2021-årsklassene var relativt lave, er det usikkerhet knyttet til sannsynlighetsvurderingen. Vi konkluderer likevel med moderat risiko for «Dårlig fiskevelferd hos oppdrettslaks i sjø» i PO10. 

Effekt av utfisking for området i perioden 2020–2024 har forbedret seg til moderat, og det har vært en nedgang i rømmingstallene, samt moderat innslag av rømt oppdrettslaks i elvene. Det er likevel verdt å merke seg at det i område var en større rømmingsepisode i 2025 som kan påvirke fremtidige vurderinger. Villfiskens bestandsstatus har også forbedret seg, og vurderes som god, mens det er påvist et høyt nivå av genetisk endring i villaksbestandene i området. Det er knyttet noe usikkerhet til rømmingstallene og andelen elver som overvåkes for innslag av rømt oppdrettslaks er noe lav. Risikoen vurderes totalt sett å være moderat for « Ytterligere genetisk endring hos villaks som følge av ny innkryssing av rømt oppdrettslaks» i PO10. 

Det vurderes å være moderate utslipp av oppløste næringssalter fra fiskeoppdrett i området og svært begrenset miljøovervåking. Produksjonen av laksefisk foregår hovedsakelig på bølgeeksponert og middels eksponert kyst og noe i fjorder. De fleste anleggene ligger i områder med god overflatestrøm der løste næringssalter spres og fortynnes effektivt. Til tross for økt usikkerhet på grunn av manglende overvåking i deler av produksjonsområdet, er beregnet økning i planteplanktonproduksjon på 9,7 % som er langt fra referanseverdien for denne parameteren (50 % økning). Gjennomsnittlig modellert økning av planteplankton i hele området er på 7,9 %. Begge verdiene er langt fra referanseverdien på 50 % økning for denne parameteren som er definert av OSPAR. Simulering av økning i planteplanktonproduksjonen viser at noen områder tidvis ved høy fiskeproduksjon kan ha lokal forhøyet risiko for overgjødsling (opptil 40-50 % økning), slik som de små fjordene på vestsiden av Senja og fjordsystemene sør for Senja. Da modellen viser at noen områder kan være i risiko for overgjødsling og det mangler overvåkningsdata fra oppdrettsintensive områder regnes kunnskapsstyrken som moderat. Risikoen vurderes likevel som lav for «Overgjødsling som følge av utslipp av løste næringssalter fra fiskeoppdrett» i PO10.

Beregnet areal av influensområdet for fekalier og spillfôr er moderat, men det vurderes å være god spredning av organiske partikler i områder med oppdrett. Andelen prøver tatt på hardbunn var moderat (25 %) og manglende overvåking skaper noe usikkerhet om vurderingen av tilstandsklasse på hardbunnslokalitetene kan være dårligere enn rapportert. Selv om det mangler god overvåkingsmetodikk for hardbunn, viser miljøovervåkingen at tilstanden i B-undersøkelser er litt over prosent av alle B-undersøkelsene i dårlig tilstandsklasse på landbasis er C-undersøkelsene stort sett ligger i de to beste tilstandsklassene og risikoen vurderes som lav for «Negative effekter på bunnsamfunn i influensområdet for oppdrett» i PO10. 

Estimert utslipp av kobber vurderes å være lavt. Miljødata viser at få av C-undersøkelsene i området har forhøyede kobberverdier i sedimentet. Risikoen vurderes derfor som lav for «Negative effekter på det marine miljø ved bruk av kobber i fiskeoppdrett» i PO10. Det var lavt forbruk av flubenzuron og ingen bruk av deltametrin eller hydrogenperoksid til avlusning av laksefisk. Disse avlusningsmidlene vurderes som de mest skadelige. Selv om det knyttes usikkerhet til omfang og fremtidig forbruk av de ulike avlusningsmidlene, vurderes risikoen som lav for «Alvorlige effekter på non-target arter ved bruk av avlusningsmidler» i PO10.  

Produksjonsområdet har hatt en jevnt økende produksjon de siste syv årene og det forventes at produksjonen vil øke noe i årene som kommer. For å sikre bærekraften i området bør det være et mål å redusere utslipp av lakselus og holde rømmingstallene på et lavt nivå, samt redusere dødelighetstallene på oppdrettslaksen.  

3.11 Produksjonsområde 11, Kvaløya til Loppa

I 2025 var det 43 oppdrettslokaliteter i området som i løpet av året rapporterte inn laks. Foreløpige tall fra Fiskeridirektoratet (20.01.2026) for 2025 er på 55 932 tonn gjennomsnittlig månedlig stående biomasse med et uttak i samme periode på 131 233 tonn til slakt. Det ble ikke produsert regnbueørret i området. Totalt sjøareal innenfor grunnlinjen er på 6 825 km2.

 

Se figurtekst
Figur 3.11.Visualisering av risiko for spesifikke uønskede hendelser som, dersom de inntreffer, kan gi opphav til et spekter av alvorlige konsekvenser som medfører «Redusert bærekraft med hensyn til dårlig dyrevelferd og negative miljøeffekter av fiskeoppdrett i produksjonsområde 11». Sannsynligheten knyttet til hvorvidt hendelsen vil inntreffe (høy, moderat, lav) utrykkes ved fargen på noden (hhv. rød, gul og grønn). Styrken på bakgrunnskunnskapen som sannsynlighetsvurderingen hviler på visualiseres ved fargen på ringen rundt noden (svak = rød, moderat = gul og sterk = grønn). Fargen på pilene viser konklusjoner om risiko for de uønskede hendelsene (lav = grønn, moderat = gul, høy = rød). 

Det ble satt ut under 23 millioner laks i PO11 i 2025 (data fra Fiskeridirektoratets biomassestatistikk). Det har vært en betydelig økning i antall rapporterte avlusinger med ikke-medikamentelle metoder i 2024 og 2025 sammenlignet med de foregående årene. Denne økningen samvarierer med høye sjøtemperaturer, særlig i 2024. Det har vært en generell økning i innrapporterte velferdshendelser til Mattilsynet de siste årene, hovedsakelig i forbindelse med ikke-medikamentell avlusning og sykdom, men med en moderat reduksjon i antall meldinger i 2025 i forhold til året før. Til tross for høyt tap i 2023-generasjon, som følge av perlesnormanet, vurderer vi totalt sett sannsynligheten som moderat (nær 17 %) for at en oppdrettslaks som blir satt ut i PO11 i 2026 skal oppleve så dårlig velferd at den blir registrert som tap. Selv om tap per årsklasse har vært relativt stabil de siste årene, viser tallene variasjon og kunnskapsstyrken vurderes som moderat. På tross av usikkerhet knyttet til økt antall avlusinger vektlegges mange årsklasser med rundt 17 % tap og risikoen vurderes som moderat for «Dårlig fiskevelferd hos oppdrettslaks i sjø» i PO11. 

Antall produserte lakseluslarver i utvandringsperioden for laks har vært lavt i alle år fra 2016, men har likevel vært økende og har de siste årene ligget på grensen til moderat. Den virtuelle postsmoltmodellen indikerer moderat luseindusert dødelighet i 2021 og 2024. I alle årene fra 2016 er det elver hvor det estimeres moderat dødelighet. Observasjoner av lakselus på sjøørret og sjørøye indikerer stort sett lave påslag i tidsperioden relevant for utvandrende laks, med unntak for sent utvandrende laks. Vi vektlegger den økende trenden med høyere produksjon av lakselus samt økende sjøtemperatur som er gunstig for lakselusa. Vandringsruter og utvandringstider er ikke godt beskrevet for dette området, noe som er med på å skape noe usikkerhet i vurderingene. Risikoen vurderes derfor som moderat for «Høy lakselusindusert dødelighet hos utvandrende postsmolt laks» i PO11.  

Antall produserte lakseluslarver er lav tidlig i sesongen, men øker til eller nær moderate nivåer ut over beitesesongen til sjøørret og sjørøye. For beitende sjøørret og sjørøye indikerer modellresultatene at det er høy konsentrasjon av lakseluslarver i Kvænangen, ytre del av Lyngen og rundt Kvaløya ved Tromsø. Observasjoner av lakselus på sjøørret og sjørøye fra Balsfjorden og Kåfjord viser lave påslag, mens ved Ullsfjorden og Nordreisa ses moderate påslag av lakselus enkelte år, men høye påslag sent i beiteperioden i 2016. Det mangler kunnskap om fiskens nøyaktige tålegrenser, de detaljerte effektene av lakselus på prematur tilbakevandring og det er begrenset med observasjoner av lakselus på sjøørret og sjørøye på grunn av få overvåkingsstasjoner. Det økende smittepresset vektlegges og risikoen vurderes som moderat for «Negative effekter av lakselussmitte på sjøørret/sjørøye» i PO11. 

For PO11 har det vært rapportert lite rømming, men det er observert et moderat innslag av rømt oppdrettslaks i elvene og effekt av utfiskingen vurderes som moderat i perioden 2020–2024. Villfiskens bestandsstatus vurderes som dårlig og det er alt påvist et høyt nivå av genetisk endring i villaksbestandene grunnet tidligere innkryssing. Andelen elver som overvåkes for innslag av rømt oppdrettslaks er noe lav og rømmingstallene er usikre. Dette skaper noe usikkerhet, men risikoen vurderes likevel totalt sett som moderat for «Ytterligere genetisk endring hos villaks som følge av ny innkryssing av rømt oppdrettslaks» i PO11.

Utslipp av næringssalter i området vurderes som lavt og produksjonen av laksefisk foregår hovedsakelig på bølgeeksponert og middels eksponert kyst og noe i fjorder som gir god spredning og fortynning. Overvåkning av miljøkvalitet i ØKOKYST programmet startet opp i 2018 og har stasjoner i Ullsfjorden, Kvænangen, Reisafjorden, Ytre Sørfjorden og Kjosen, men ingen stasjoner for overvåkning der fiskeoppdrett foregår. Beregnet økning i planteproduksjon fra utslipp av næringssalter er lavt (4,4 %) og langt fra referanseverdien for denne parameteren (50% % økning). Risikoen vurderes som lav for «Overgjødsling på grunn av utslipp av løste næringssalter fra fiskeoppdrett» i PO11. 

Beregnet areal av influensområdet for fekalier og spillfôr er lavt (2,7 %), og det vurderes å være god spredning av organiske partikler i områder med oppdrett. Andelen prøver tatt på hardbunn var moderat (25 %), men selv om det mangler god overvåkingsmetodikk for hardbunn, viser miljøovervåkingen at tilstanden både i B- og C-undersøkelsene stort sett ligger i de to beste tilstandsklassene. Manglende overvåking skaper noe usikkerhet om vurderingen av tilstandsklasse på hardbunnslokalitetene kan være dårligere enn rapportert. Likevel vektlegges de gode resultatene fra miljøovervåkingen og risikoen vurderes som lav for «Negative effekter på bunnsamfunn i influensområdet for oppdrett» i PO11. 

Estimert utslipp av kobber vurderes å være lavt. Miljødata viser at få av C-undersøkelsene i området har forhøyede kobberverdier i sedimentet. Risikoen vurderes derfor som lav for «Negative effekter på det marine miljø ved bruk av kobber i fiskeoppdrett» i PO11. Det var lavt forbruk av hydrogenperoksid, og ingen forbruk av flubenzuroner og deltametrin til avlusning av laksefisk. Disse avlusningsmidlene vurderes som de mest skadelige. Selv om det knyttes usikkerhet til omfang og fremtidig forbruk av de ulike avlusningsmidlene, vurderes risikoen som lav for «Alvorlige effekter på non-target arter ved bruk av avlusningsmidler» i PO11. 

Produksjonsområdet har hatt en jevnt økende produksjon de siste åtte årene og det forventes at produksjonen vil øke også i årene som kommer. For å sikre bærekraften i området bør det være et mål redusere utslipp av lakselus og holde rømmingstallene på et lavt nivå, samt redusere dødelighetstallene på oppdrettslaksen.

3.12 Produksjonsområde 12, Vest-Finnmark

I 2025 var det 58 oppdrettslokaliteter som i løpet av året rapporterte inn fisk. Foreløpige tall fra Fiskeridirektoratet (20.01.2026) for 2025 er på 76 761 tonn gjennomsnittlig månedlig stående biomasse med et uttak til slakt i samme periode på 124 537 tonn. Det ble ikke produsert regnbueørret i området. Totalt sjøareal innenfor grunnlinjen er på 10 683 km2

 

Se figurtekst
Figur 3.12.Visualisering av risiko for spesifikke uønskede hendelser som, dersom de inntreffer, kan gi opphav til et spekter av alvorlige konsekvenser som medfører «Redusert bærekraft med hensyn til dårlig dyrevelferd og negative miljøeffekter av fiskeoppdrett i produksjonsområde 12». Sannsynligheten knyttet til hvorvidt hendelsen vil inntreffe (høy, moderat, lav) utrykkes ved fargen på noden (hhv. rød, gul og grønn). Styrken på bakgrunnskunnskapen som sannsynlighetsvurderingen hviler på visualiseres ved fargen på ringen rundt noden (svak = rød, moderat = gul og sterk = grønn). Fargen på pilene viser konklusjoner om risiko for de uønskede hendelsene (lav = grønn, moderat = gul, høy = rød). 

Det ble satt ut ca. 38 millioner laks i 2025 (data fra Fiskeridirektoratets biomassestatistikk). I 2025 var det en nedgang i antall rapporteringer av medikamentell avlusning sammenlignet med 2024. Det ble innmeldt ca. 30 % færre velferdshendelser til Mattilsynet i 2025 sammenlignet med 2024 i dette området. Dette skyldes i stor grad ingen hendelser knyttet til maneter i 2025, etter et høyt antall slike meldinger i 2023 og 2024. Meldinger tilskrevet utsett-problemer har økt de siste årene, men ikke-medikamentell avlusning og sykdom er fortsatt de vanligste årsakene til innmeldte velferdshendelser. Totalt sett vurderer vi sannsynligheten for at en oppdrettslaks som blir satt ut i PO12 i 2026 skal oppleve så dårlig velferd at den registreres som tap som høy (vesentlig over 17 %). Det er en del variasjon i dødelighetsdata mellom år og utstrakt bruk av tapskategorien “annet”, og vi vurderer derfor kunnskapsstyrken som moderat. Det er vedvarende høye tap og vi konkluderer derfor med høy risiko for «Dårlig fiskevelferd hos oppdrettslaks i sjø» i PO12. 

Antall produserte lakseluslarver er lav tidlig i sesongen, men øker til grensen for moderate nivåer ut over beitesesongen til sjøørret og sjørøye. Antallet var spesielt høyt i 2024 på grunn av høy temperatur i sjøen. Kart over modellert lusepress viser høy konsentrasjon av lakseluslarver i Altafjordsystemet og langs kysten fra Loppa til Havøysund. Porsangerfjorden og Laksefjorden har lave konsentrasjoner. Det er gode tidsserier på sjøørret og sjørøye i Altafjorden som indikerer høyt smittepress og dødelighet utover sommeren i flere av årene, mens smittepresset i øvrige deler av området er lavt. Det mangler kunnskap om fiskens nøyaktige tålegrenser og de detaljerte effektene av lakselus på prematur tilbakevandring som skaper noe usikkerhet. Risikoen vurderes totalt sett som moderat for «Negative effekter av lakselussmitte på sjøørret/sjørøye» i PO12. 

Antall produserte lakseluslarver i utvandringsperioden for laks har vært lavt men økende siden 2016. Tråling etter utvandrende postsmolt i Altafjorden indikerer liten dødelighet for alle årene, men dette er stort sett i sundene ved Stjernøya og Seiland, og dekker derfor bare deler av smoltens utvandringsrute til havs. Ruse- og garnfangst av sjøørret og røye indikerer liten, unntaksvis moderat estimert dødelighet under smoltutvandringen. Estimatene fra den virtuelle smoltmodellen har vært lave i alle år fra 2016–2024, men med en økende trend. Utvandringsperiode og utvandringsruter er godt kartlagt for elver i Altafjorden, men det mangler kunnskap for andre deler av området. Dette skaper noe usikkerhet i vurderingene, men risikoen vurderes likevel totalt sett som lav for «Høy lakselusindusert dødelighet hos utvandrende postsmolt laks» i PO12. 

For PO12 har det vært rapportert moderate rømmingstall og lavt innslag av rømt oppdrettslaks i elvene i perioden 2020–2024. Villfiskens bestandsstatus vurderes som god, men det er påvist et høyt nivå av genetisk endring i villaksbestandene i området. Det knyttes noe usikkerhet til rømmingstall og hvor mye rømt oppdrettslaks det er i elvene i området, selv om det ikke er observert mye rømt oppdrettslaks i elvene. På tross av noe manglende kunnskap vektlegges lav forekomst av rømt oppdrettslaks i elvene og risikoen vurderes totalt sett som lav for «Ytterligere genetisk endring hos villaks som følge av ny innkryssing av rømt oppdrettslaks» i PO12. 

Utslipp av næringssalter i området vurderes som lavt og produksjonen av laksefisk foregår hovedsakelig på bølgeeksponert og middels eksponert kyst og noe i fjorder som gir god spredning og fortynning. Det er ingen overvåking av miljøkvalitet i produksjonsområdet. Beregnet økning i planteproduksjon fra utslipp av næringssalter er lavt (4,6 %) og langt fra referanseverdien for denne parameteren (50 % økning). Risikoen vurderes derfor som lav for «Overgjødsling på grunn av utslipp av løste næringssalter fra fiskeoppdrett» i PO12. 

Beregnet areal av influensområdet for fekalier og spillfôr er lavt (2,3 %), og det vurderes å være god spredning av organiske partikler i områder med oppdrett. Andelen prøver tatt på hardbunn var moderat (26 %), men selv om det mangler god overvåkingsmetodikk for hardbunn, viser miljøovervåkingen at tilstanden både i B- og C-undersøkelsene stort sett ligger i de to beste tilstandsklassene. Manglende overvåking skaper noe usikkerhet om vurderingen av tilstandsklasse på hardbunnslokalitetene kan være dårligere enn rapportert. Likevel vektlegges de gode resultatene fra miljøovervåkingen og risikoen vurderes som lav for «Negative effekter på bunnsamfunn i influensområdet for oppdrett» i PO12. 

Estimert utslipp av kobber vurderes å være lavt. Miljødata viser at ingen av C-undersøkelsene i området har forhøyede kobberverdier i sedimentet. Risikoen vurderes derfor som lav for «Negative effekter på det marine miljø ved bruk av kobber i fiskeoppdrett» i PO12. Det var lavt forbruk av hydrogenperoksid og ingen forbruk av flubenzuroner eller deltametrin til avlusning av laksefisk. Disse avlusningsmidlene vurderes som de mest skadelige. Selv om det knyttes usikkerhet til omfang og fremtidig forbruk av de ulike avlusningsmidlene, vurderes risikoen som lav for «Alvorlige effekter på non-target arter ved bruk av avlusningsmidler» i PO12. 

Matfiskproduksjonen i området har gått litt opp og ned de siste åtte årene, men har totalt sett økt. For å sikre bærekraften i området bør det være et mål å redusere utslipp av lakselus og å holde rømmingstallene på et lavt nivå. Da produksjonsdødeligheten for oppdrettslaksen er høyest om vinteren, er det viktig å unngå å produsere fiskegrupper i settefiskanleggene som må settes ut sent om høsten eller om vinteren, da disse er særlig utsatt for økt dødelighet. 

3.13 Produksjonsområde 13, Øst-Finnmark

I 2025 var det seks oppdrettslokaliteter i området som i løpet av året rapporterte inn fisk. Foreløpige tall fra Fiskeridirektoratet (20.01.2026) for 2025 er på 6 804 tonn gjennomsnittlig månedlig stående biomasse med et uttak til slakt i samme periode på 13 932 tonn. Det ble ikke produsert regnbueørret i området. Totalt innenfor grunnlinjen er på 3 789 km2.

 

Se figurtekst
Figur 3.13. Visualisering av risiko for spesifikke uønskede hendelser som, dersom de inntreffer, kan gi opphav til et spekter av alvorlige konsekvenser som medfører «Redusert bærekraft med hensyn til dårlig dyrevelferd og negative miljøeffekter av fiskeoppdrett i produksjonsområde 13». Sannsynligheten knyttet til hvorvidt hendelsen vil inntreffe (høy, moderat, lav) utrykkes ved fargen på noden (hhv. rød, gul og grønn). Styrken på bakgrunnskunnskapen som sannsynlighetsvurderingen hviler på visualiseres ved fargen på ringen rundt noden (svak = rød, moderat = gul og sterk = grønn). Fargen på pilene viser konklusjoner om risiko for de uønskede hendelsene (lav = grønn, moderat = gul, høy = rød).

Produksjonsområde 13 er lite i oppdrettssammenheng. Det ble satt ut 3,9 millioner laks i 2025 (data fra Fiskeridirektoratets biomassestatistikk). Det har bare vært noe få meldinger om velferdsmessige hendelser fra dette området til Mattilsynet de siste årene, og ingen relatert til manet eller avlusing. Dette selv om det har vært en økning i bruk av både ikke-medikamentell avlusning og medikamentell avlusning de to siste årene. Det er svært få anlegg i PO13 og tapet per årsklasse avhenger dermed i stor grad av om produksjoner har vært vellykket på enkeltanlegg. Siden mange årsklasser har hatt svært lave tapstall vurderer vi sannsynligheten for at en oppdrettslaks som blir satt ut i 2026 i PO13 skal oppleve så velferd at den blir regnet som tap som lav (vesentlig under 17 %). Siden det her er få anlegg og stor variasjon fra årsklasse til årsklasse vurderes kunnskapsstyrken bak denne vurderingen som svak. Det er mye usikkerhet knyttet til sannsynlighetsvurderingen, med enkelte årsklasser med høye tapstall, og vi konkluderer derfor med moderat risiko for dårlig fiskevelferd i PO13.

Oppdrettsintensiteten i PO13 er lav med kun seks oppdrettslokaliteter i området som i løpet av året rapporterte inn fisk. Produksjonen i 2025 var på i underkant av 14 000 tonn. Det vurderes derfor at påvirkningen fra dagens fiskeoppdrett er lav og i all hovedsak er begrenset til Varangerfjorden der de fleste anleggene ligger. Med lav produksjon er det lave utslipp av lakselus, det er rapportert om lite rømt oppdrettslaks i elvene som overvåkes, samt lave utslipp av næringssalter, partikulært organisk materiale, kobber og avlusningsmidler til området, vurderes det å være lav risiko for redusert bærekraft som følge av miljøeffekter av fiskeoppdrett i PO13. Det bør likevel påpekes at tilstanden til villaksbestandene i området er ytterligere svekket, noe som skaper økt usikkerhet rundt robusthet for ytterligere genetisk innkryssing.